Скачать ТЕРм 2001-12 СПб Технологические трубопроводы. Территориальные единичные расценки на монтаж оборудованияДата актуализации: 01.01.2021
|
| Обозначение: | ТЕРм 2001-12 СПб |
| Обозначение англ: | TERm 2001-12 СПб |
| Статус: | не действует |
| Название рус.: | Технологические трубопроводы. Территориальные единичные расценки на монтаж оборудования |
| Дата добавления в базу: | 01.09.2013 |
| Дата актуализации: | 01.01.2021 |
| Область применения: | Расценки для применения в Санкт-Петербурге в базисных ценах на 01 января 2000 года предназначены для определения затрат в сметной стоимости выполнения работ по монтажу технологических трубопроводов и составления сметных расчетов (смет), а также для расчетов за выполненные работы. ТЕРм отражают среднеотраслевой уровень затрат по принятой технике, технологии и организации работ на каждый вид монтажных работ и, в этой связи, могут применяться для определения сметной стоимости всеми заказчиками и подрядчиками независимо от их ведомственной подчиненности и организационно-правовой формы. Сборник содержит сметные расценки по монтажу технологических трубопроводов при строительстве новых, расширении, реконструкции и техническом перевооружении действующих предприятий, зданий и сооружений. |
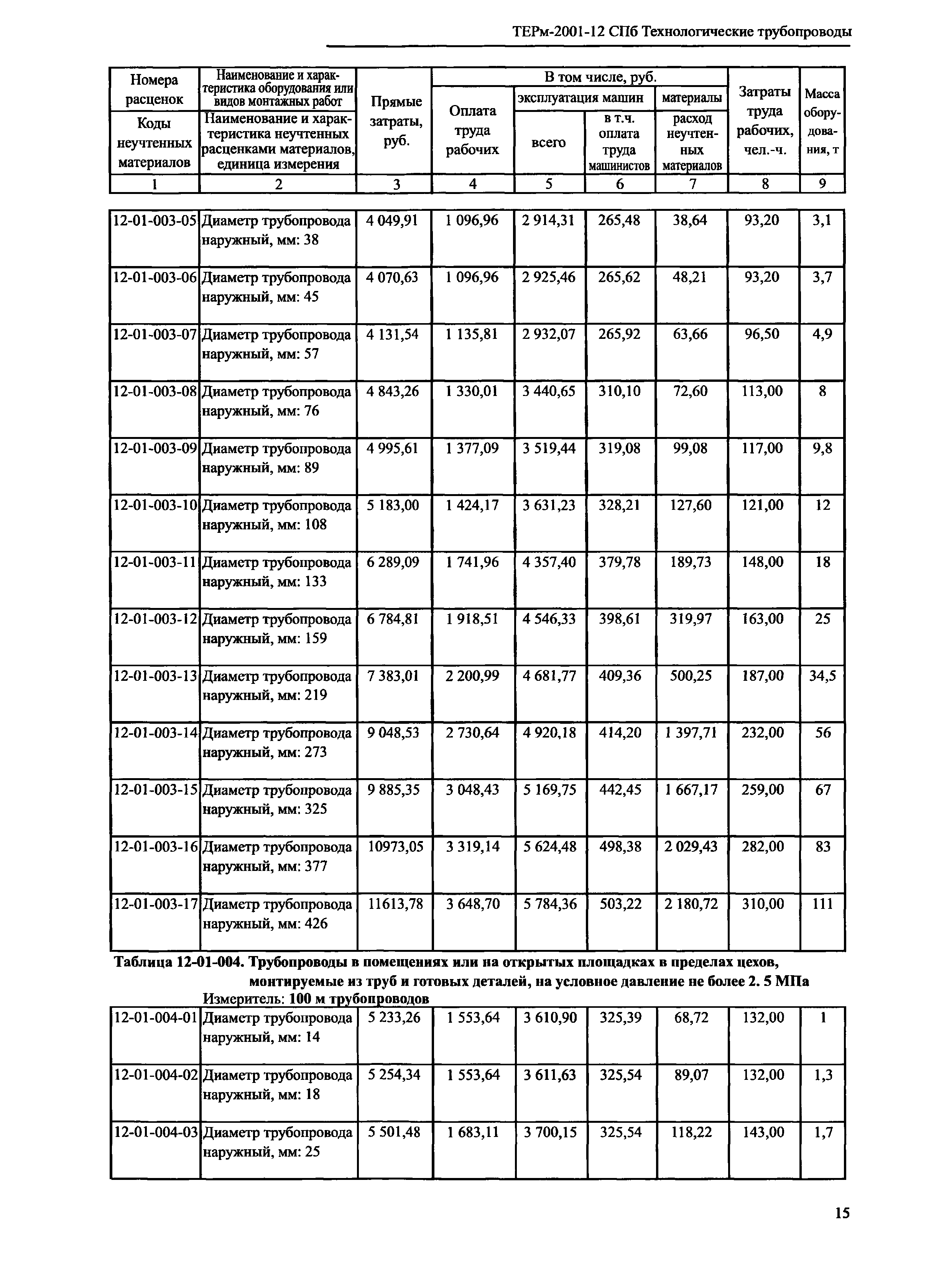
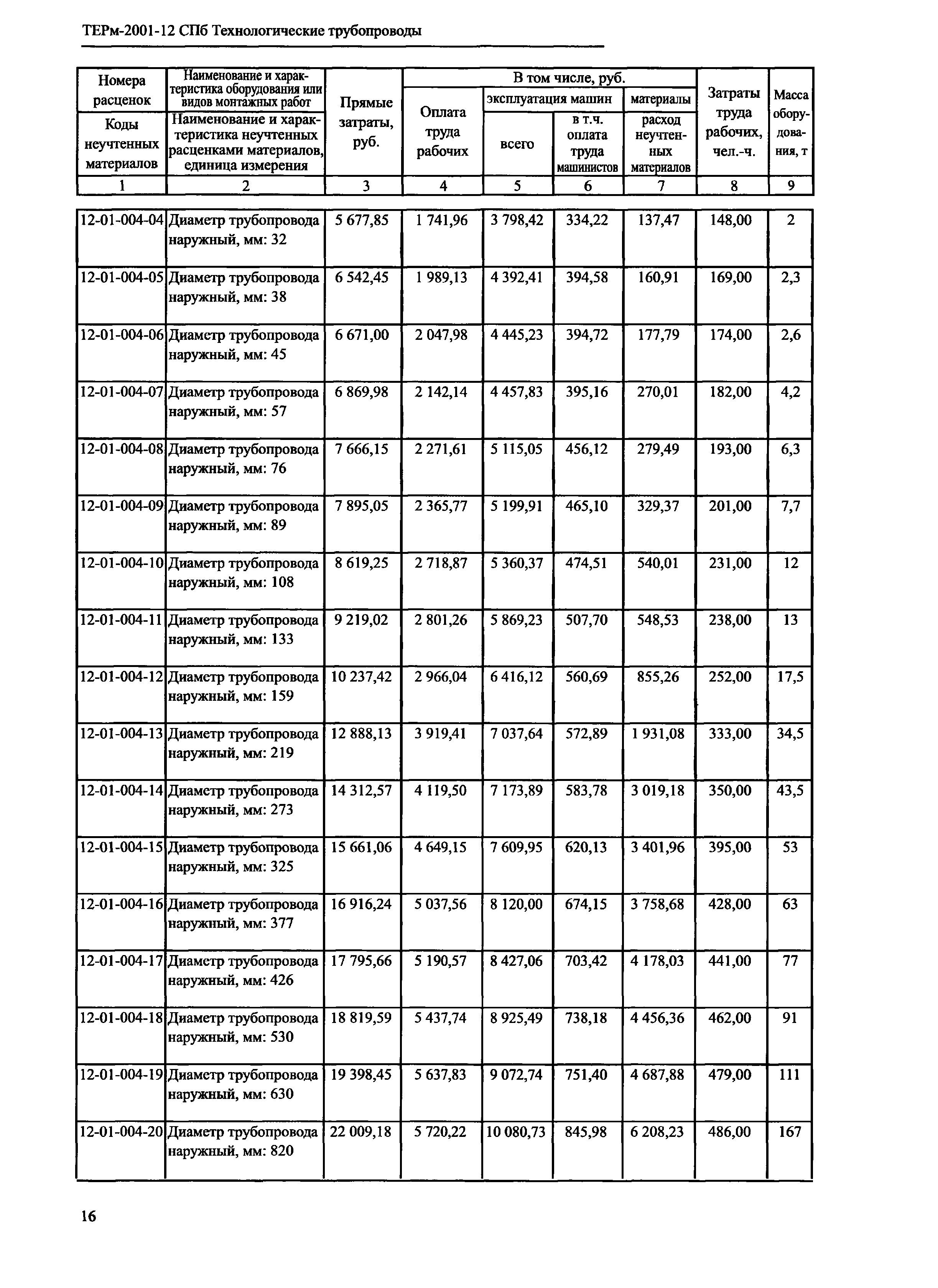
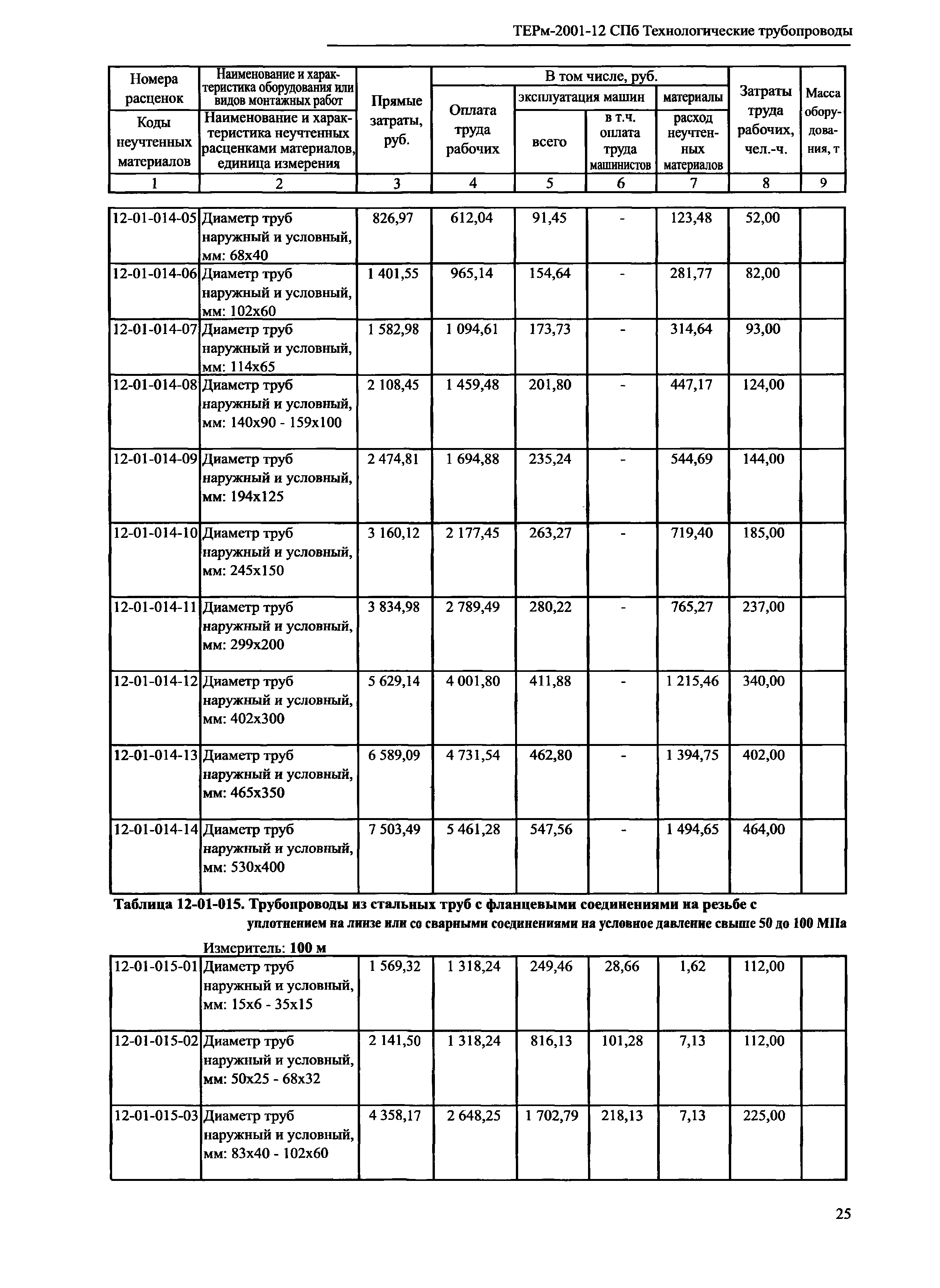
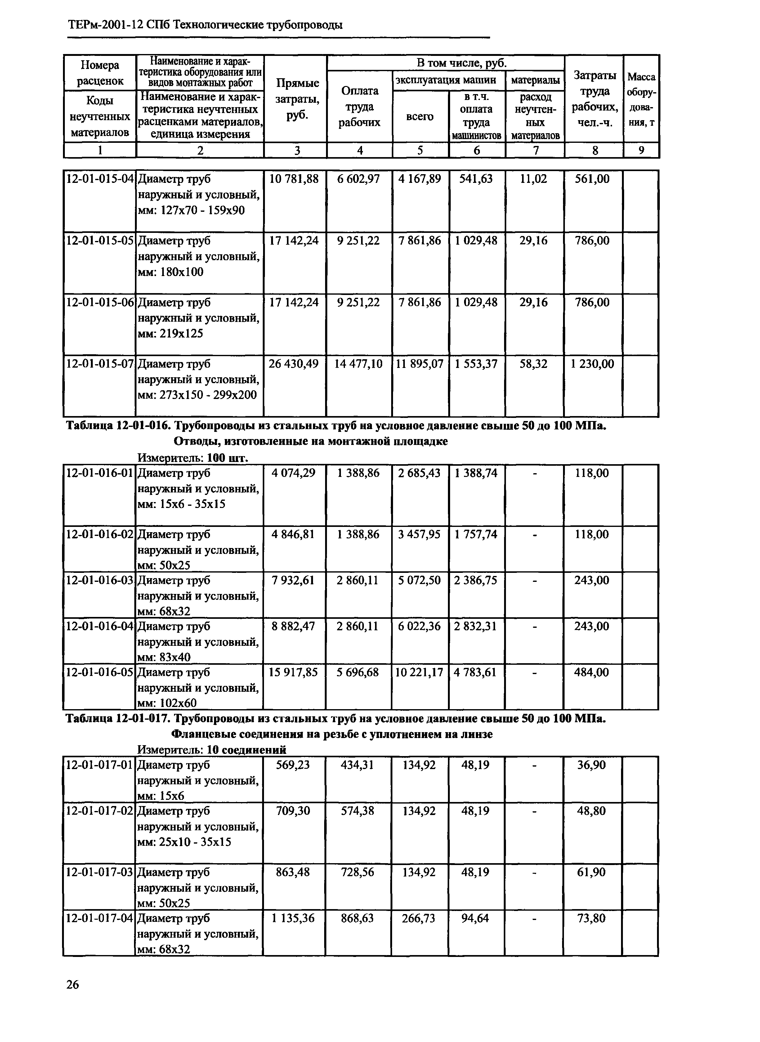
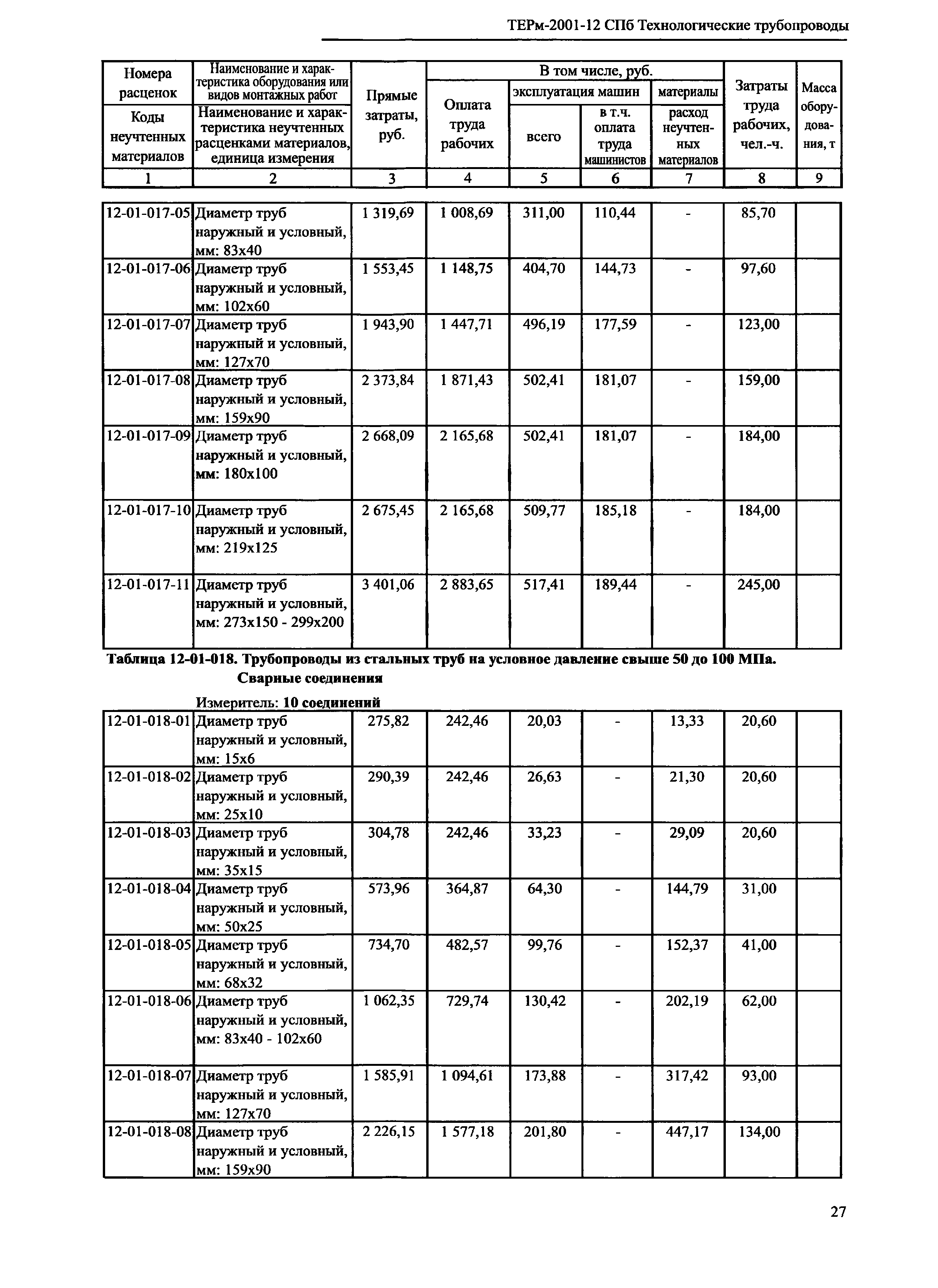
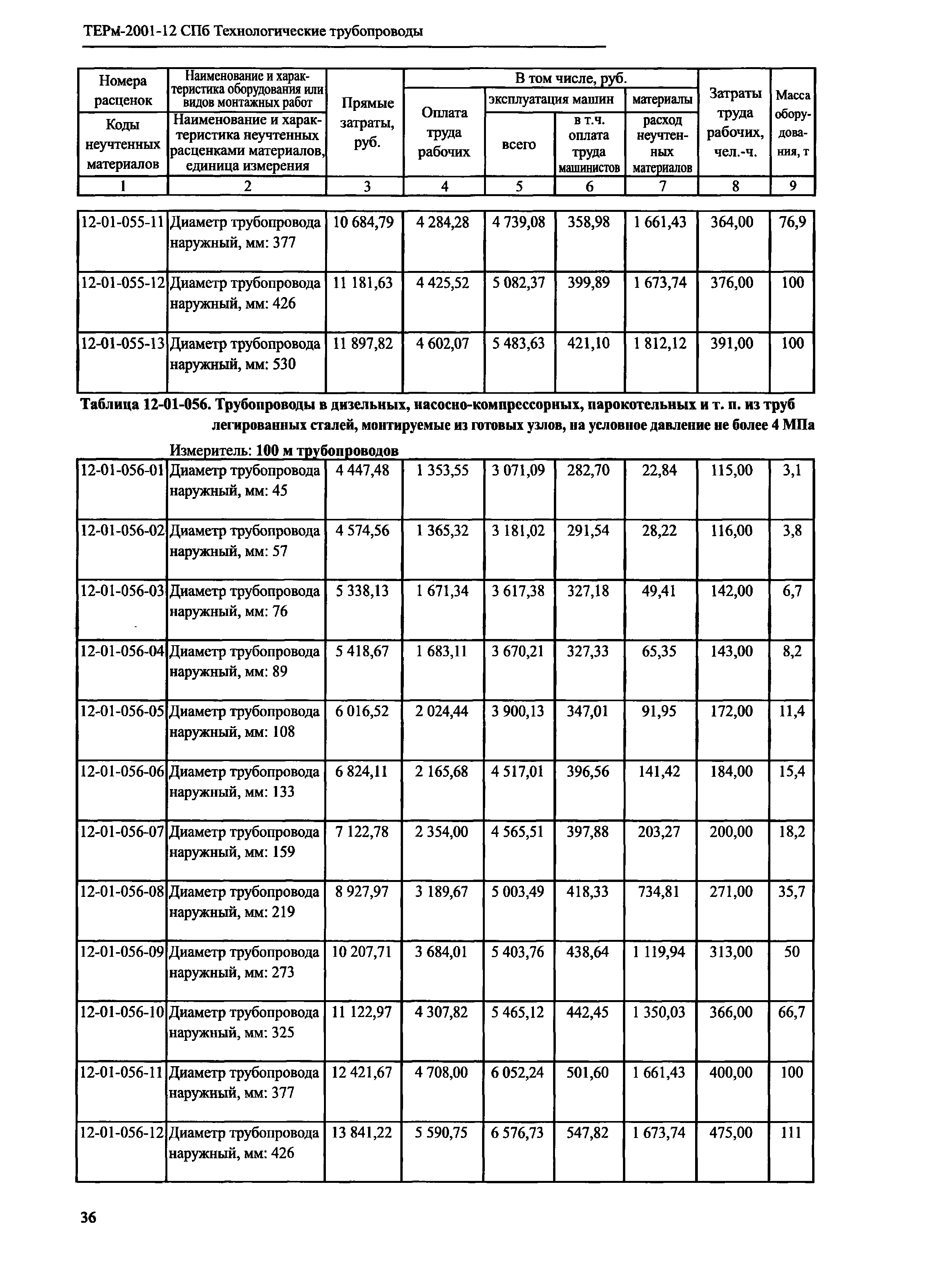
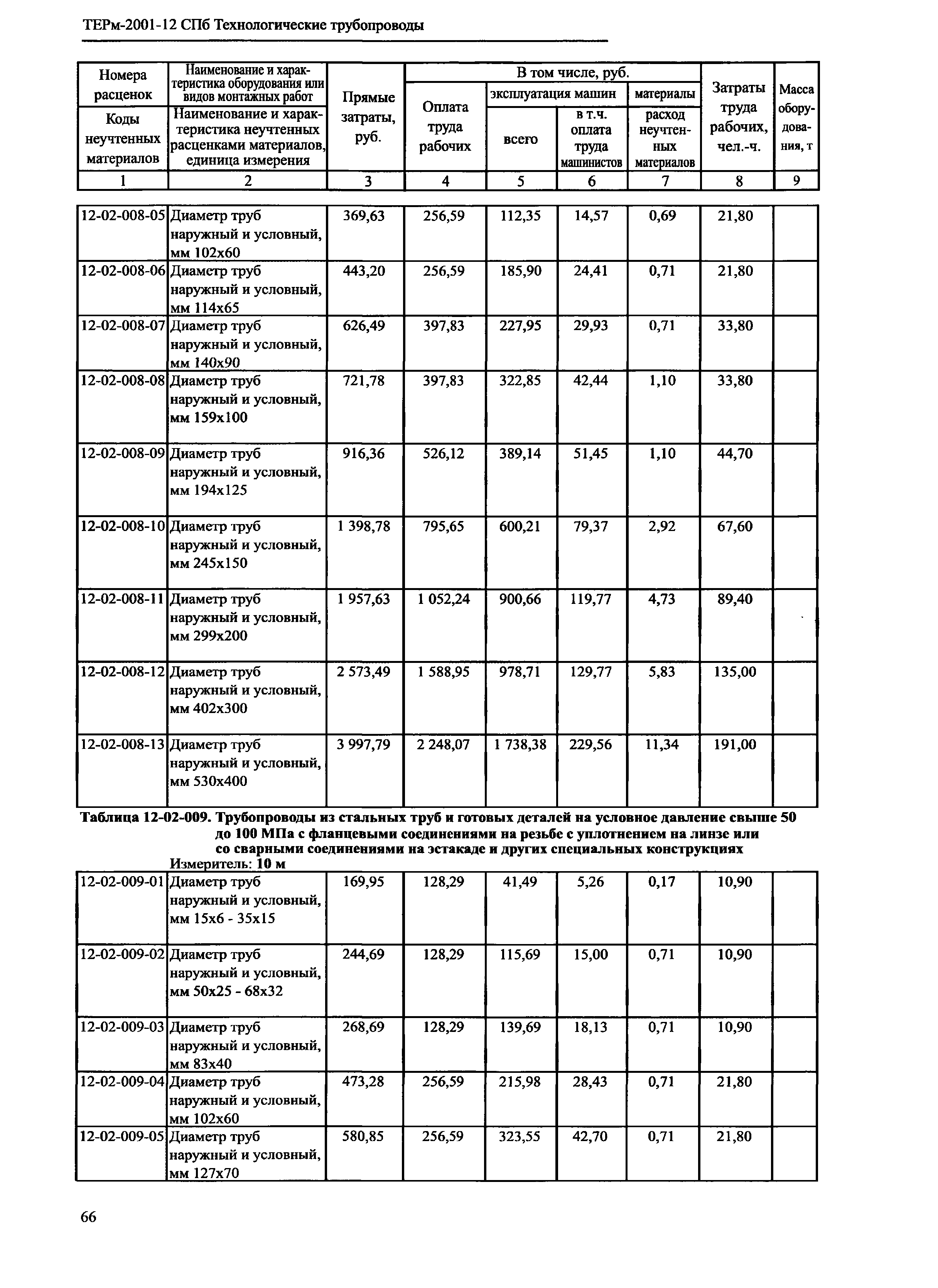
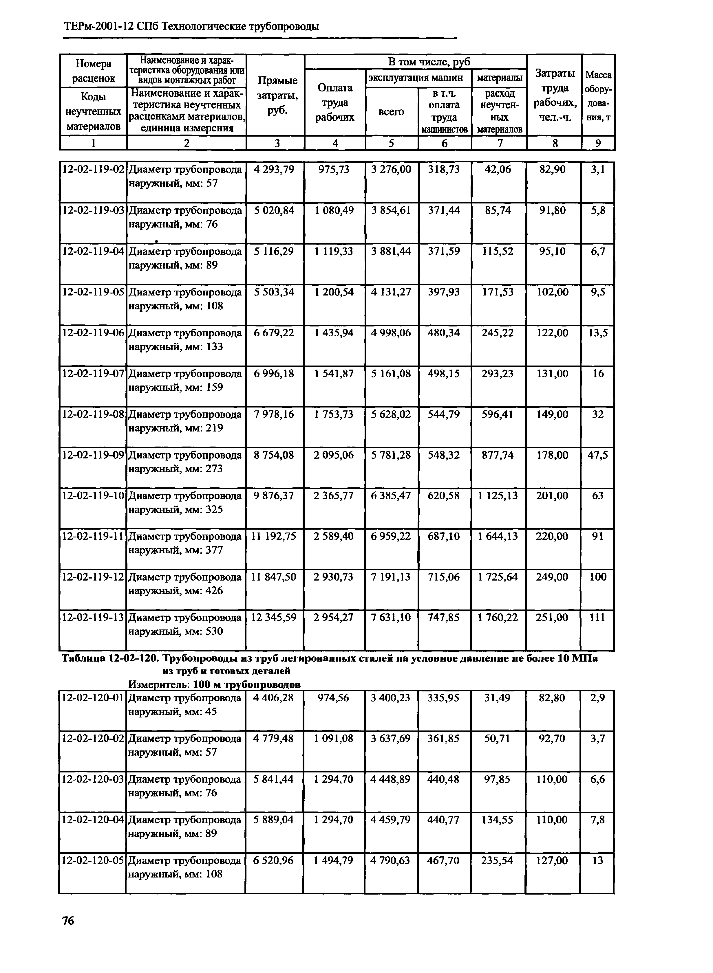
| Оглавление: | Техническое задание Приложение 1 Приложение 2 Отдел 01. Трубопроводы технологические