Скачать Серия 3.503.1-81 Выпуск 5-6. Дополнение 2. Балки пролетного строения длиной 33 м (h=1,5 м) цельноперевозимые с натяжением на упоры пучков из стальных канатов К-7 диаметром 15 мм. Рабочие чертежиДата актуализации: 01.01.2021
|
| Обозначение: | Серия 3.503.1-81 |
| Обозначение англ: | Series 3.503.1-81 |
| Статус: | не определен законодательством |
| Название рус.: | Выпуск 5-6. Дополнение 2. Балки пролетного строения длиной 33 м (h=1,5 м) цельноперевозимые с натяжением на упоры пучков из стальных канатов К-7 диаметром 15 мм. Рабочие чертежи |
| Дата добавления в базу: | 01.09.2013 |
| Дата актуализации: | 01.01.2021 |
| Дата введения: | 05.09.1992 |
| Дата окончания срока действия: | 30.06.2003 |
| Область применения: | Настоящие рабочие чертежи разработаны в дополнение к чертежам серии 3.503.1-81 выпуск 5-6 и выпуск 5-6 дополнение 1 с учетом разработок по теме К-ИС-86.00.02.03 в продолжение темы 309К-ИС-79 по заданию Мостотреста в 1991 году |
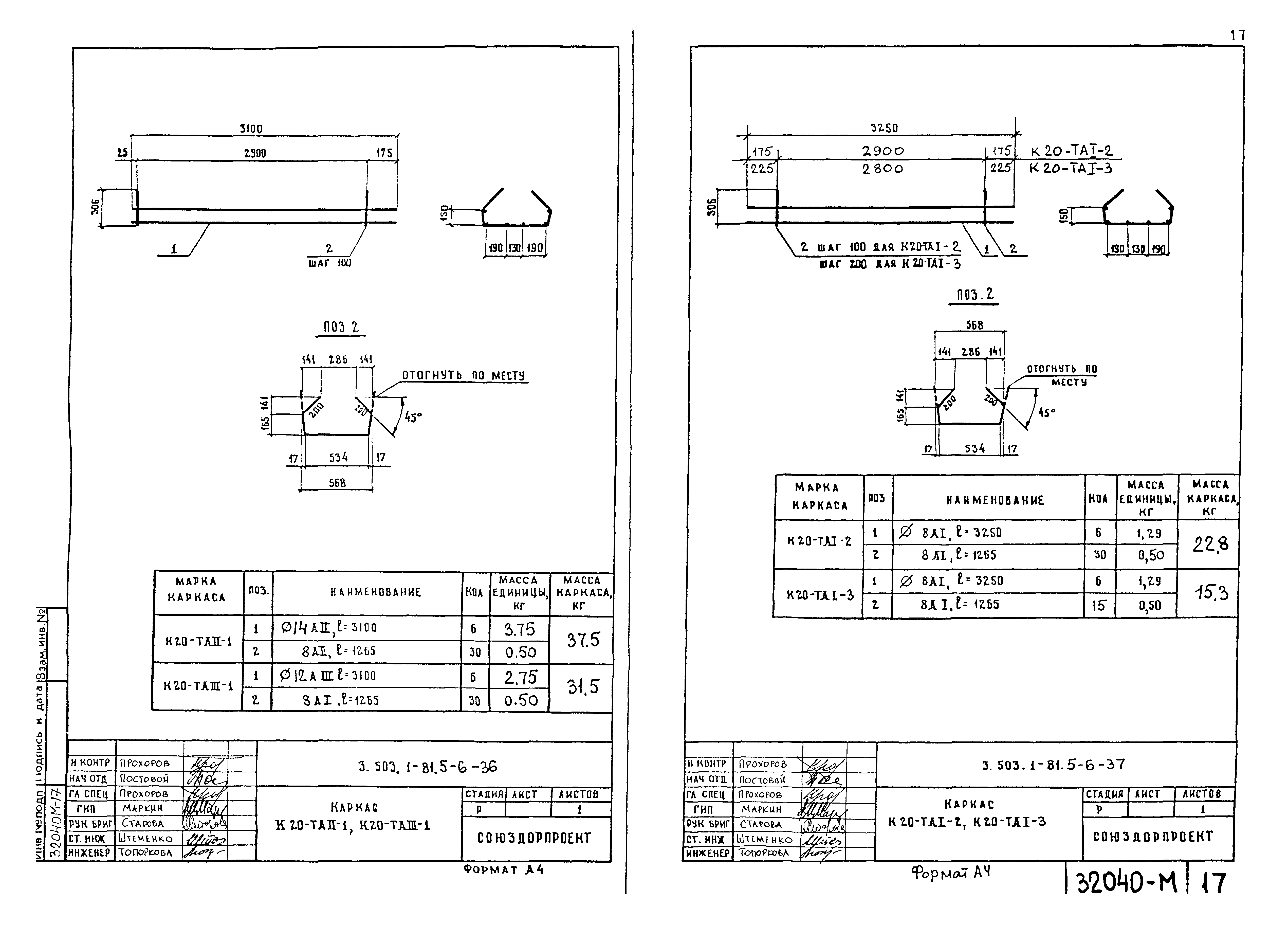
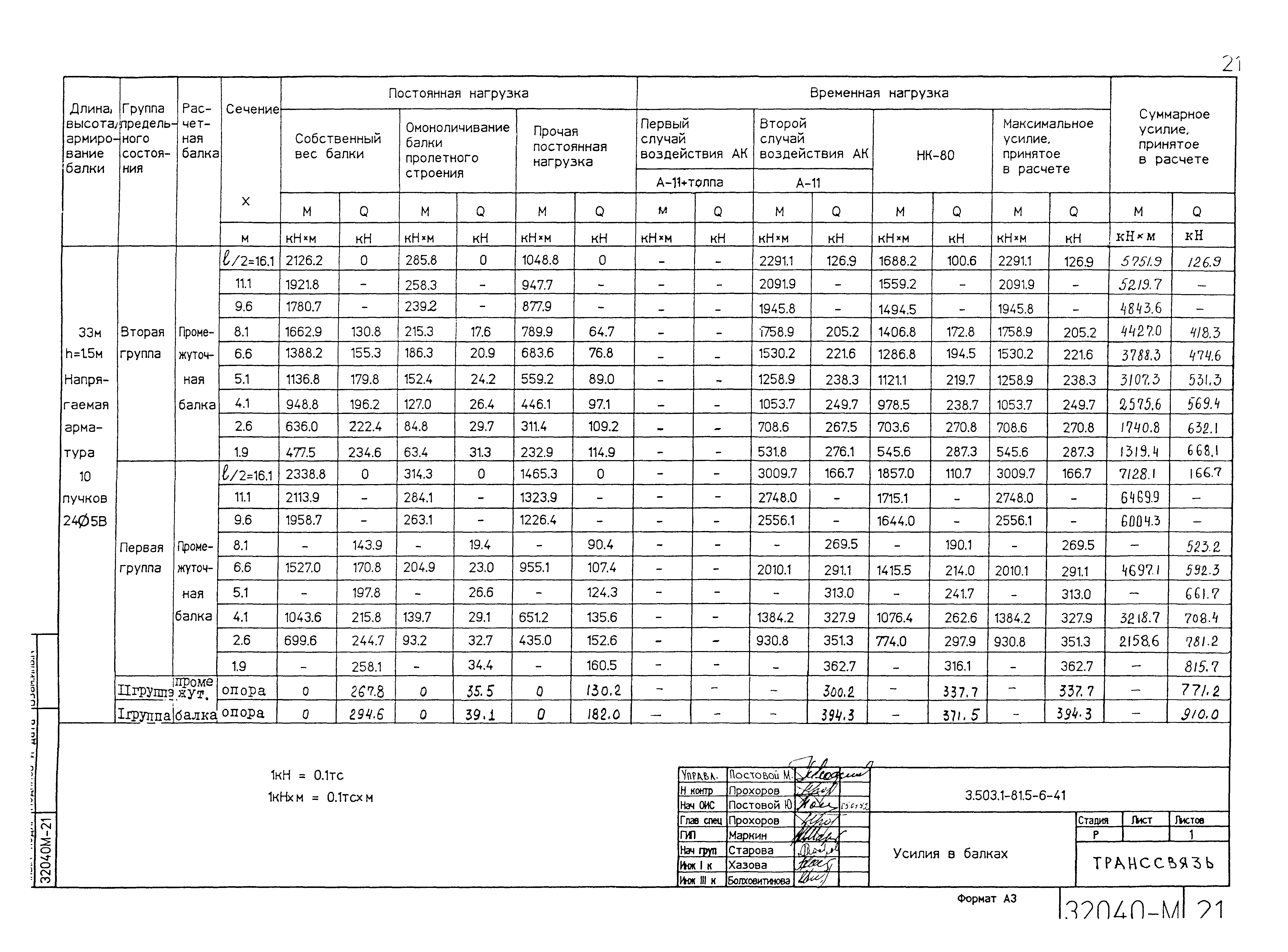
| Оглавление: | 3.503.1-81.5-6-ТТДоп2 Технические требования 3.503.1-81.5-6-27 Балки пролетного строения ОБ3300.194.150. Арматурный чертеж 3.503.1-81.5-6-28 Напрягаемая арматура балок ОБ3300.180.150; ОБ3300.194.150. Пучки из стальных