Скачать ГОСТ Р ИСО 10328-2007 Протезирование. Испытания конструкции протезов нижних конечностей. Требования и методы испытанийДата актуализации: 01.01.2021
|
| Обозначение: | ГОСТ Р ИСО 10328-2007 |
| Обозначение англ: | GOST R ISO 10328-2007 |
| Статус: | действует |
| Название рус.: | Протезирование. Испытания конструкции протезов нижних конечностей. Требования и методы испытаний |
| Название англ.: | Prosthetics. Structural testing of lower-limb prostheses. Requirements and test methods |
| Дата добавления в базу: | 01.09.2013 |
| Дата актуализации: | 01.01.2021 |
| Дата введения: | 01.01.2009 |
| Область применения: | Стандарт пригоден для оценки соответствия протезных устройств нижних конечностей требованиям прочности, установленным в ИСО 22523. Стандарт не пригоден для использования в качестве руководства при назначении конкретного протезного устройства нижней конечности индивидуального изготовления. Стандарт устанавливает статические и циклические испытания на прочность протезных устройств нижних конечностей, при которых сложные нагружения воспроизводят приложением единственной испытательной силы. Сложные нагрузки на испытываемый образец соответствуют пиковым значениям нагрузок, которые обычно возникают в различные моменты фазы опоры при ходьбе. |
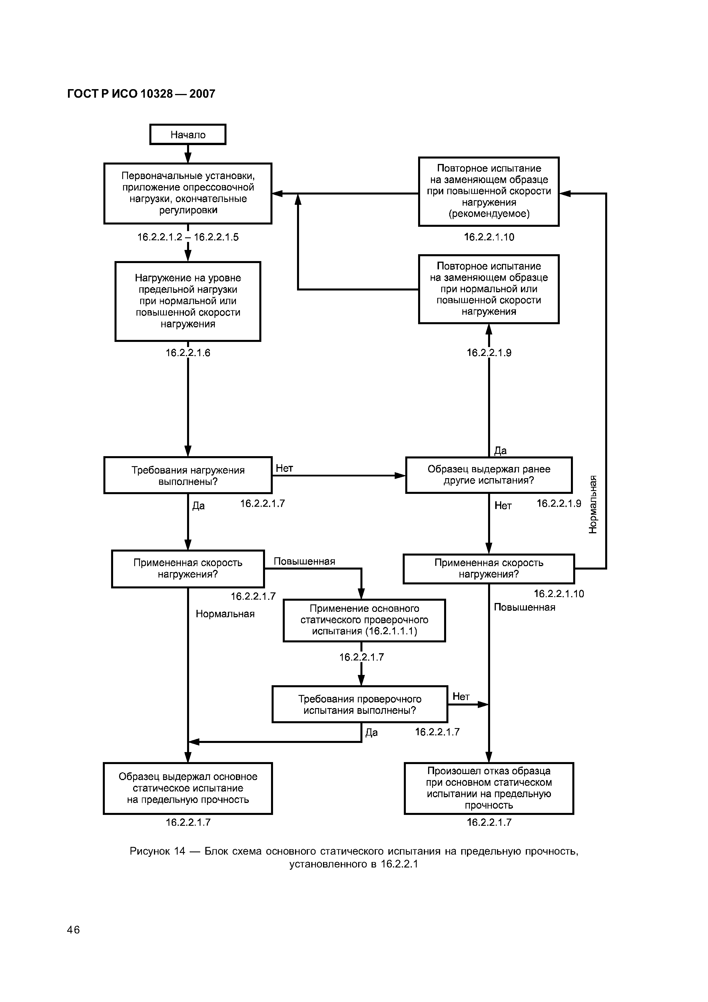
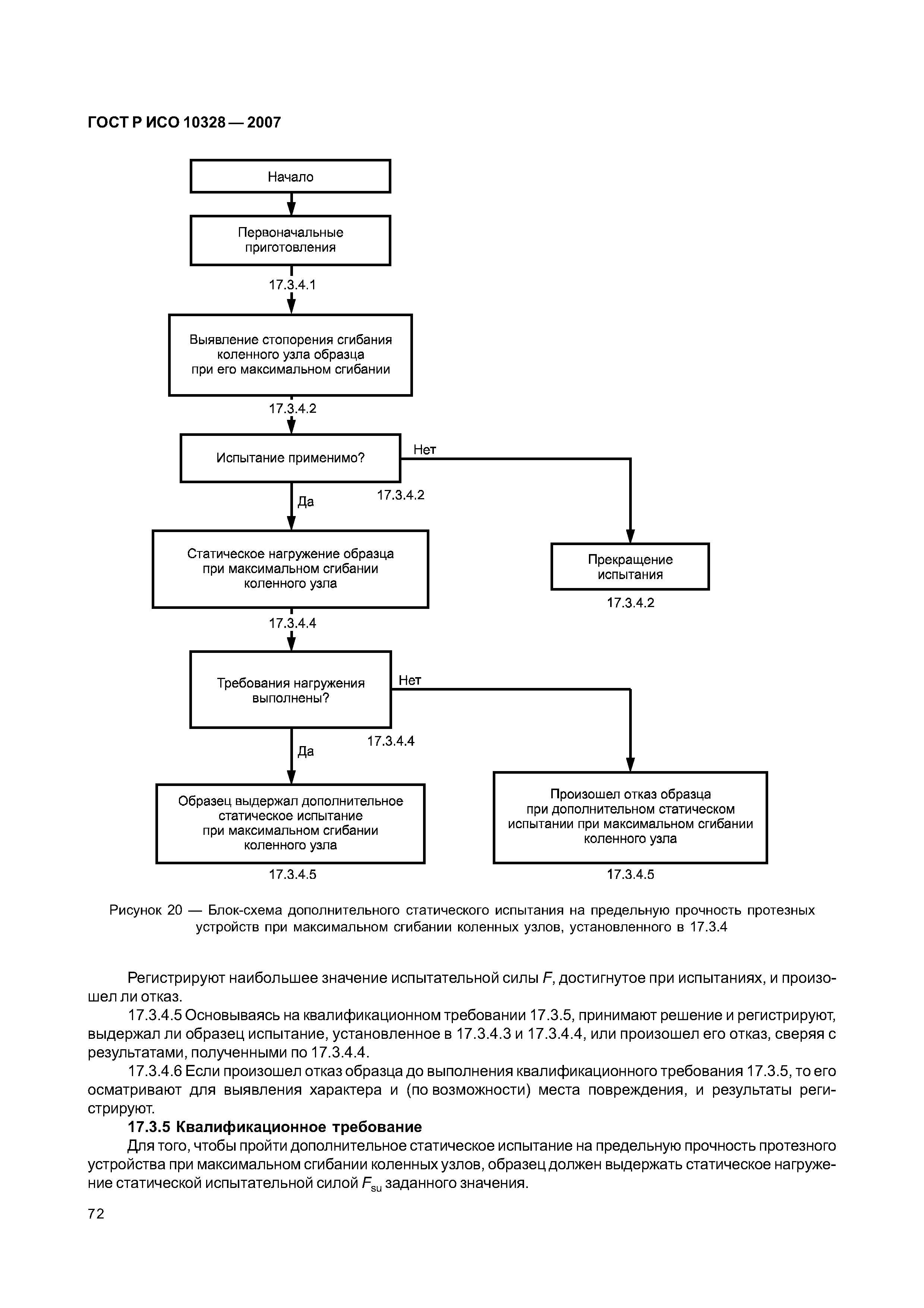
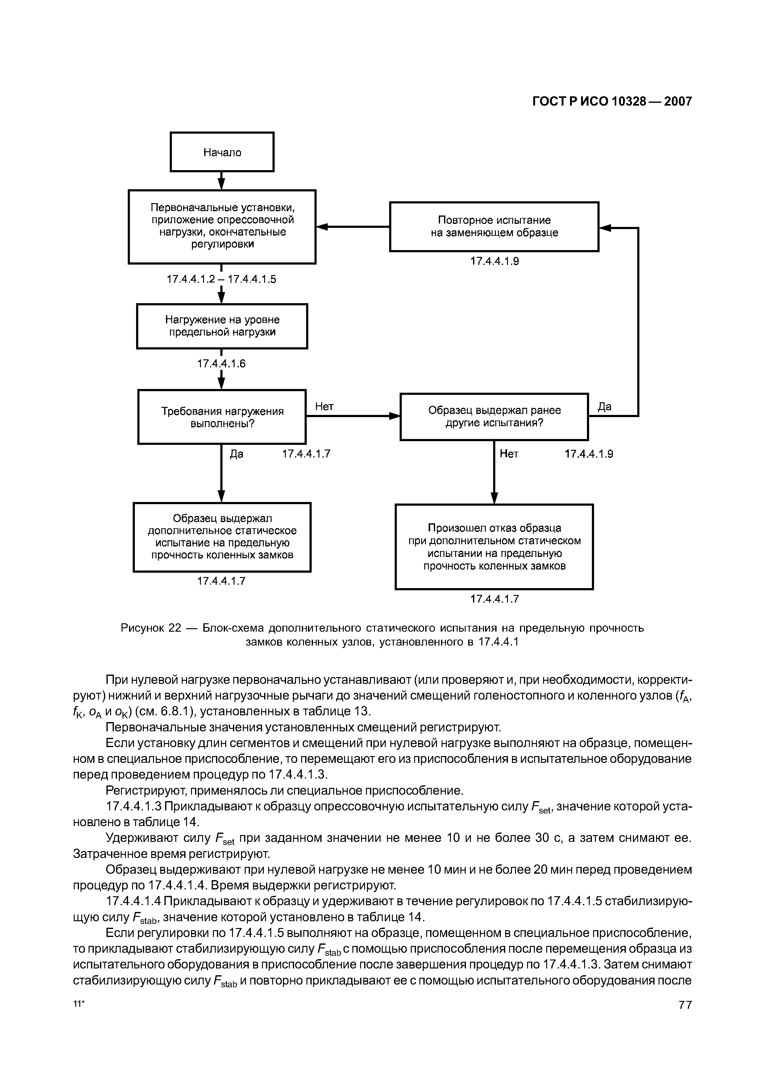
| Оглавление: | 1 Область применения 2 Нормативные ссылки 3 Термины и определения 4 Наименования и обозначения испытательных сил и крутящих моментов 5 Прочность и соответствующие квалификационные требования и условия их применения 6 Системы координат и схемы нагружения 6.1 Общие положения 6.2 Оси системы координат 6.3 Базовые плоскости 6.3.1 Общие положения 6.3.2 Верхняя базовая плоскость Т 6.3.3 Коленная базовая плоскость К 6.3.4 Голеностопная базовая плоскость А 6.3.5 Нижняя базовая плоскость В 6.4 Базовые точки 6.5 Испытательная сила 6.6 Линия нагружения 6.7 Центральная линия узла стопы, действительные центры узлов и центральные линии 6.7.1 Общие положения 6.7.2 Центральная линия узла стопы 6.7.3 Действительный центр голеностопного узла 6.7.4 Действительная центральная линия голеностопного узла 6.7.5 Действительная центральная линия коленного узла 6.7.6 Действительный центр коленного узла 6.8 Базовые расстояния 6.8.1 Смещения 6.8.2 Комбинированные смещения 6.8.3 Действительные плечи рычагов LA и LК 6.8.4 Расстояние LBT 7 Условия нагружения и уровни нагрузки при испытаниях. 