Скачать РД 39-0147323-339-89-Р Инструкция по проектированию и эксплуатации антикоррозионной защиты трубопроводов систем нефтегазосбора на месторождениях Западной СибириДата актуализации: 01.01.2021
|
| Обозначение: | РД 39-0147323-339-89-Р |
| Обозначение англ: | RD 39-0147323-339-89-Р |
| Статус: | не действует |
| Название рус.: | Инструкция по проектированию и эксплуатации антикоррозионной защиты трубопроводов систем нефтегазосбора на месторождениях Западной Сибири |
| Дата добавления в базу: | 01.09.2013 |
| Дата актуализации: | 01.01.2021 |
| Дата введения: | 15.05.1989 |
| Дата окончания срока действия: | 15.05.1992 |
| Область применения: | Документ распространяется на проектирование новых, а также реконструкцию и эксплуатацию действующих систем нефтегазосбора месторождений Западной Сибири и регламентирует проведение мероприятий по защите от коррозии трубопроводов систем нефтегазосбора в зависимости от физико-химических свойств и гидродинамического режима течения продукции скважин. |
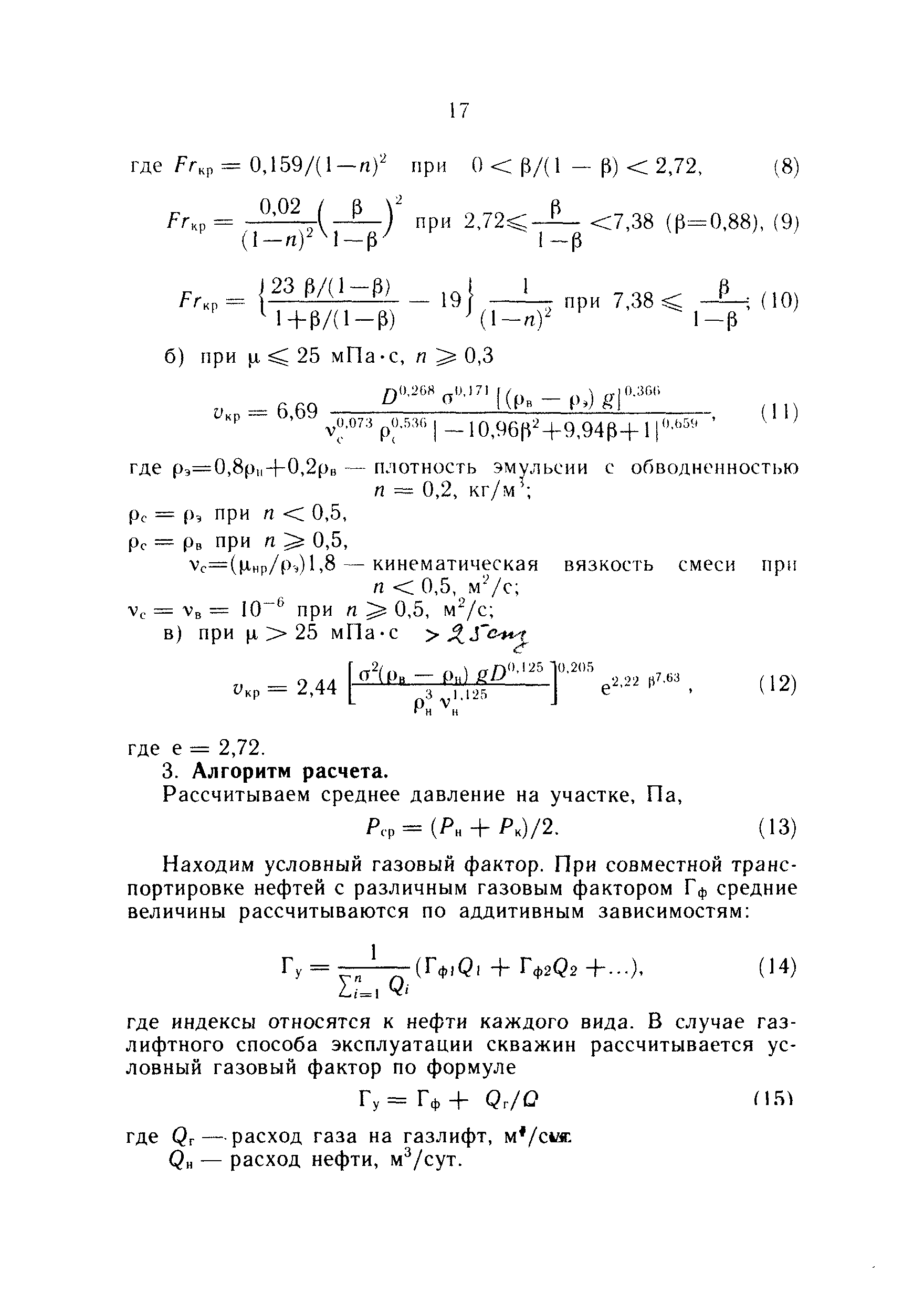
| Оглавление: | 1 Общие положения 2 Проектирование антикоррозионной защиты трубопроводов систем нефтегазосбора 3 Защита от коррозии нефтегазопроводов на стадии эксплуатации Приложение 1. Методика расчета максимальной скорости коррозии нефтегазопроводов Приложение 2. Методика расчета параметров антикоррозионных режимов Приложение 3. Расчет технико-экономических показателей при выборе варианта системы нефтесбора Приложение 4. Применение ингибиторов коррозии Приложение 5. Методика прогнозирования аварий и отбраковки трубопроводов |
| Разработан: | Гипротюменнефтегаз Миннефтепрома (Giprotyumenneftegaz, Minnefteprom ) ВНИИСПТнефть Главтюменнефтегаз СевКавНИПИнефти |
| Утверждён: | 15.05.1989 Министерство нефтяной промышленности СССР (USSR Ministry of the Petroleum Industry ) |
| Издан: | Гипротюменнефтегаз (1989 г. ) |
| Нормативные ссылки: |







































