Скачать Справочное пособие к ТЕР 81-02-12-2001 Показатели стоимости ресурсов, учтенные при разработке территориальных единичных расценок на строительные работы к ТЕР-81-02-12-2001 Кровли. Территориальные единичные расценки для определения стоимости строительных работ в Краснодарском краеДата актуализации: 01.01.2021
|
| Обозначение: | Справочное пособие к ТЕР 81-02-12-2001 |
| Обозначение англ: | 81-02-12-2001 |
| Статус: | действует |
| Название рус.: | Показатели стоимости ресурсов, учтенные при разработке территориальных единичных расценок на строительные работы к ТЕР-81-02-12-2001 Кровли. Территориальные единичные расценки для определения стоимости строительных работ в Краснодарском крае |
| Дата добавления в базу: | 01.09.2013 |
| Дата актуализации: | 01.01.2021 |
| Область применения: | Предназначены для расшифровки стоимости прямых затрат по каждой расценке таблиц, включенных в сборники ТЕР в уровне базисных цен (Краснодарский край) по состоянию на 1 января 2000 года |
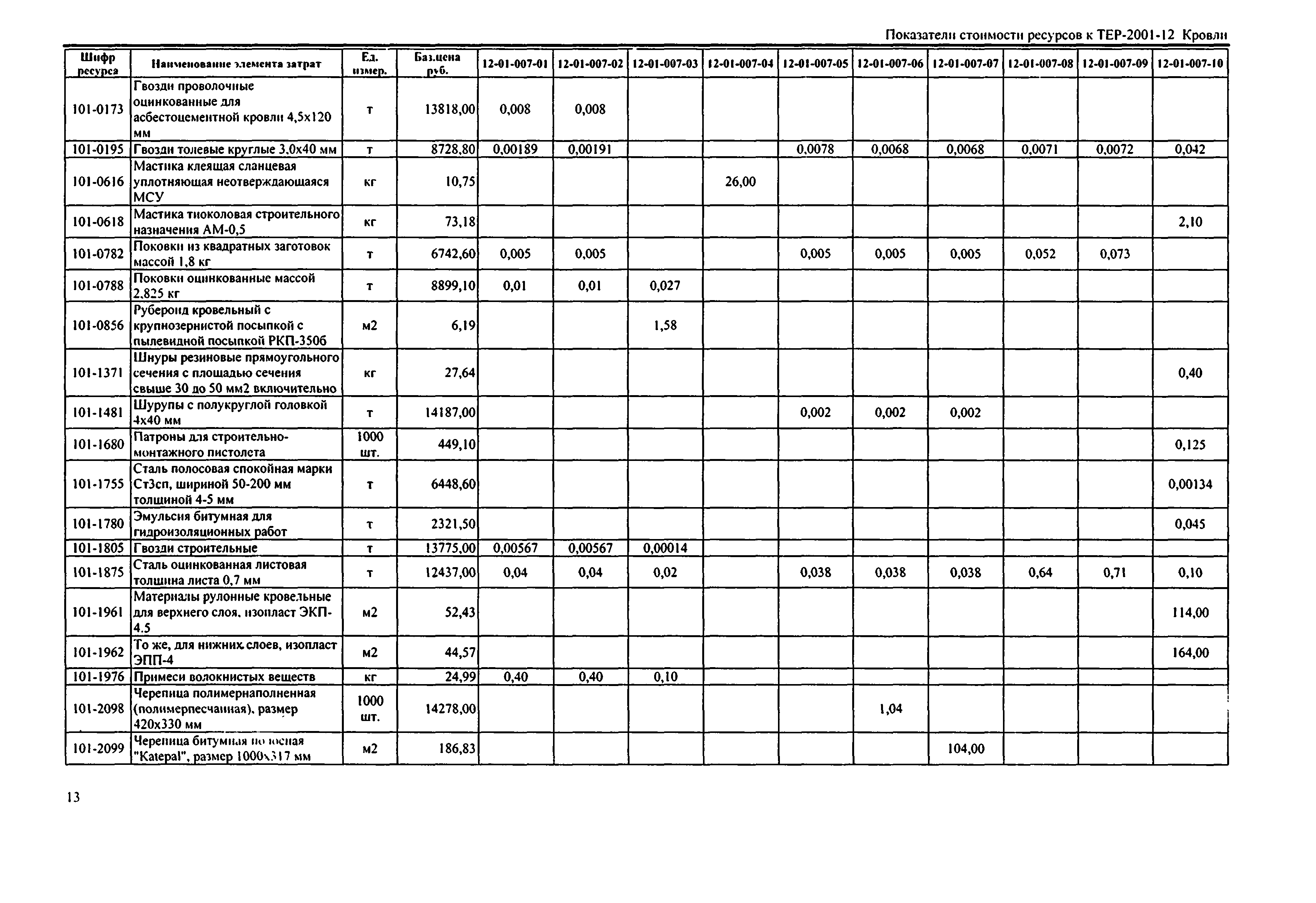
| Оглавление: | Техническая часть 1. Общие указания 2. Затраты на оплату труда 3. Затраты на эксплуатацию машин и механизмов 4. Затраты на материалы, изделия и конструкции 12-01-001 Устройство кровель скатных 12-01-002 Устройство кровель плоских четырехслойных из рулонных кровельных материалов 12-01-003 Устройство трехслойных мастичных кровель армированных двумя слоями стеклосетки 12-01-004 Устройство примыканий рулонных и мастичных кровель к стенам и парапетам 12-01-005 Защита ендов 12-01-006 Устройство деформационных швов 12-01-007 Устройство кровель из различных типов 12-01-008 Устройство обделок на фасадах (наружные подоконники, пояски, балконы и др.) 12-01-009 Устройство желобов 12-01-010 Устройство мелких покрытий (брандмауэры, парапеты, свесы и т. п.) из листовой оцинкованной стали 12-01-011 Устройство колпаков над шахтами 12-01-012 Ограждение кровель перилами 12-01-013 Утепление покрытий плитами 12-01-014 Утепление покрытий 12-01-015 Устройство пароизоляции 12-01-016 Огрунтовка оснований из бетона или раствора под водоизоляционный кровельный ковер 12-01-017 Устройство выравнивающих стяжек 12-01-018 Изоляция стаканов зенитных фонарей с обделкой примыканий кровель к ним 12-01-019 Приготовление кровельных битумных мастик Содержание |
| Разработан: | Краснодарский краевой центр ценообразования в строительстве Кубаньстройцена |
| Утверждён: | 02.04.2002 Краснодарский краевой центр ценообразования в строительстве Кубаньстройцена |