7.1 Условия нагружения 7.1.1 Общие положения 7.1.2 Условия нагружения при основных испытаниях на прочность 7.1.3 Условия нагружения при дополнительных испытаниях на прочность 7.2 Уровни нагрузки 8 Значения испытательных нагрузок, размеров и циклов 9 Соответствие 9.1 Общие положения 9.2 Выбор испытаний, требуемых для подтверждения соответствия требованиям настоящего стандарта 9.3 Соглашения по испытаниям образцов протезных устройств, включающих в себя голеностопные узлы или узлы стоп, для подтверждения соответствия требованиям настоящего стандарта 9.3.1 Общие положения 9.3.2 Частные соглашения, касающиеся голеностопного узла или узла стопы 9.3.3 Частные соглашения и требования к элементу соединения голеностопного узла или узла стопы с остальной частью протезного устройства 9.4 Число испытаний и образцов, требуемых для подтверждения соответствия требованиям настоящего стандарта 9.5 Многократное использование образцов 9.5.1 Общие положения 9.5.2 Ограничение 9.6 Проведение испытаний на специальных уровнях нагрузки, не установленных настоящим стандартом 10 Испытываемые образцы 10.1 Отбор образцов 10.1.1 Общие положения 10.1.2 Отбор голеностопных узлов и узлов стоп 10.2 Типы образцов 10.2.1 Полная конструкция 10.2.2 Частичная конструкция 10.2.3 Любая другая конструкция 10.3 Подготовка образцов 10.4 Обозначение образцов 10.5 Установка образцов 10.5.1 Образцы для основных испытаний и дополнительных испытаний замков коленных узлов 10.5.2 Образцы для дополнительных испытаний голеностопных узлов и узлов стоп 10.5.3 Образцы для дополнительных статических испытаний на предельную прочность протезных устройств при максимальном сгибании коленных узлов 10.5.4 Образцы для дополнительных испытаний замков коленных узлов 10.6 Наихудшее положение образца при его установке 11 Ответственность за подготовку испытаний 12 Сопроводительный документ на испытания 12.1 Общие требования 12.2 Требуемая информация об образцах 12.2.1 Для всех образцов 12.2.2 Образцы для испытаний голеностопных узлов и узлов стоп 12.2.3 Образцы для статических испытаний на предельную прочность протезных устройств при максимальном сгибании коленных узлов 12.3 Информация, требуемая для испытаний 12.3.1 Общие требования 12.3.2 Для всех испытаний 12.3.3 Для