Скачать ОСТ 1 11742-74 Болты с уменьшенной потайной головкой углом 90 градусов, с полем допуска диаметра стержня p6 и короткой резьбовой частью, из титанового сплава. Конструкция и размерыДата актуализации: 01.01.2021 ОСТ 1 11742-74
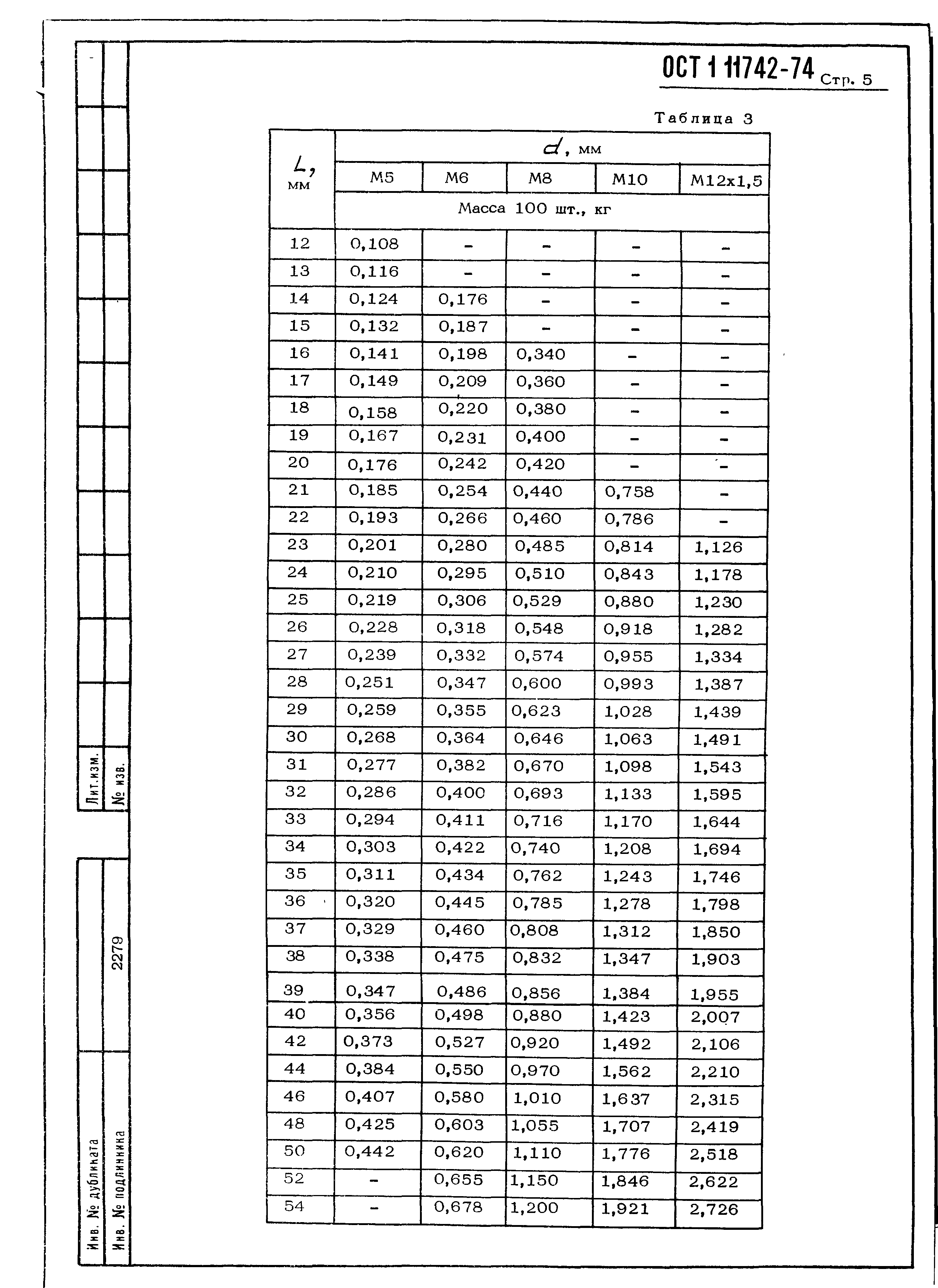
Болты с уменьшенной потайной головкой углом 90 градусов, с полем допуска диаметра стержня p6 и короткой резьбовой частью, из титанового сплава. Конструкция и размеры| Обозначение: | ОСТ 1 11742-74 | | Обозначение англ: | 11742-74 | | Статус: | введен впервые | | Название рус.: | Болты с уменьшенной потайной головкой углом 90 градусов, с полем допуска диаметра стержня p6 и короткой резьбовой частью, из титанового сплава. Конструкция и размеры | | Дата добавления в базу: | 01.09.2013 | | Дата актуализации: | 01.01.2021 | | Дата введения: | 01.07.1975 | | Область применения: | Стандарт распространяется на болты с уменьшенной потайной головкой углом 90 градусов, с полем допуска диаметра стержня p6 и короткой резьбовой частью, из титанового сплава, предназначенные для эксплуатации в соединениях, работающих на срез при температуре: до 130 °С без ограничения ресурса, до 200 °С, ресурс не более 1000 часов, до 300 °С, ресурс не более 200 часов. | | Утверждён: | 18.12.1974 Министерство (Ministry 087-16)
|
       
|