Скачать ТСЦ Краснодарский край 81-01-2001 Часть III. Материалы и изделия для санитарно-технических работДата актуализации: 01.01.2021
|
| Обозначение: | ТСЦ Краснодарский край 81-01-2001 |
| Обозначение англ: | 81-01-2001 |
| Статус: | действует |
| Название рус.: | Часть III. Материалы и изделия для санитарно-технических работ |
| Дата добавления в базу: | 01.09.2013 |
| Дата актуализации: | 01.01.2021 |
| Дата введения: | 01.09.2003 |
| Область применения: | Территориальный сборник сметных цен на материалы, изделия и конструкции предназначен для определения сметной стоимости строительно-монтажных (ремонтно-строительных) работ, а также при разработке Территориальных единичных расценок на строительные, монтажные и ремонтно-строительные работы |
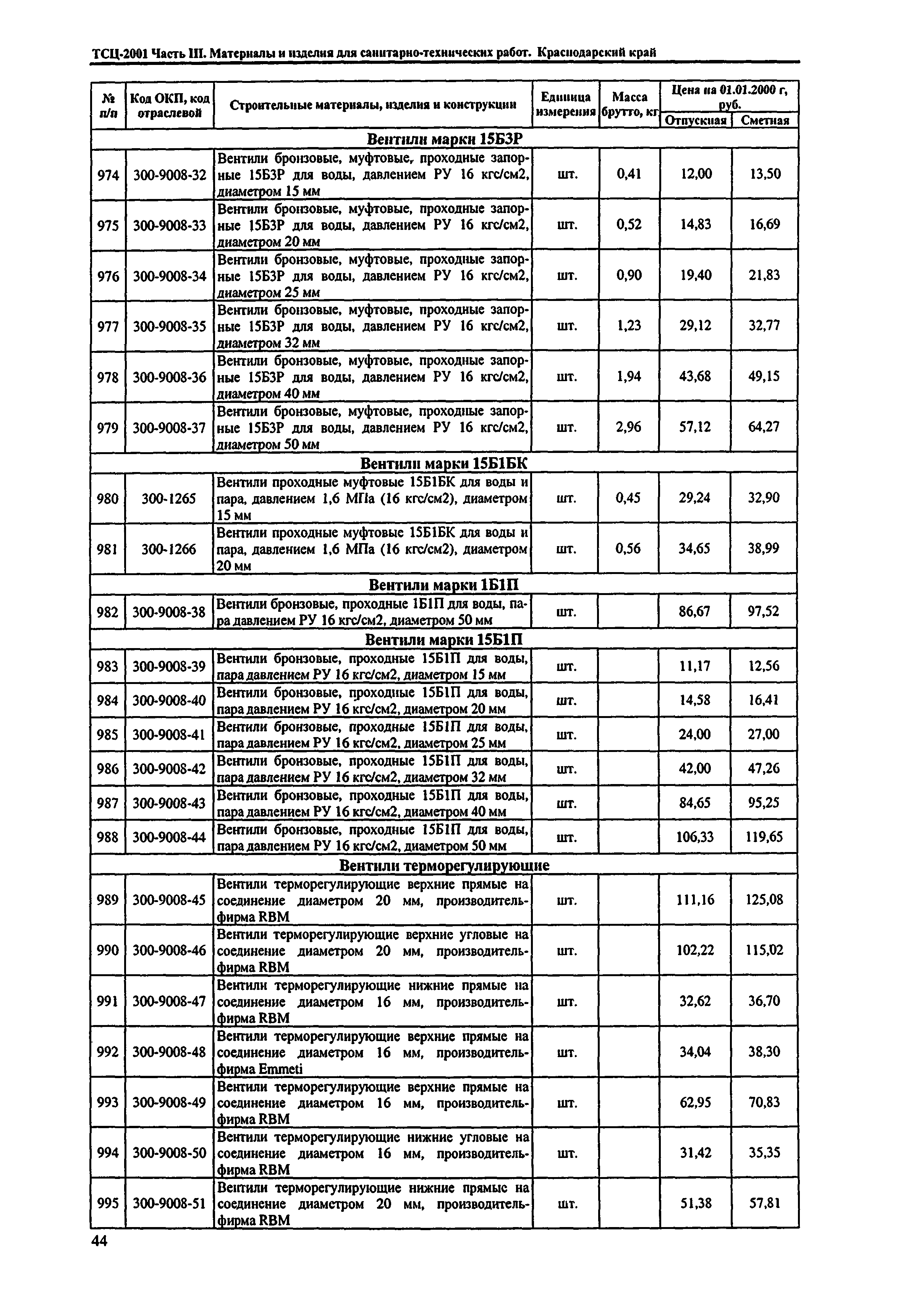
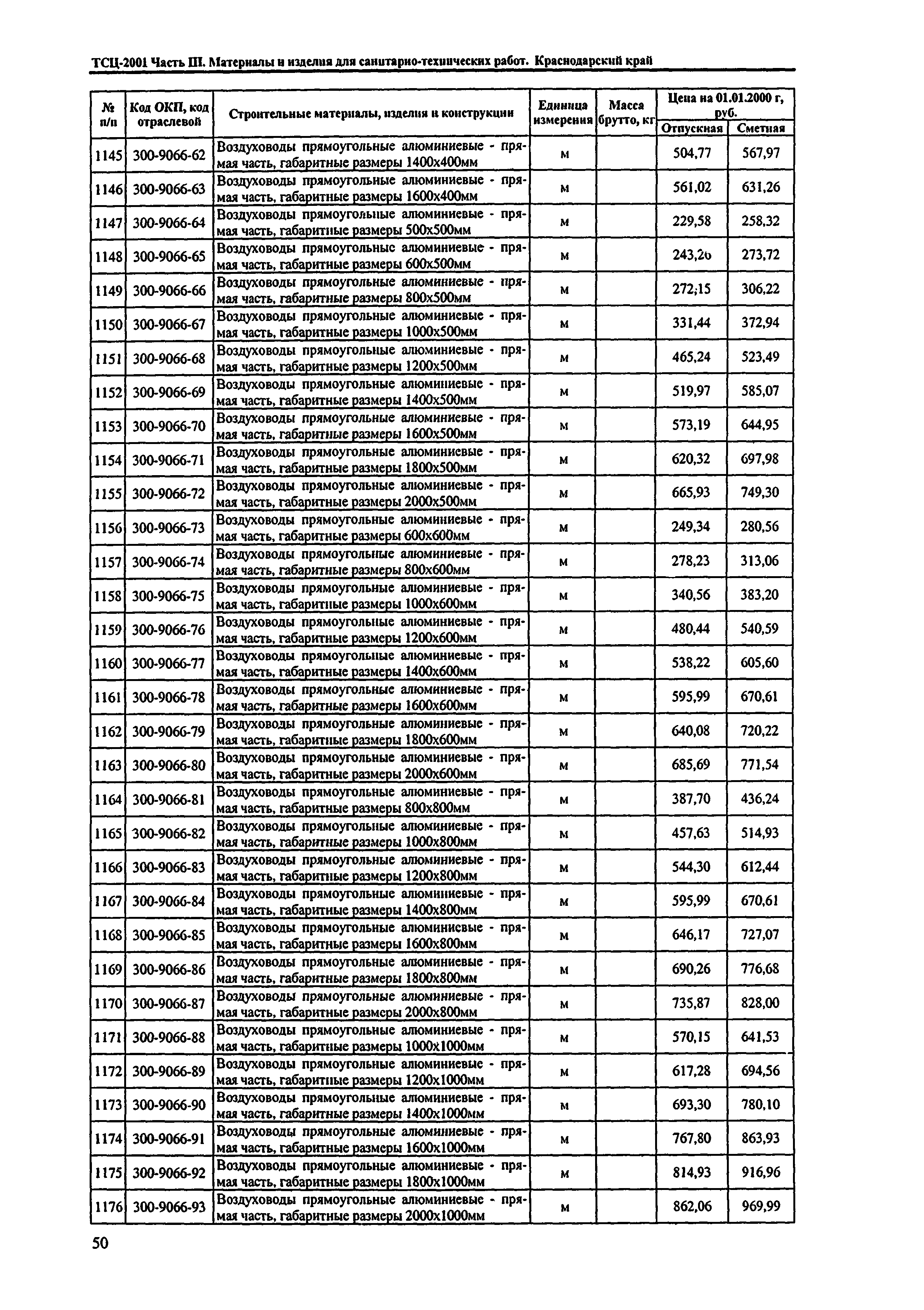
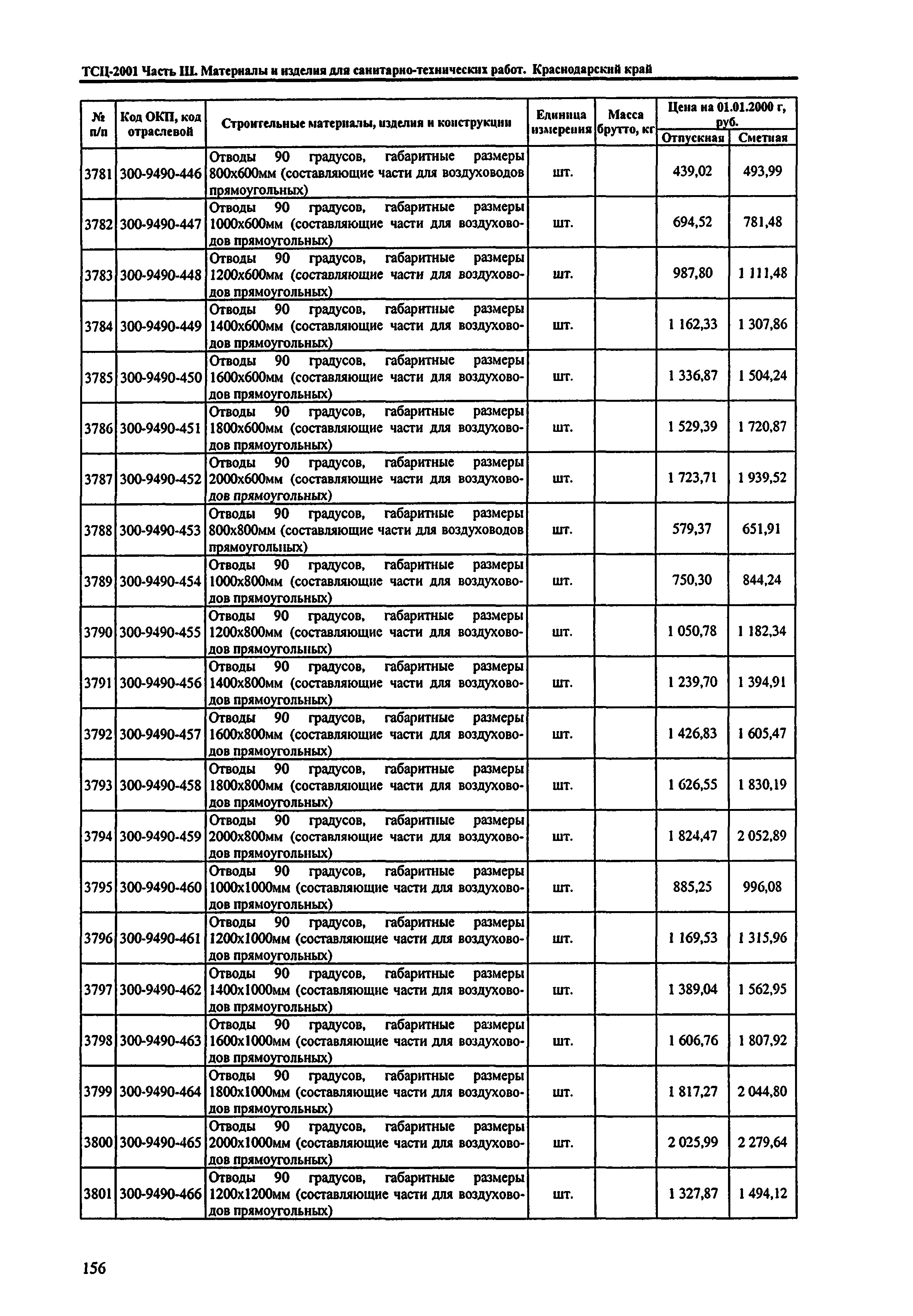
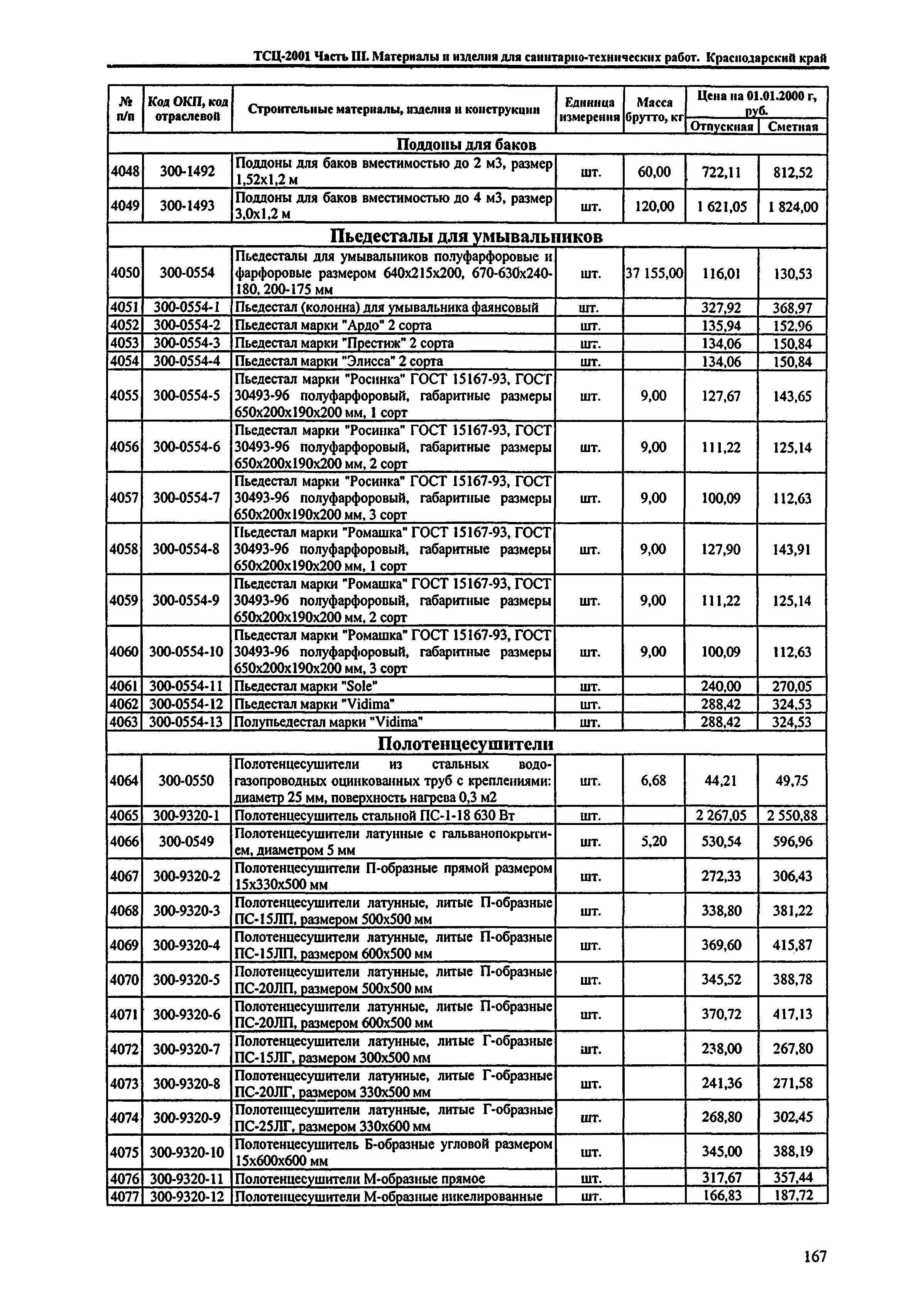
| Оглавление: | Общие положения Техническая часть Раздел 3.01 Санитарно-технические материалы и изделия Агрегаты отопительные Агрегаты вентиляционно-приточные Агрегаты пылеулавливающие Баки расширительные Баки расширительные круглые Баки расширительные унифицированные Баки конденсационные Баки для хранения запасов воды Баллоны для сжиженных газов Блоки присоединительные Блоки приемные Блоки тепломассообмена Бочата стальные Бочата оцинкованные Бочата хромированные Вентиляторы Вентиляторы осевые Вентиляторы осевые марки В-06-300 Вентиляторы осевые марки ВО-Ф Вентиляторы осевые марки ВО Вентиляторы осевые марки ВОП Вентиляторы осевые марки ОВ Вентиляторы осевые марки В-12-303 Вентиляторы радиальные Вентиляторы радиальные марки ВР Вентиляторы радиальные ВЦ-4-70 Вентиляторы радиальные ВЦ4-75 Вентиляторы радиальные ВЦ4-76 Вентиляторы радиальные ВЦ 14-46 Вентиляторы центробежные ВЦ10-28 Вентиляторы центробежные ВЦ12-26 Вентиляторы радиальные ВЦ-б-28 Вентиляторы радиальные ВЦ-12-49 Вентиляторы радиальные ВДС Вентиляторы электроручные Вентиляторы канальные ВК Вентиляторы крышные Вентиляторы пылевые Вентиляторы для дымоудаления Воздухораспределители Воздухосборники Виброизоляторы Вставки гибкие Водоподогреватели, водонагреватели, нагреватели, колонки Водоподогреватели