Скачать Справочное пособие к ТЕР 81-02-18-2001 Показатели стоимости ресурсов, учтенные при разработке территориальных единичных расценок на строительные работы к ТЕР-81-02-18-2001 Отопление - внутренние устройства. Территориальные единичные расценки для определения стоимости строительных работ в Краснодарском краеДата актуализации: 01.01.2021
|
| Обозначение: | Справочное пособие к ТЕР 81-02-18-2001 |
| Обозначение англ: | 81-02-18-2001 |
| Статус: | действует |
| Название рус.: | Показатели стоимости ресурсов, учтенные при разработке территориальных единичных расценок на строительные работы к ТЕР-81-02-18-2001 Отопление - внутренние устройства. Территориальные единичные расценки для определения стоимости строительных работ в Краснодарском крае |
| Дата добавления в базу: | 01.09.2013 |
| Дата актуализации: | 01.01.2021 |
| Область применения: | Предназначены для расшифровки стоимости прямых затрат по каждой расценке таблиц, включенных в сборники ТЕР в уровне базисных цен (Краснодарский край) по состоянию на 1 января 2000 года |
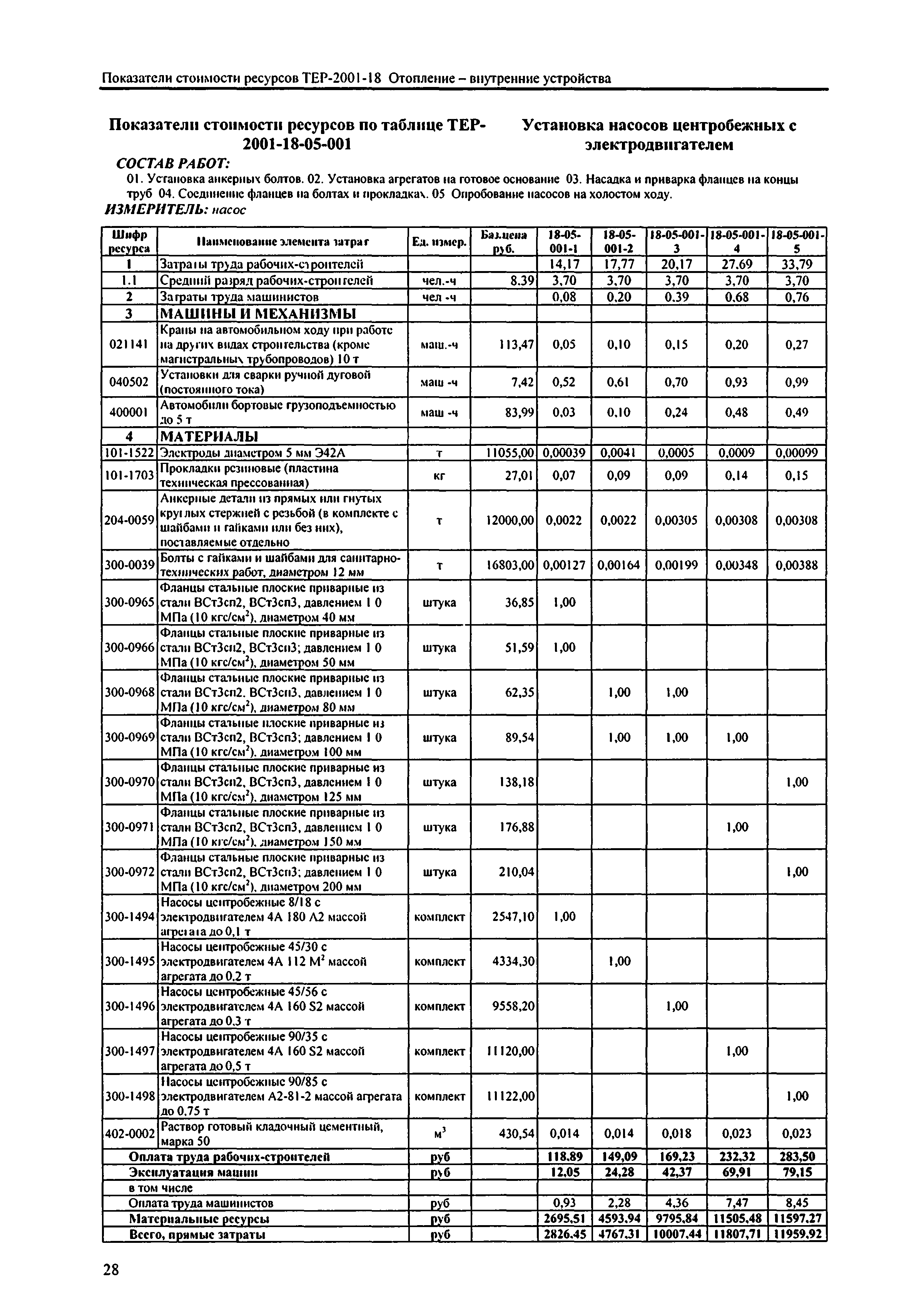
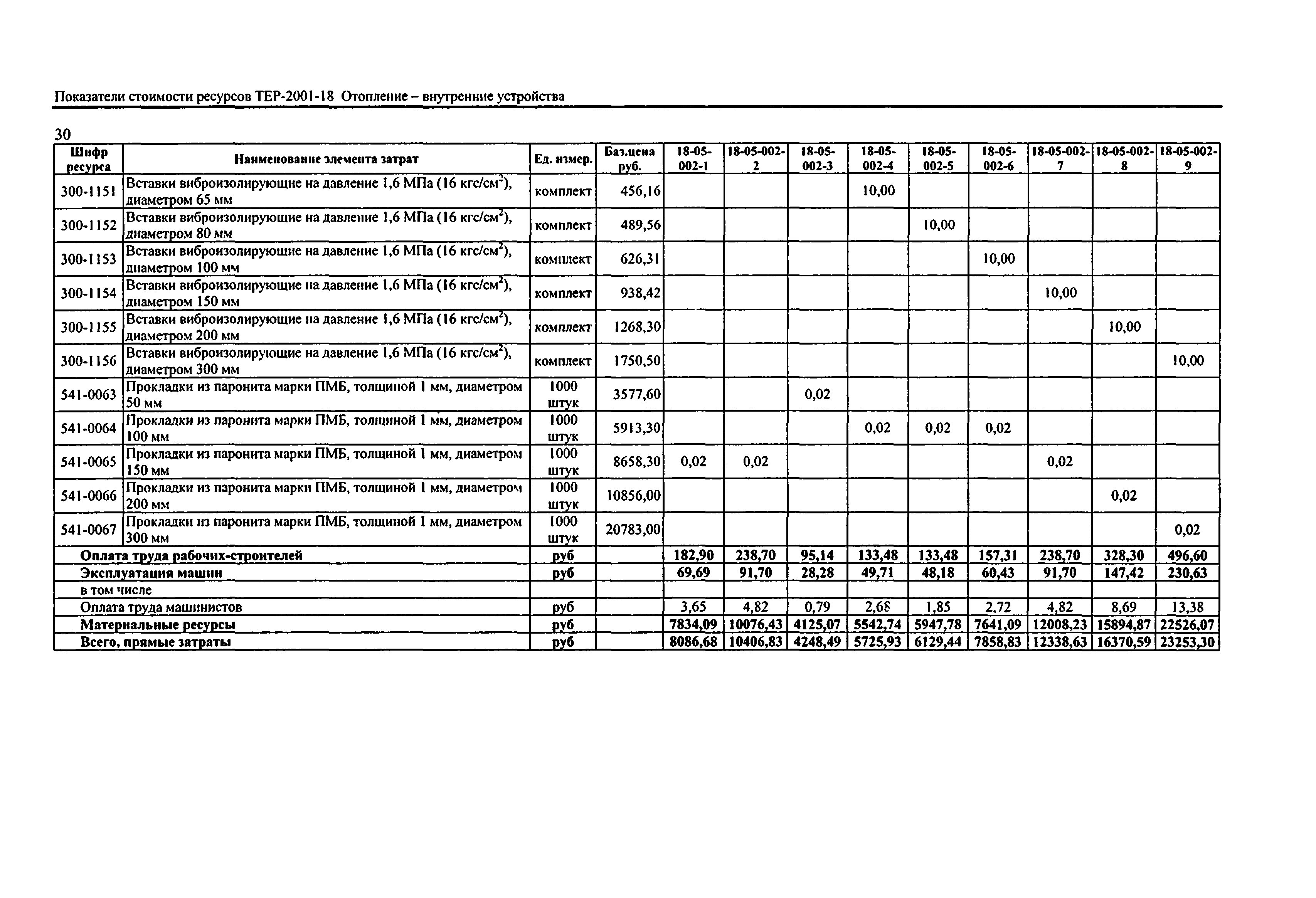
| Оглавление: | Техническая часть 1. Общие указания 2. Затраты на оплату труда 3. Затраты на эксплуатацию машин и механизмов 4. Затраты на материалы, изделия и конструкции 18-01-001 Установка котлов отопительных чугунных секционных