Скачать ГОСТ Р ИСО 12100-2-2007 Безопасность машин. Основные понятия, общие принципы конструирования. Часть 2. Технические принципыДата актуализации: 01.01.2021
|
| Обозначение: | ГОСТ Р ИСО 12100-2-2007 |
| Обозначение англ: | GOST R ISO 12100-2-2007 |
| Статус: | отменен |
| Название рус.: | Безопасность машин. Основные понятия, общие принципы конструирования. Часть 2. Технические принципы |
| Название англ.: | Safety of machinery. Basic concepts, general principles for design. Part 2. Technical principles |
| Дата добавления в базу: | 01.09.2013 |
| Дата актуализации: | 01.01.2021 |
| Дата введения: | 01.07.2008 |
| Дата окончания срока действия: | 01.01.2015 |
| Область применения: | Стандарт устанавливает технические принципы, помогающие конструкторам обеспечить безопасность машин. |
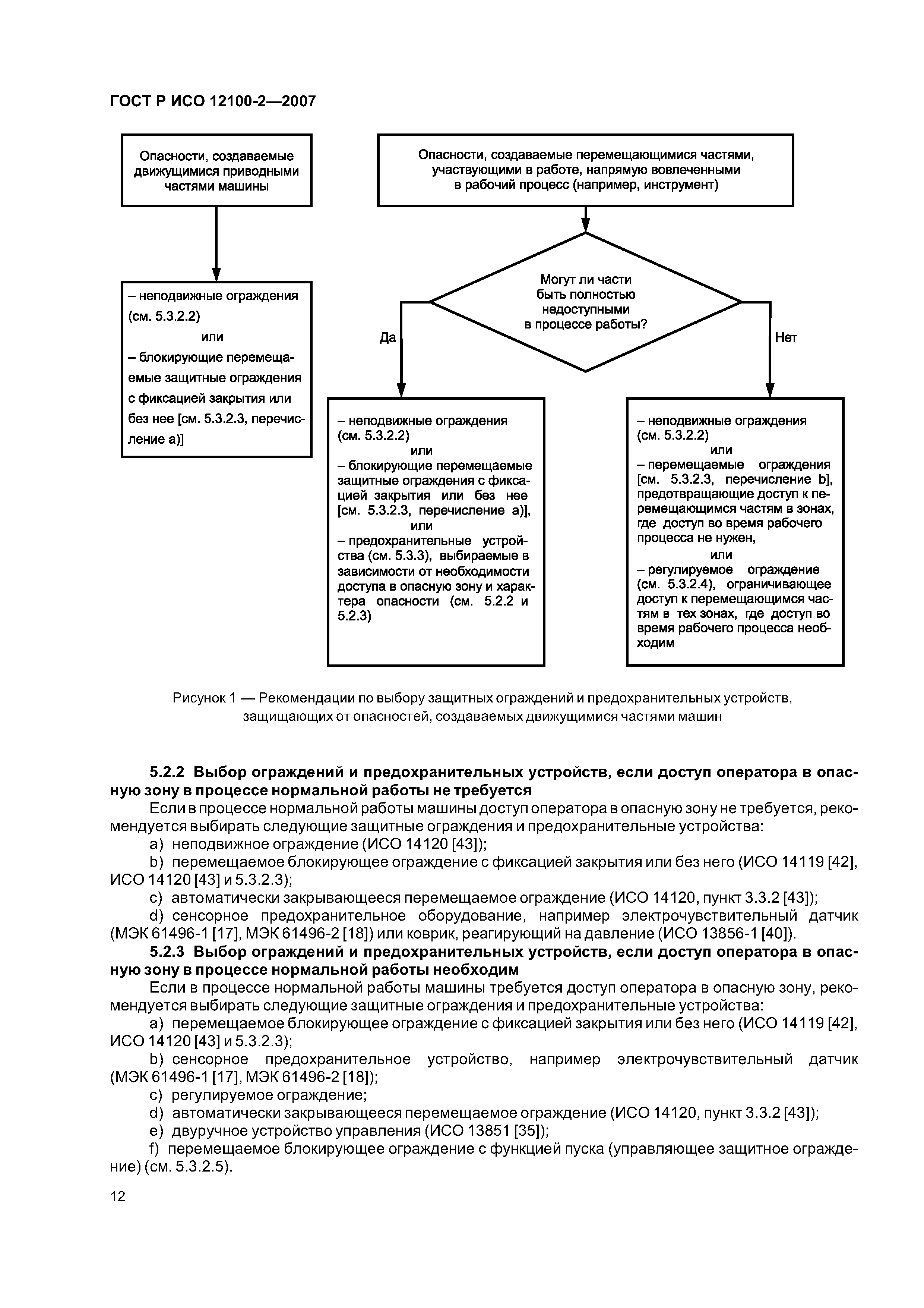
| Оглавление: | 1 Область применения 2 Нормативные ссылки 3 Термины и определения 4 Меры по разработке безопасной конструкции самой машины 4.1 Общие положения 4.2 Анализ геометрических и физических факторов 4.3 Общие технические сведения, касающиеся конструкции машин 4.4 Выбор соответствующего технологического оборудования 4.5 Применение принципа положительного механического воздействия одного элемента машины на другой 4.6 Обеспечение устойчивости 4.7 Обеспечение удобства обслуживания 4.8 Соблюдение эргономических принципов 4.9 Предотвращение электрических опасностей 4.10 Предотвращение опасностей, связанных с использованием пневматического и/или гидравлического оборудования 4.11 Соблюдение требований безопасности при проектировании системы управления 4.12 Сведение к минимуму вероятности сбоев функций безопасности 4.13 Ограничение опасности путем повышения надежности машин 4.14 Ограничение опасности путем механизации или автоматизации операций загрузки/разгрузки машин 4.15 Ограничение опасности путем вынесения мест проведения наладки и технического обслуживания за пределы опасных зон 5 Средства защиты и дополнительные защитные меры 5.1 Общие положения 5.2 Выбор и применение ограждений и предохранительных устройств 5.3 Требования к конструкции ограждений и предохранительных устройств 5.4 Защитные средства по снижению эмиссии 5.5 Дополнительные защитные меры 6 Информация для пользователей 6.1 Общие положения 6.2 Размещение и характер информации для пользователей 6.3 Сигналы и устройства предупредительной сигнализации 6.4 Маркировки, знаки (пиктограммы), письменные предупреждения 6.5 Сопроводительные документы (в частности, руководство по эксплуатации) Приложение А (обязательное) Сведения о соответствии ссылочных национальных стандартов Российской Федерации международным стандартам Библиография |
| Разработан: | ОАО ЭНИМС ТК 70 Станки ФГУП ВНИИНМАШ |
| Утверждён: | 27.12.2007 Федеральное агентство по техническому регулированию и метрологии (501-ст) |
| Издан: | Стандартинформ (2008 г. ) |
| Нормативные ссылки: |
|






