марки СТД Подогреватели водоводяные секционные марки ПВ Подогреватели водоводяные секционные марки ППВ Подогреватели пароводяные тепловых сетей марки ПП Подогреватели сетевой воды марки ПСВ Водонагреватели промышленные пароводяные Водоподогреватели марки ВС Водоподогреватели марки ВН Водоподогреватели односекционные и секции нагревательные Колонки водогрейные, аппараты водонагревательные и отопительные Нагреватели индивидуальные Водонагреватели газовые модель S/SGA Водонагреватели газовые модели WR Водонагреватели модель Edisson Водонагреватели (бойлеры) емкостные марки LT Водонагреватели комбинированные TOP GLASS Водонагреватели (бойлеры) марки Аристон Водонагреватели (бойлеры) марки Вестер Водонагреватели (электробойлеры) типа WHE Водонагреватели (электробойлеры) типа WHS Водонагреватели (электробойлеры) типа WHH Водонагреватели (электробойлеры) типа WHD Водонагреватели (электробойлеры) марки Isea Водонагреватели (бойлеры) проточно-накопительные марки HLE Водонагреватели (бойлеры) косвенного нагрева модели SO Водонагреватели (бойлеры) косвенного нагрева модели SK Водонагреватели (бойлеры) напольные типа HR Водонагреватели (бойлеры) напольные Водонагреватели электрические проточные модели ЭПВН Водонагреватели электрические, накопительного типа S Ванны Ванны стальные Ванна стальная модели "Классик" Ванна стальная модели "Контесса" Ванна стальная марки "Калдевел" Ванна стальная марки "Принцесса" Ванна стальная марки "Дафна" Ванны чугунные Ванны полимербетонные Ванны пластиковые Ванны акриловые Ванны медицинские Ванны разные Вентили Вентили марки 15КЧ12П Вентили марки 15КЧ14П Вентили марки 15КЧ16П Вентили марки 15КЧ16Ш Вентили марки 15КЧ18П Вентили марки 15КЧ18П2 Вентили марки 15КЧ19П Вентили марки 15КЧ19П1 Вентили марки 15КЧЗЗП Вентили марки 15КЧ34П Вентили марки 15КЧ848П Вентили марки 15КЧ18Р Вентили марки 15КЧ33Р1 Вентили марки 15Ч14БР Вентили марки 15КЧ887БР Вентили марки 5КЧ16НЖ Вентили марки 15КЧ22НЖ Вентили марки 15Ч8П1 Вентили марки 15Ч19П2 Вентили марки 15Ч74П2М Вентили марки 15Ч76П2М Вентили марки 15С22НЖ Вентили марки 15С27НЖ1 Вентили марки 15С52НЖ9 Вентили марки 15С52НЖ10 Вентили марки 15С9БК Вентили марки 15С18П Вентили марки 15С51П3 Вентили марки 