Скачать Временный порядок формирования начальной (максимальной) цены государственного контракта при размещении заказа на капитальное строительство, реконструкцию, капитальный ремонт объектовДата актуализации: 01.01.2021
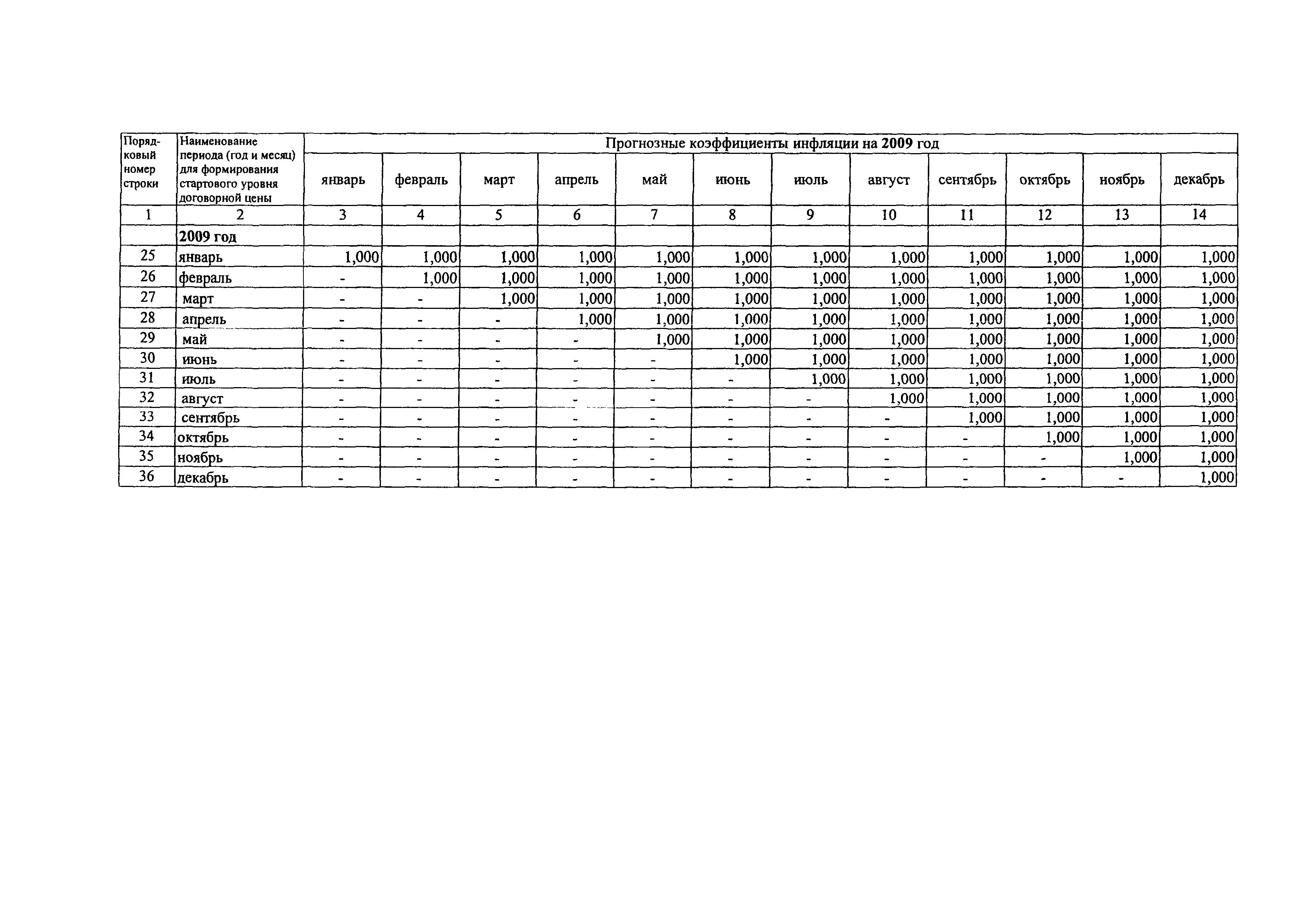
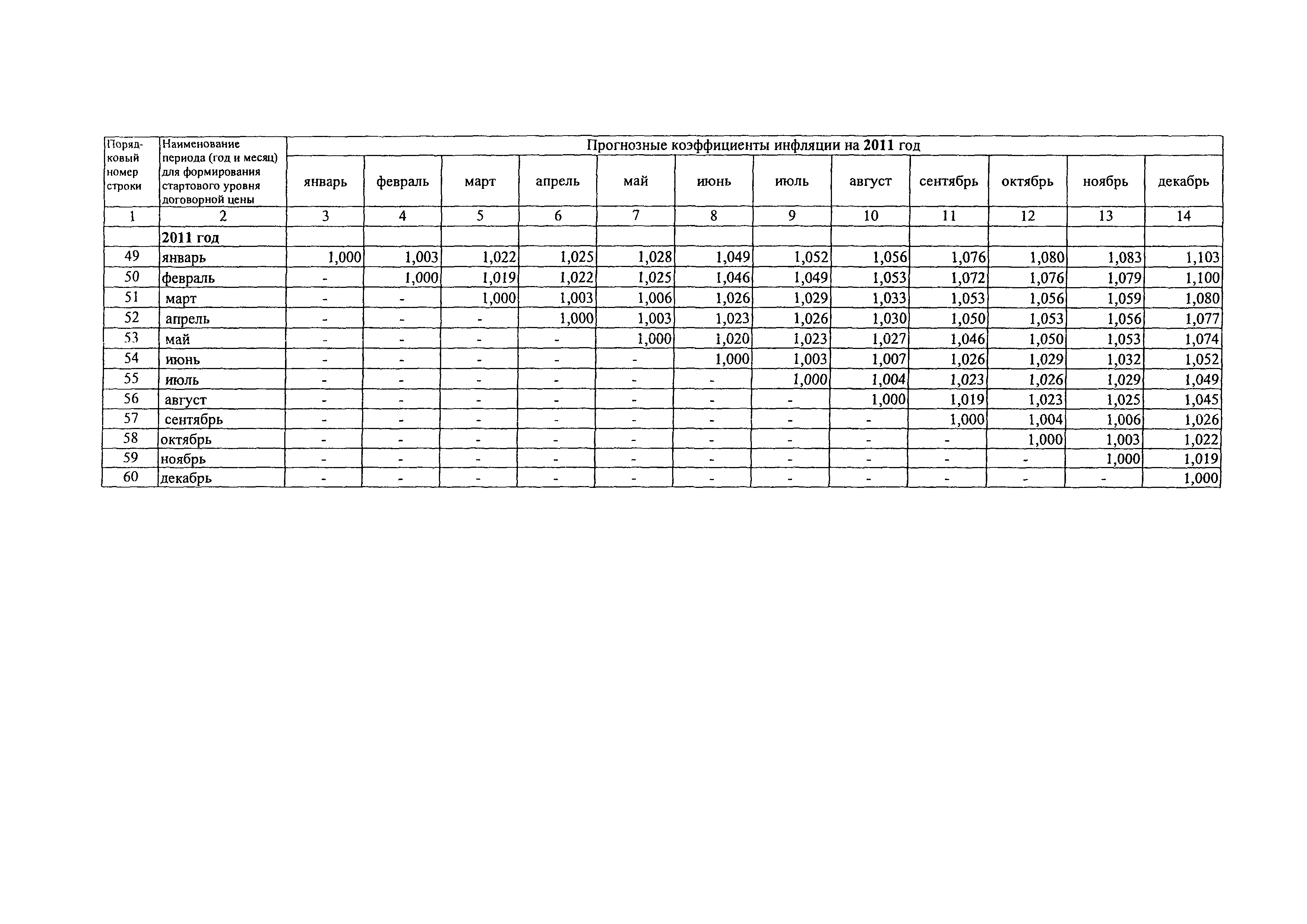
Временный порядок формирования начальной (максимальной) цены государственного контракта при размещении заказа на капитальное строительство, реконструкцию, капитальный ремонт объектов| Статус: | действует | | Название рус.: | Временный порядок формирования начальной (максимальной) цены государственного контракта при размещении заказа на капитальное строительство, реконструкцию, капитальный ремонт объектов | | Дата добавления в базу: | 01.09.2013 | | Дата актуализации: | 01.01.2021 | | Область применения: | Временный порядок предназначен для применения государственными заказчиками при формирования начальной (максимальной) цены государственного контракта при размещении заказа на капитальное строительство, реконструкцию, капитальный ремонт объектов, финансируемых из бюджета города Москвы | | Оглавление: | Приложение Прогнозные коэффициенты инфляции на 2009-2011 годы (с фактическими коэффициентами инфляции за 2007 и 2008 годы) Таблица 1 Прогнозные коэффициенты инфляции на 2009 год Таблица 2 Прогнозные коэффициенты инфляции на 2010 год Таблица 3 Прогнозные коэффициенты инфляции на 2011 год | | Утверждён: | 16.02.2009 Департамент экономической политики и развития города Москвы (City of Moscow Department of Economic Policy and Development ДПР/9-3/3-121)
| | Нормативные ссылки: | |
         
|