Скачать ГОСТ Р 52929-2008 Железнодорожный тяговый подвижной состав. Методы контроля тормозного пути и стояночного тормоза

Дата актуализации: 01.01.2021

ГОСТ Р 52929-2008

Железнодорожный тяговый подвижной состав. Методы контроля тормозного пути и стояночного тормоза

Обозначение: ГОСТ Р 52929-2008
Обозначение англ: GOST R 52929-2008
Статус:введен впервые
Название рус.:Железнодорожный тяговый подвижной состав. Методы контроля тормозного пути и стояночного тормоза
Название англ.:Railway traction stock. Methods of controlling braking distance and parking brake
Дата добавления в базу:01.09.2013
Дата актуализации:01.01.2021
Дата введения:01.01.2009
Область применения:Стандарт распространяется на тепловозы, электровозы и моторвагонный подвижной состав, эксплуатируемые на железнодорожном транспорте в Российской Федерации.
Оглавление:1 Область применения
2 Нормативные ссылки
3 Термины и определения
4 Общие положения
5 Требования к условиям проведения испытаний
   5.1 При контроле тормозного пути
   5.2 При контроле стояночного тормоза
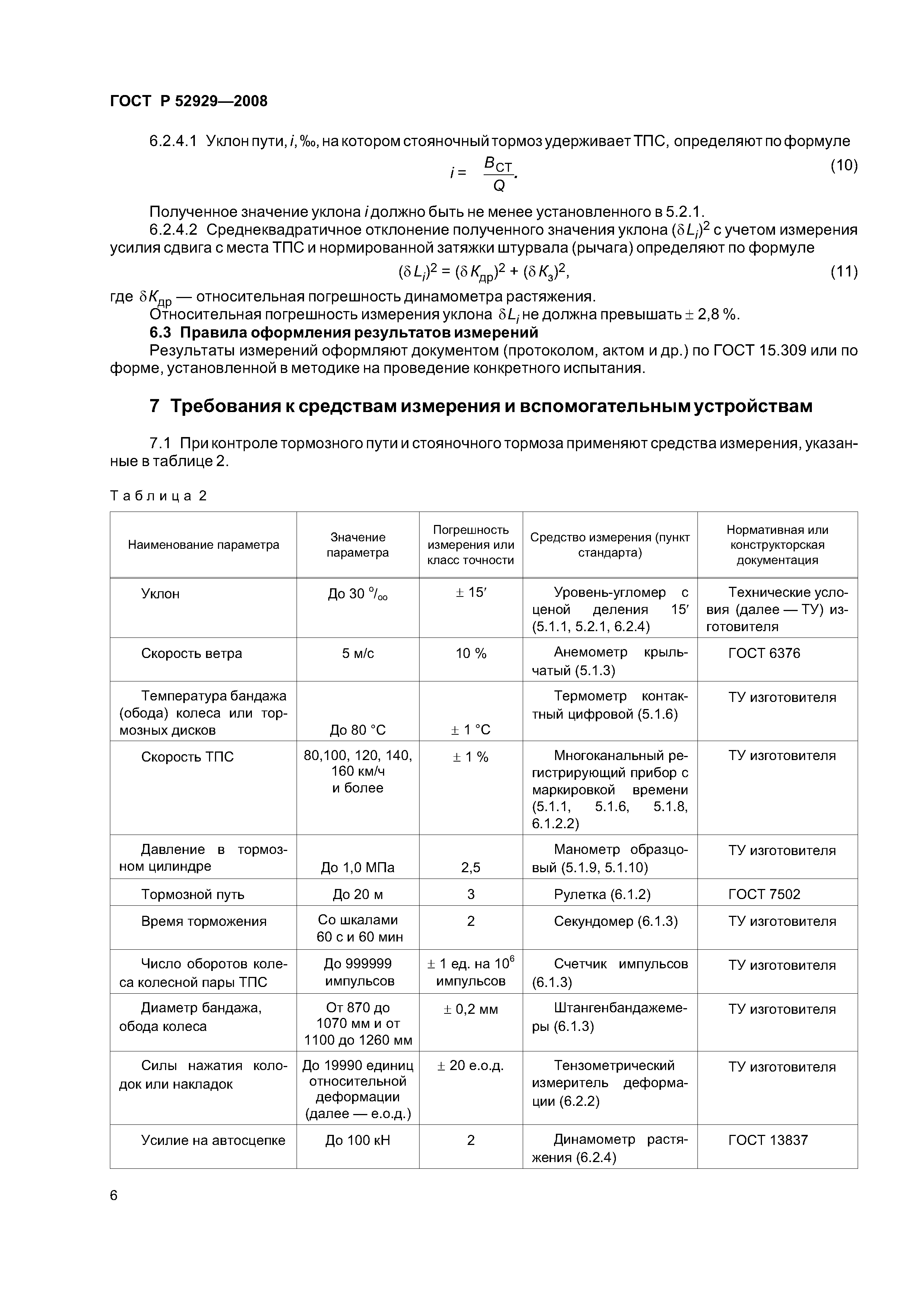
6 Методы контроля и правила обработки результатов измерений
   6.1 При контроле тормозного пути
   6.2 При контроле стояночного тормоза
   6.3 Правила оформления результатов измерений
7 Требования к средствам измерения и вспомогательным устройствам
8 Требования безопасности
Библиография
Разработан: ОАО ВНИКТИ
Утверждён:23.06.2008 Федеральное агентство по техническому регулированию и метрологии (125-ст)
Издан: Стандартинформ (2008 г. )
Нормативные ссылки:
ГОСТ Р 52929-2008ГОСТ Р 52929-2008ГОСТ Р 52929-2008ГОСТ Р 52929-2008ГОСТ Р 52929-2008ГОСТ Р 52929-2008ГОСТ Р 52929-2008ГОСТ Р 52929-2008ГОСТ Р 52929-2008ГОСТ Р 52929-2008ГОСТ Р 52929-2008