15С54БК2 Вентили марки 15С94БК1 Вентили марки 15Б3Р Вентили марки 15Б1БК Вентили марки 1Б1П Вентили марки 15Б1П Вентили терморегулирующие Вентили термостатические Вентили и гидранты пожарные Вентили • соединительная арматура для металлопластиковых труб Прочие вентили Водомеры, счетчики водяные Марки СТВ Марки ВСКМ Марки ВСКМГ Марки УВКГ Марки ВТГ Марки СТВГ Марки СВК Марки ВМГ Марки ВМХ Марки ОСВ Вантузы Воздуховоды Воздуховоды из листовой стали Воздуховоды из оцинкованной стали Воздуховоды из алюминия Воздуховоды полужесткие Воздуховоды жесткие (спирально-навивные) Врезки Врезки для составляющих частей воздуховодов финской технологии Воронки Газоходы Газоходы полужесткие из нержавеющей стали Газоходы из углеродистой стали Глушители шума Глушители шума марки ГТК Глушители шума марки ГТП Глушители шума марки ГП Глушители шума (пластины) марки ПП Глушители шума (пластины) марки П Гребенки Грязевики Горелки Горелки газовые подовые Горелки газовые Гарнитура туалетная Дефлекторы Диафрагмы камерные Двери стальные для вентиляционных камер Дымососы Зонты вентиляционных систем и вытяжные Задвижки Задвижки марки 30Ч6БР Задвижки марки 30Ч6БК Задвижки марки 30Ч7БК Задвижки марки 30415БР Задвижки марки 30ч17бк Задвижки марки 30Ч39Р Задвижки марки 30Ч73БР Задвижки марки 30Ч330БР Задвижки марки 304515БР Задвижки марки 30Ч530БР Задвижки марки 30Ч715БР Задвижки марки 30Ч906БР Задвижки марки 31Ч6БР Задвижки марки 31Ч6БК Задвижки марки 31Ч917БР Задвижки марки 31Ч17БК1 Задвижки марки 30кч70бр Задвижки марки 31Ч12ВЧ Задвижки марки 30С7НЖ Задвижки марки 30С15НЖ Задвижки марки 31С18НЖ Задвижки марки 30С41НЖ Задвижки марки 30С42НЖ Задвижки марки 30С64НЖ Задвижки марки 30С65НЖ Задвижки марки 30С76НЖ Задвижки марки 30С507НЖ Задвижки марки ЗОС327НЖ Задвижки марки 30С576НЖ Задвижки марки 30С915НЖ Задвижки марки 30С941НЖ Задвижки марки 31С964НЖ Задвижки марки 31С976НЖ Задвижки марки 31ЛС77НЖ Задвижки марки 30НЖ41НЖ Задвижки марки 31НЖ45НЖ Задвижки марки 3КЛ-1 Задвижки марки 3КЛ2-16 Задвижки марки 3КЛПЭ-75 Задвижки марки 3СС-1 Задвижки марки 3КС Заглушки Заглушки стальные Заглушки чугунные Заглушки из полипропилена Пневмозаглушки резинокордные Заглушки для составляющих частей воздуховодов по