Скачать ОСТ 1 10245-71 Прокладки уплотнительные резиновые. Конструкция и размерыДата актуализации: 01.01.2021 ОСТ 1 10245-71
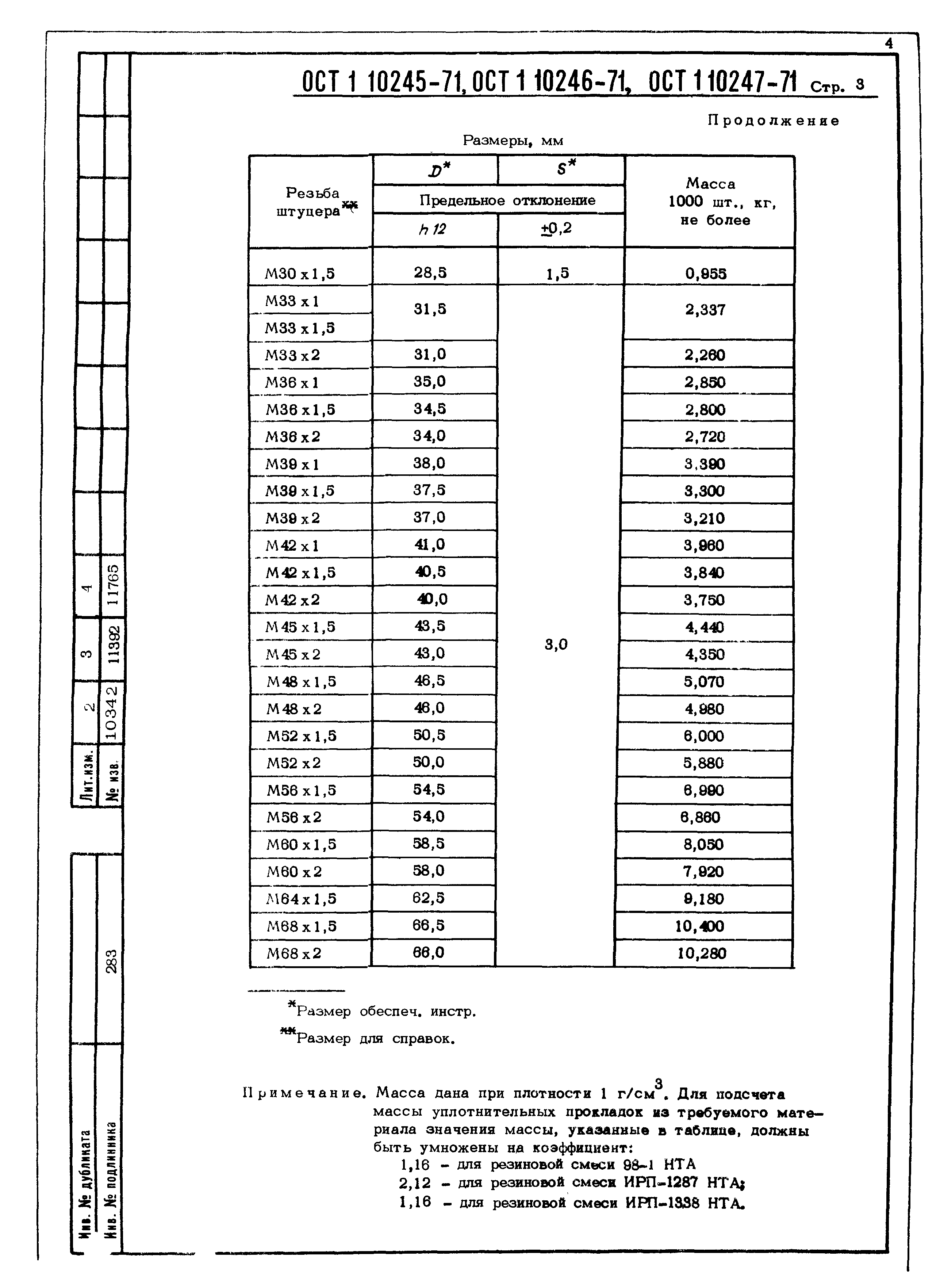
Прокладки уплотнительные резиновые. Конструкция и размеры| Обозначение: | ОСТ 1 10245-71 | | Обозначение англ: | 10245-71 | | Статус: | действует | | Название рус.: | Прокладки уплотнительные резиновые. Конструкция и размеры | | Дата добавления в базу: | 01.09.2013 | | Дата актуализации: | 01.01.2021 | | Дата введения: | 01.06.1972 | | Область применения: | Стандарты распространяются на уплотнительные резиновые прокладки, предназначенные вместе с предохранительными заглушками для герметизации изделий со штуцерами на период их транспортирования и хранения. | | Оглавление: | Приложение Коды ОКП | | Утверждён: | 26.11.1971 Министерство (Ministry 087-16)
| | Чем заменён: | |
        
|