Скачать РД 39-0147014-502-85 Инструкция по расчету бурильных колоннДата актуализации: 01.01.2021
|
| Обозначение: | РД 39-0147014-502-85 |
| Обозначение англ: | RD 39-0147014-502-85 |
| Статус: | не действует |
| Название рус.: | Инструкция по расчету бурильных колонн |
| Дата добавления в базу: | 01.09.2013 |
| Дата актуализации: | 01.01.2021 |
| Дата введения: | 01.04.1986 |
| Дата окончания срока действия: | 01.04.1989 |
| Область применения: | Инструкция предназначена для выполнения проектировочного и проверочного расчетов бурильных колонн как для всего цикла строительства скважины, так и для отдельных технологических операций, выполняемых с использованием бурильных труб. Инструкция обеспечивает проведение расчетов в следующей области исходных данных: Скважины - нефтяные, газовые, геологоразведочные. Месторождения - на суше и в прибрежном шельфе (бурение производится стационарными и плавучими буровыми установками). Профиль скважины - вертикальный, наклонно направленный. Технологические операции - бурение, отбор керна, расширка, проработка, калибровка ствола скважины, спуск частей обсадных колонн на бурильных трубах, разбуривание цементных мостов (в том числе внутри эксплуатационной колонны). Способы бурения - роторный, с использованием забойных двигателей (в том числе электробуров), совмещенный. Бурильные трубы - стальные, в том числе импортные, и алюминиевые. В инструкции не рассматриваются особенности расчета, обусловленные возможным контактом бурильных труб с высокоагрессивной, в том числе сероводородсодержащей, средой, а также особенности, связанные с воздействием на трубы высоких температур (свыше 100 град. Цельсия для алюминиевых и 200 град. Цельсия для стальных труб). |
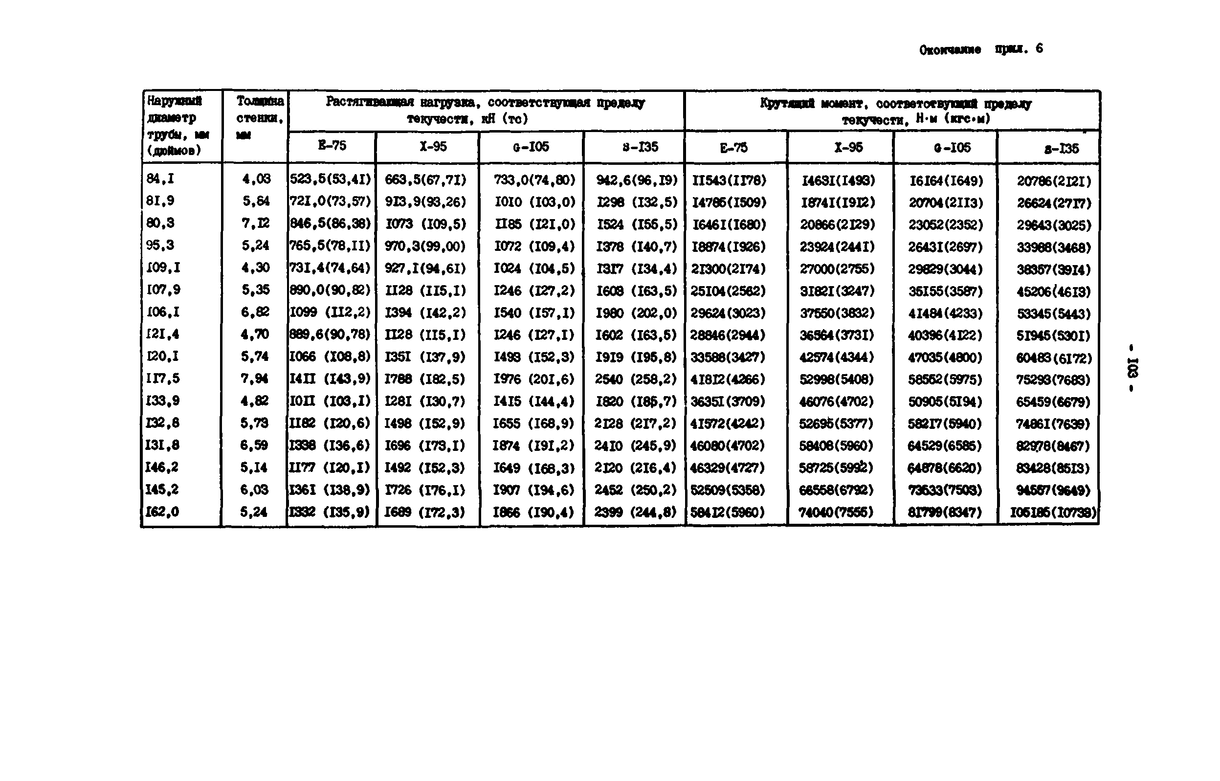
| Оглавление: | 1 Общие положения 2 Исходные данные 3 Расчетные схемы, формулы, соотношения Схематизация бурильной колонны Осевое нагружение колонны Кручение Изгиб Частные случаи предельных нагрузок на БК Допускаемые длины секций КБТ Рекомендуемые соотношения диаметров 4 Условия прочности и запасы прочности 5 Расчет замковых соединений 6 Расчет компоновки УБТ 7 Расчет колонн бурильных труб Проектирование КБТ для группы смежных технологических операций Проверочный расчет бурильной колонны 8 Примеры расчета Приложения: 1 Геометрические и массовые (весовые) характеристики