статических испытаний на кручение голеностопных узлов и узлов стоп 12.3.4 Для статических испытаний на предельную прочность 12.3.5 Для циклических испытаний 12.3.6 Для испытаний на кручение 12.3.7 Для испытаний голеностопных узлов и узлов стоп 13 Оборудование 13.1 Общие требования 13.2 Оборудование для основных испытаний, установленных в 16.2 и 16.3 13.2.1 Концевые крепления 13.2.2 Приспособление (рекомендуемое) 13.2.3 Испытательное оборудование 13.3 Оборудование для дополнительного статического испытания на кручение, установленного в 17.1 13.4 Оборудование для дополнительных испытаний голеностопных узлов и узлов стоп, установленных в 17.2 13.5 Оборудование для дополнительного статического испытания на предельную прочность протезных устройств при максимальном сгибании коленных узлов, установленного в 17.3 13.5.1 Удлинители 13.5.2 Испытательное оборудование для статического нагружения на сжатие 13.6 Оборудование для дополнительных испытаний замков коленных узлов, установленных в 17.4 13.6.1 Концевые крепления 13.6.2 Приспособление (рекомендуемое) 13.6.3 Испытательное оборудование 14 Точность 14.1 Общие положения 14.2 Точность оборудования 14.3 Погрешность измерения 15 Концепция испытаний 15.1 Основные положения 15.2 Статические испытания 15.3 Циклические испытания 16 Основные испытания на прочность 16.1 Требования к нагружению 16.1.1 Подготовка к нагружению 16.1.2 Применение нагружения 16.2 Основные статические испытания 16.2.1 Основное статическое проверочное испытание 16.2.2 Основное статическое испытание на предельную прочность 16.3 Основное циклическое испытание 16.3.1 Общие требования 16.3.2 Метод испытания 16.3.3 Квалификационные требования 16.3.4 Условия соответствия 17 Дополнительные испытания на прочность 17.1Дополнительное статическое испытание на кручение 17.1.1 Общие положения 17.1.2 Цель испытания 17.1.3 Метод испытания 17.1.4 Квалификационные требования 17.1.5 Условия соответствия 17.2 Дополнительные испытания голеностопных узлов и узлов стоп 17.2.1 Общие положения 17.2.2 Цель испытаний 17.2.3 Дополнительное статическое проверочное испытание голеностопных узлов и узлов стоп 17.2.4 Дополнительное статическое испытание на предельную прочность голеностопных узлов и узлов стоп 17.2.5 Дополнительное циклическое испытание голеностопных узлов и узлов стоп 17.3 Дополнительное статическое испытание на предельную прочность