цеховые Раздел 01. Трубопроводы из труб углеродистых и качественных сталей Раздел 02. Трубопроводы из труб легированных и высоколегированных сталей Раздел 03. Трубопроводы из алюминиевых труб Раздел 04. Трубопроводы из медных и латунных труб Раздел 05. Трубопроводы из свинцовых труб Раздел 06. Трубопроводы из чугунных труб Раздел 07. Трубопроводы из керамических и фарфоровых труб Раздел 08. Трубопроводы из пластмассовых труб Отдел 02. Трубопроводы технологические межцеховые Раздел 01. Трубопроводы из труб углеродистых и качественных сталей Раздел 02. Трубопроводы из алюминиевых труб Раздел 03. Трубопроводы из медных и латунных труб Раздел 04. Трубопроводы из свинцовых труб Раздел 05. Трубопроводы из чугунных труб Раздел 06. Трубопроводы из керамических и фарфоровых труб Раздел 07. Трубопроводы из пластмассовых труб Раздел 08. Трубопроводы из труб легированных и высоколегированных сталей Отдел 03. Трубопроводы внутристанционные тепловых электростанций Раздел 01. Трубопроводы из деталей Раздел 02. Трубопроводы из узлов и блоков сварных Отдел 04. Трубопроводы шахтные Раздел 01. Трубопроводы стальные в стволе