финской технологии Заглушки разные Затворы гидравлические Завесы воздушно-тепловые Заслонки воздушные Марки СТД Заслонки круглые с ручным управлением Заслонки с электрическим и пневматическим приводом АЗД Заслонки воздушные унифицированные с электрическим приводом МЭО Калориферы Калориферы марки КВБ Калориферы марки КСК Калориферы марки КП Калориферы марки КВС Калориферы марки КЭВ Калориферы марки ЭК Конвекторы отопительные Кондиционеры Кондиционеры промышленные марки КНЭ Кондиционеры промышленные марки КТА Кондиционеры промышленные марки "Дайкин" Кондиционеры промышленные марки "Эксон" Кондиционеры медицинские Кондиционеры мультисплит марки "Аэрвел" Кондиционеры мультисплит марки "Гри" Кондиционеры мультисплит марки "Дженерал" Кондиционеры мультисплит марки "Мак вэй" Кондиционеры мультисплит марки "Мицубиси" Кондиционеры мультисплит марки "Панасоник" Кондиционеры мультисплит марки "Самсунг" Кондиционеры мультисплит марки "Тошиба" Кондиционеры мультисплит марки "Фуджи" Ко1щиционеры мультисплит марки "Хайер" Кондиционеры мультисплит марки "Хендэ" Кондиционеры мультисплит марки "Хитачи" Кондиционеры сплит марки "Арго" Кондиционеры сплит марки "Джакс" Кондиционеры сплит марки "Делонги" Кондиционеры оконные марки "Вайт-вестинг АУЗ" Кондиционеры сплит марки "Дженерал фуджитсу" Кондиционеры оконные марки "Сатурн" Блоки наружные для кондиционера Камеры воздушные Камеры обслуживания Камеры приточные Камеры орошения Котлы Котлы марки АОГВ Котлы марки АКГВ Котлы марки АОГВК Котлы марки КВГ Котлы марки КСТ Котлы марки КСГ Котлы марки КСТГ Котлы марки СКС Котлы марки ВЭО Котлы марки ЭПО Котлы марки класса "Комфорт" Вармос Котлы марки КВА Котлы электрические "Стандарт" Котлы марки РусНИТ Котлы марки СА Котлы марки К Котлы стальные поставки ОАО "Дорогобужкотломаш" Котлы стальные модель RODI Котлы марки ZW Кохтлы марки ZWE Котлы марки Alfa Kombi Котлы марки Delta Котлы марки Heat Master Котлы марки №1 Котлы марки №3 Котлы марки GN Котлы марки Atmomax Котлы марки Turbomax Котлы марки MITAL Котлы марки TAHITY Котлы марки NIAS Котлы марки ЕТ Котлы марки TER Котлы чугунные марки "Каунас" Котлы чугунные марки "Универсал-5М" Котлы марки КЧМ-5К Котлы марки КЧМ-5Р Котлы марки КЧМ-7 