стальных бурильных труб отечественного производства 2 Геометрические и массовые (весовые) характеристики бурильных труб их алюминиевых сплавов (ГОСТ 23786-79) 3 Геометрические и массовые (весовые) характеристики импортных (по стандартам АНИ) бурильных труб 4 Предельные растягивающие нагрузки и крутящие моменты для стальных бурильных труб отечественного производства при равномерном поверхностном износе по классам 5 Предельные растягивающие нагрузки и крутящие моменты для алюминиевых бурильных труб при равномерном поверхностном износе по классам 6 Предельные растягивающие нагрузки и крутящие моменты для импортных (по стандартам АНИ) бурильных труб при равномерном поверхностном износе по классам 7 Предельные наружное и внутреннее давления для стальных бурильных труб отечественного производства 8 Предельные наружное и внутреннее давления для алюминиевых бурильных труб 9 Предельные наружное и внутреннее давления для импортных (по стандартам АНИ) бурильных труб 10 Предельные осевые нагрузки в клиновом захвате на стальные бурильные трубы отечественного производства 11 Предельные осевые нагрузки в клиновом захвате на алюминиевые бурильные трубы 12 Предельные осевые нагрузки в клиновом захвате на импортные (по стандартам АНИ) бурильные трубы 13 Механические свойства материалов бурильных труб отечественного производства 14 Механические свойства материалов импортных (по стандартам АНИ) бурильных труб 15 Пределы выносливости (изгиб с вращением) бурильных труб 16 Рекомендуемые моменты свинчивания и допускаемые осевые растягивающие нагрузки на бурильные замки отечественного производства при равномерном поверхностном износе по классам 17 Рекомендуемые моменты свинчивания импортных бурильных замков при равномерном поверхностном износе по классам 18 Геометрические и прочностные характеристики бурильных замков отечественного производства 19 Рекомендуемые моменты свинчивания утяжеленных бурильных труб 20 Вычисление коэффициента внешнего трения |
| Разработан: | ВНИИТнефть |
| Утверждён: | 20.12.1985 Министерство нефтяной промышленности СССР (USSR Ministry of the Petroleum Industry ) |
| Издан: | Областная типография им. Мягы (1986 г. ) |
| Заменяет собой: |
|
| Нормативные ссылки: |




































































































































