Скачать ГОСТ Р 53135-2008 Посадочный материал плодовых, ягодных, субтропических, орехоплодных, цитрусовых культур и чая. Технические условияДата актуализации: 01.01.2021
|
| Обозначение: | ГОСТ Р 53135-2008 |
| Обозначение англ: | GOST R 53135-2008 |
| Статус: | введен впервые |
| Название рус.: | Посадочный материал плодовых, ягодных, субтропических, орехоплодных, цитрусовых культур и чая. Технические условия |
| Название англ.: | Planting material of fruit, subtropical, nut-bearing, citrus cultures and tea. Specifications |
| Дата добавления в базу: | 01.09.2013 |
| Дата актуализации: | 01.01.2021 |
| Дата введения: | 01.01.2010 |
| Область применения: | Стандарт распространяется на посадочный материал (подвои, черенки, саженцы, рассаду) плодовых, ягодных, субтропических, орехоплодных, цитрусовых культур и чая, предназначенный для реализации в торговой сети и для промышленного использования. |
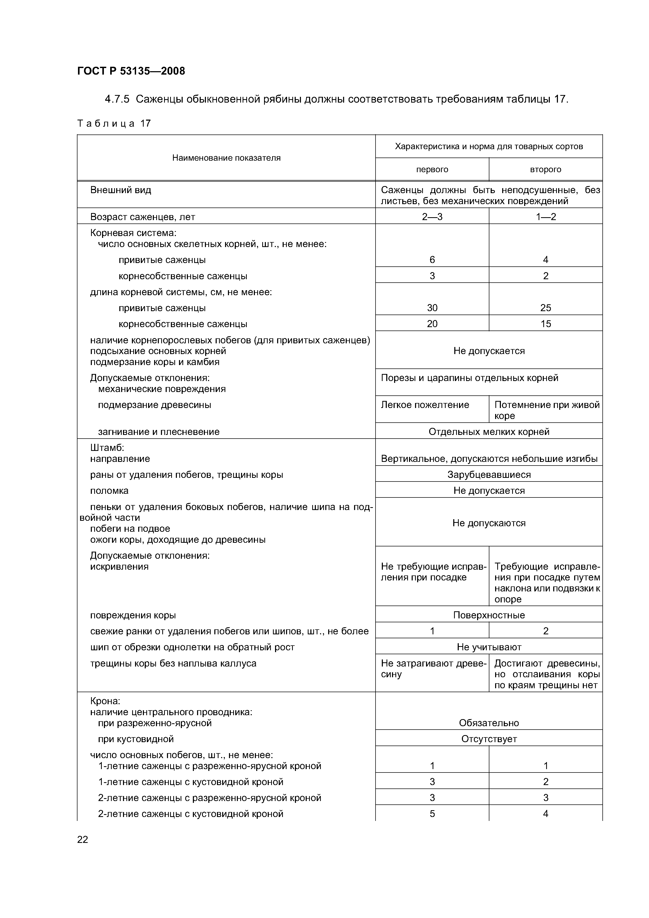
| Оглавление: | 1 Область применения............................................1 2 Нормативные ссылки 3 Термины и определения 4 Технические требования 4.1 Общие технические требования к качеству посадочного материала 4.2 Требования к качеству семенных и вегетативно размножаемых подвоев плодовых культур 4.3 Требования к качеству черенков плодовых, ягодных культур и вегетативно размножаемых подвоев 4.4 Требования к качеству растений плодовых культур, получаемых методом зимних прививок 4.5 Требования к качеству саженцев плодовых культур с закрытой корневой системой 4.6 Требования к качеству саженцев плодовых культур 4.7 Требования к качеству саженцев смородины, крыжовника, малины, ежевики, черноплодной аронии, облепихи, калины, съедобной жимолости, обыкновенной рябины, кизила, актинидии, китайского лимонника 4.8 Требования к качеству рассады земляники 4.9 Требования к качеству саженцев субтропических культур (фейхоа, киви, унаби, восточной хурмы) 4.10 Требования к качеству саженцев орехоплодных культур - грецкого ореха, фундука (лещины) 4.11 Требования к качеству саженцев цитрусовых культур (мандарина, апельсина, лимона, грейпфрута, помпельмуса) 4.12 Требования к качеству вегетативно размноженных саженцев чая 4.13 Упаковка 4.14 Маркировка 5 Правила приемки 6 Методы контроля 7 Транспортирование и хранение 7.1 Транспортирование 7.2 Хранение 8 Требования безопасности и охраны окружающей среды Приложение А (справочное) Зоны садоводства России Библиография |
| Разработан: | ГНУ СКЗНИИСиВ Россельхозакадемии ФГУ Россельхозцентр ГНУ ВСТИСП ГНУ ВНИИС им. И.В. Мичурина ГНУ ВНИИЦиСК |
| Утверждён: | 18.12.2008 Федеральное агентство по техническому регулированию и метрологии (564-ст) |
| Издан: | Стандартинформ (2009 г. ) |
| Нормативные ссылки: |
|












