на твердом топливе 18-01-002 Установка котлов стальных жаротрубных пароводогрейных 18-02-001 Установка водоподогревателей скоростных односекционных 18-02-002 Установка секций водоподогревателей скоростных 18-02-003 Установка водоподогревателей емкостных 18-03-001 Установка радиаторов и конвекторов 18-03-002 Установка труб чугунных ребристых 18-03-003 Установка колен чугунных двойных к ребристым трубам 18-03-004 Установка регистров из стальных труб 18-04-001 Установка баков расширительных 18-04-002 Установка баков конденсационных 18-04-003 Установка поддонов металлических для баков 18-05-001 Установка насосов центробежных с электродвигателем 18-05-002 Установка вставок виброизолирующих к насосам 18-06-001 Установка гребенок пароводораспределительных из стальных труб 18-06-002 Установка грязевиков 18-06-003 Установка воздухосборников и воздухоотводчиков 18-06-004 Установка узлов тепловых-элеваторных 18-06-005 Установка элеваторов 18-06-006 Установка узлов конденсатоотводчиков и ручных насосов 18-06-007 Установка фильтров 18-07-001 Установка контрольно-измерительных приборов и кранов воздушных Содержание |
| Разработан: | Краснодарский краевой центр ценообразования в строительстве Кубаньстройцена |
| Утверждён: | 02.04.2002 Краснодарский краевой центр ценообразования в строительстве Кубаньстройцена |











