Котлы марки WE Котлы марки LUX G3 ECV Котлы марки BALI 18 RTNE Котлы марки ELBA Котлы марки ALOR Котлы пищеварочные Прочие конструкции котлов Клапаны Клапаны марки 16КЧ6П Клапаны марки 16КЧ9НЖ Клапаны обратные марки 16КЧ9БР Клапаны марки 16КЧ9П Клапаны марки 16КЧ11П Клапаны обратные марки 16КЧ1 IP Клапаны обратные марки 16Ч21Р Клапаны обратные марки 16Ч42Р Клапаны обратные марки 19Ч21БР Клапаны обратные марки 19Ч42Р Клапаны регулирующие марки 25Ч37НЖ Клапаны обратные марки 25Ч38НЖ Клапаны регулирующие марки 25С48НЖ Клапаны регулирующие марки 25Ч940НЖ Клапаны регулирующие марки 25Ч940П Клапаны регулирующие марки 25Ч943НЖ Клапаны обратные марки 19С38НЖ Клапаны обратные марки 19С53НЖ Клапаны обратные марки 25С48НЖ Клапаны обратные марки 16Б1БК Клапаны обратные марки 16Б7П Клапаны обратные марки 19Б1БК Клапаны обратные марки КО Клапаны обратные марки КОв Клапаны обратные марки КОп Клапаны регулирующие марки КП Клапаны воздушные марки УВК Клапаны герметические вентиляционные Клапаны газовые Клапаны обратные марки ВВ Клапаны шаровые Клапаны запорные Клапаны лепестковые Клапаны предохранительные марки 17Ч3БР1 Клапаны предохранительные марки 17418БР Клапаны предохранительные марки 17Ч19БР Клапаны редукционные марки 18Ч2БР Клапаны предохранительные марки 17С6НЖ Клапаны предохранительные марки 17С7НЖ/СППК4 Клапаны предохранительные марки 17С12НЖ Клапаны предохранительные марки 17С14НЖ Клапаны предохранительные марки 17С28НЖ Клапаны предохранительные марки 17Б2БК Клапаны предохранительные 25НЖ21НЖ Клапаны предохранительные марки КПЗ Клапаны предохранительные марки КПС Клапаны предохранительные марки ПСК Клапаны предохранительные марки ПКН Клапаны предохранительные марки ПКК Клапаны воздушные марки КВУ Клапаны воздушные марки КВР Клапаны марки К Клапаны поплавковые Клапаны противовзрывные - мембранные Клапаны марки АЗЕ Клапаны обратные "бабочка" Клапаны прочие Дроссель - клапаны Дроссель-клапаны марки ДКФ Дроссель-клапаны марки ДК Краны Краны марки KB Краны Маевского Краны марки КРДП Краны марки КРТПП Краны марки КРДШ Краны марки 11Б1БК Краны марки 10Б8БК1 Краны марки 10Б9БК1 Краны марки 10Б19БК1 Краны марки 11Б6БК Краны марки 11Б8БК Краны марки 11Б10БК1 Краны марки 11Б12БК