протезных устройств при максимальном сгибании коленных узлов 17.3.1 Общие положения 17.3.2 Цель испытания 17.3.3 Применимость испытания к конкретным образцам 17.3.4 Метод испытания 17.3.5 Квалификационное требование 17.3.6 Условия соответствия 17.4 Дополнительные испытания замков коленных узлов 17.4.1 Общие положения 17.4.2 Цель испытаний 17.4.3 Дополнительное статическое проверочное испытание замков коленных узлов 17.4.4 Дополнительное статическое испытание на предельную прочность замков коленных узлов 17.4.5 Дополнительное циклическое испытание замков коленных узлов 18 Журнал испытательной лаборатории/центра 18.1 Общие требования 18.2 Специальные требования 19 Отчет об испытаниях 19.1 Общие требования 19.2 Специальные требования 19.3 Дополнительные требования 20 Классификация и обозначение 20.1 Общие положения 20.2 Примеры классификации и обозначения 21 Маркировка 21.1 Общие положения 21.2 Применение знака «*)» и предупреждающего знака 21.3 Образцы этикеток 21.4 Размещение этикетки Приложение А (рекомендуемое) Описание внутренних нагрузок и их воздействия Приложение В (рекомендуемое) Исходные данные для определения условий нагружения и уровней нагрузки при основных циклических испытаниях Приложение С (рекомендуемое) Указания по применению альтернативного статического испытания на предельную прочность Приложение D (рекомендуемое) Указания по применению дополнительного уровня нагрузки Р6 Приложение Е (рекомендуемое) Данные, подлежащие включению в журнал испытательной лаборатории/центра Приложение F (справочное) Исходная информация о профилях нагружения, создаваемых испытательным оборудованием, соответствующим 13.4.1.2, при дополнительных циклических испытаниях голеностопных узлов и узлов стоп, соответствующих 17.2.5.1 Приложение G (справочное) Основные принципы обеспечения безопасности протезных устройств нижних конечностей как медицинских изделий Приложение Н (справочное) Сведения о соответствии национальных стандартов Российской Федерации ссылочным международным стандартам Библиография |
| Разработан: | ФГУП СТАНДАРТИНФОРМ |
| Утверждён: | 27.12.2007 Федеральное агентство по техническому регулированию и метрологии (549-ст) |
| Издан: | Стандартинформ (2009 г. ) |
| Заменяет собой: |
|
| Нормативные ссылки: |

























































































































