Скачать Межрегиональный сборник индексов пересчета сметной стоимости строительно-монтажных работ по субъектам Российской Федерации на III квартал 2008 г.Дата актуализации: 01.01.2021
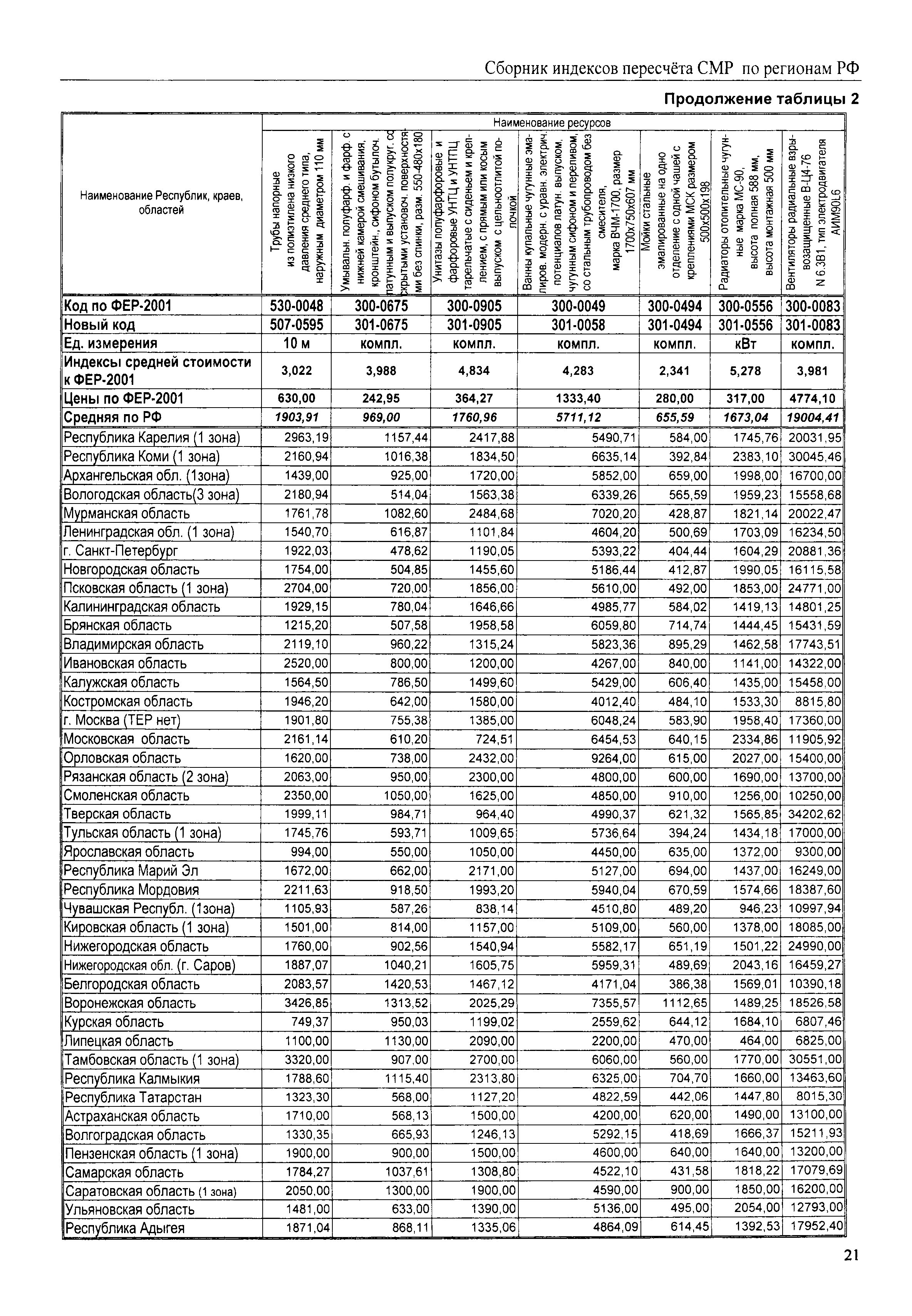
Межрегиональный сборник индексов пересчета сметной стоимости строительно-монтажных работ по субъектам Российской Федерации на III квартал 2008 г.| Статус: | не действует | | Название рус.: | Межрегиональный сборник индексов пересчета сметной стоимости строительно-монтажных работ по субъектам Российской Федерации на III квартал 2008 г. | | Дата добавления в базу: | 01.09.2013 | | Дата актуализации: | 01.09.2013 | | Область применения: | В сборнике приведены сводные таблицы текущих (III квартал 2008 г.) региональных цен на основные ресурсы, применяемые в строительстве, региональные индексы пересчета базисной стоимости строительно-монтажных работ, определяемой с использованием сборников новой сметно-нормативной базы (ФЕР-2001, ТЕР-2001), в территориальный текущий уровень. Индексы разработаны по единой методике, на основании отчетных данных региональных органов по ценообразованию в строительстве о стоимости строительных ресурсов, применяемых в регионе. | | Оглавление: | Общая часть Техническая часть (к таблицам 1, 2, 3, 4) Цены на строительную продукцию в III квартале 2008 г. Анализ роста индексов и стоимости 1 м2 по субъектам Российской Федерации в III квартале 2008 г. – таблица А Расчетная стоимость 1 м2 общей площади квартир и индексы изменения стоимости строительства по субъектам Российской Федерации за III квартал 2008 г. – Таблица 1 Сметная стоимость строительных ресурсов (без НДС) в руб. - Таблица 2 Индексы на отдельные виды ресурсов (к заложенным в ФЕР-2001) - Таблица 3 Индексы роста стоимости строительных ресурсов к предыдущему кварталу - Таблица 4 Региональные индексы к ФЕР-2001 и ТЕР-2001 по основным видам объектов строительства - Таблица 5 Региональные индексы изменения стоимости строительно-монтажных работ по отдельным видам объектов строительства Индексы на технологическое оборудование за III квартал 2008 г. Индексы на прочие работы и затраты за III квартал 2008 г. |
                                                                                                        
|