Краны марки 11Б18БК Краны марки 11Б34БК Краны марки 11Б38БК Краны марки 11ЧЗБК Краны марки 11Ч6БК Краны марки 11Ч8БК Краны марки 11Ч18БК Краны шаровые марки 11Б27П Краны шаровые марки 11Б41П Краны шаровые марки 11Б41П3 Краны шаровые разные Краны угловые Краны спускные Краны пожарные Краны лабораторные Краны туалетные Краны воздушные Краны разные Компенсаторы Компенсаторы сальниковые Компенсаторы П-образные Компенсаторы сильфонные Компенсаторы линзовые Кабины душевые (душ) Конденсатоотводчики Крестовины Крестовина для воздуховодов Крестовина для труб Колено сантехническое Мойки Мойки стальные Мойки из нержавеющей стали Мойки чугунные эмалированные Мойки импортные Манометры Муфты Муфты чугунные Муфты чугунные, переходные Муфты надвижные Муфты стальные Муфты оцинкованные Муфты латунные Прочие муфты Насосы Насосы центробежные Насосы консольные Насосы грунтовые Насосы грязевой Насосы погружные Насосы дозировочные Насосы дренажные Насосы циркуляционные Насосы масляные Насосы фекальные Насосы химические Узлы насосов ручных Ниппели Набивки сальниковые Обтекатели для пластинчатых шумоглушителей Отсосы от оборудования, бортовые и прочие Отводы и полуотводы Отводы стальные Отводы стальные канализационные Отводы чугунные Отводы для составляющих частей воздуховодов Плиты бытовые Плиты газовые бытовые Плиты газовые электрические Плиты электрические бытовые Плиты ресторанные Духовые шкафы Поддоны душевые стальные Поддоны душевые чугунные Поддоны душевые фаянсовые Поддоны для баков Пьедесталы для умывальников Полотенцесушители Панели щитков для контрольно-измерительных приборов Переходы и переходники Переходы стальные Переходы радиаторные Переходы для составляющих частей воздуховодов Переходники разные Радиаторы, изделия для радиаторов и их монтажа Радиаторы марки МС Радиаторы марки М-140 Радиаторы марки РСГ Радиаторы марки РСВ Радиаторы марки Б-3-140-300 Радиаторы марки 1К-60П-500 Радиаторы марки 2К-60П-500 Радиаторы марки 2К-60П-300 Радиаторы марки ЧМ Радиаторы марки Calidor Super Радиаторы марки Twist Радиаторы марки Super Twist Радиаторы марки ТОР Радиаторы марки Raggall Радиаторы марки Extra Therm Раковины Раковины стальные Раковины лабораторные Раковины импортные