канатов К-7 3.503.1-81.5-6-29 Ребро балки ОБ3300.180.150; ОБ3300.194.150. Ненапрягаемая арматура класса А-III 3.503.1-81.5-6-30 Ребро балки ОБ3300.180.150; ОБ3300.194.150. Ненапрягаемая арматура класса А-II 3.503.1-81.5-6-31 Балки пролетного строения ОБ3300.180.150. Арматурный чертеж 3.503.1-81.5-6-32 Пучки из стальных канатов К-7 3.503.1-81.5-6-33 Спираль 3.503.1-81.5-6-34 Каркас К-ТАI-1 3.503.1-81.5-6-35 Каркас К-ТАI-2, К-ТАI-3 3.503.1-81.5-6-36 Каркас К-ТАII-1, К-ТАIII-1 3.503.1-81.5-6-37 Каркас К20-ТАI-2, К20-ТАI-3 3.503.1-81.5-6-38 Сетка СР150-ТАII-7, Сетка СР150-ТАIII-7 3.503.1-81.5-6-39РС Ведомость расходов стали. Армирование балок пучками из канатов К-7 и ненапрягаемой арматурой класса А-III 3.503.1-81.5-6-40РС Ведомость расходов стали. Армирование балок пучками из канатов К-7 и ненапрягаемой арматурой класса А-II 3.503.1-81.5-6-41 Усилия в балках 3.503.1-81.5-6-42 Расчет по предельным состояниям I группы - на прочность по изгибающему моменту. Расчет по предельным состояниям II группы - прогибы и углы поворота 3.503.1-81.5-6-43 Расчет по предельным состояниям II группы - на трещиностойкость |
| Разработан: | Союздорпроект Минтрансстроя Транссвязь |
| Утверждён: | 05.09.1992 Союздорпроект Минтрансстроя (Soyuzdorproject, Mintransstroy ) |