Рукава, головки рукавов, стволы пожарные, шланга Рукава Шланги Головки Стволы пожарные Регуляторы давления Решетки вентиляционные и жалюзийные Регистры отопительные Ревизии Скрубберы Сифоны Сифоны для моек и умывальников Сифоны для ванн Сифоны для писсуаров и унитазов Сифоны разные Смесители Смесители для ванн и умывальников Смесители для душевых Смесители лабораторные Смесители для моек, раковин, кухонь Смесители на биде Термосмесители Счетчики газовые Марки СГ Сосуды расширительные Сетки металлические Сгоны Сгони стальные с муфтой и контргайкой Сгоны стальные Стоны стальные оцинкованные Сгоны никелированные Сгоны латунные Соединения для металлопластиковых труб Вторые соединения для металлопластиковых труб Внутренние соединения с муфтой - соединительная арматура для металлопластиковых труб Наружное соединение с ниппелем - соединительная арматура для металлопластиковых труб Евроконусы для металлопластиковых труб Калибровка для металлопластиковых труб Резак-пистолет для металлопластиковых труб Коллектор для металлопластиковых труб Уплотнительные кольца Трубопроводы и трубы Трубопроводы из стальных водогазопроводных труб Трубопроводы из стальных бесшовных труб Трубопроводы из стальных электросварных труб Трубопроводы из поливинилхлоридных и полиэтиленовых труб Трубопроводы (узлы укрупненные монтажные) Трубопроводы обвязки котлов, подогревателей и насосов, водомеров из стальных водогазопроводных, электросварных и бесшовных труб Трубы сливные и смывные Трубы чугунные отопительные Трубы чугунные канализационные Трубы - чулок Феникс - шланги Трубы металлополимерные Трубы прочие Трапы сантехнические Термометры Тройники Тройники чугунные Тройники стальные Тройник для соединения металлопластиковых труб Тройник для воздуховодов Тройники прочие Унитазы, чаши напольные, сидения и бачки к унитазам, биде, писсуары Унитазы отечественного производства Унитазы импортные Сидения к унитазам Бачки сантехнические Биде Писсуары Сливы больничные Умывальники Умывальники марки "Ардо" Умывальники марки "Браво" Умывальники марки "Видима" Умывальники марки "Виктория" Умывальники марки "Водолей" Умывальники марки "Ирис" Умывальники марки "Классик" Умывальники марки "Комфорт" Умывальники марки "Престиж" Умывальники марки "Президент" Умывальники марки "Киров" Умывальники марки "Лилия" Умывальники марки "Лотос" Умывальники марки "Люкс" Умывальники марки "Мотив" Умывальники марки "Санита" Умывальники марки "Сириус" Умывальники марки "Славута" Умывальники марки "Утро" Умывальники марки "Уют" Умывальники марки "УМОВ" Умывальники марки "УМПК" Умывальники марки "Тюльпан" Умывальники марки "Росинка" Умывальники марки "Ромашка" Умывальники марки "Ракушка" Умывальники марки "Фея" Умывальники марки "Элегант" Умывальники марки "Элисса" Умывальники марки "Эко" Прочие умывальники Узлы тепловые элеваторные и элеваторы Узлы прохода вытяжных вентиляционных шахт Узлы прохода через кровлю Указатели уровня давления Угловые соединения, угольники Фиксаторы Фильтры Фильтры для очистки воды Фильтры фланцевые Фильтры ячейковые Фильтры аэрозольные Фильтры воздушные Фильтры очистки для стальных труб Фильтры топливные Фильтры осветлительные Фильтры ионообменные Фонтанчики питьевые Фланцы Фланцы стальные плоские приварные Фланцы стальные воротниковые Фланцы оцинкованные Фланцы чугунные Фланцы для систем вентиляции Циклоны Шиберы Прочие изделия и конструкции Держатели для труб Хомуты Кронштейны и подставки Крепления для воздуховодов Крепления для умывальников Соединительные детали Втулки Болты с гайками и шайбами для санитарно-технических работ Контргайки Контргайки оцинкованные Контргайки чугунные Контргайки латунные Пробки Монтажные плиты Подводки Шкафы Колпачки Зажимы Запальники Резьбы стальные Прочие материалы и изделия Алфавитный указатель |
| Разработан: | Краснодарский краевой центр ценообразования в строительстве Кубаньстройцена |
| Утверждён: | 01.09.2003 Администрация Краснодарского края |
| Издан: | Администрация Краснодарского края (2003 г. ) |
| Список изменений: |
|
| Заменяет собой: | |
| Нормативные ссылки: |































































































































































































































































Текстовое изменение № от 01.09.2003



































