шахты Раздел 02. Трубопроводы стальные в горизонтальных и наклонных выработках Раздел 03. Трубопроводы стальные водоотливных установок Раздел 04. Трубопроводы проходческие в стволе шахты Отдел 05. Трубопроводы молочных, молочно-консервных, маслодельных и сыродельных заводов на быстроразъемных соединениях Раздел 01. Трубопроводы молочных, молочно-консервных, маслодельных и сыродельных заводов на быстроразъемных соединениях Отдел 07. Трубные проводки систем автоматизации Раздел 01. Трубные проводки из труб углеродистых и низколегированных сталей Раздел 02. Трубные проводки из труб легированных и коррозионно-стойких сталей Раздел 03. Трубные проводки из труб цветных металлов Раздел 04. Трубные проводки из пластмассовых труб и пневматических кабелей, коробки соединительные для пневмокабелей КС-7 и КС-14 Отдел 08. Трубопроводы и арматура установок автоматического пожаротушения Отдел 09. Компенсаторы и смотровые фонари Раздел 01. Компенсаторы стальные линзовые и сальниковые Раздел 02. Компенсаторы волнистые из углеродистых качественных, легированных, коррозионно-стойких и жаростойких сталей Отдел 10. Закладные и отборные устройства систем автоматизации Раздел 01. Закладные устройства систем автоматизации Отдел 11. Разные работы, связанные с монтажом трубопроводов Отдел 12. Арматура общего назначения Раздел 01. Арматура фланцевая, приварная, муфтовая Раздел 02. Арматура газовой промышленности Раздел 03. Арматура аммиачная Отдел 13. Арматура тепловых электростанций Раздел 01. Арматура запорная, регулирующая и дросселирующая Раздел 02. Арматура предохранительная Раздел 03. Арматура водоподготовительных установок и химводоочисток Отдел 14. Арматура для кислородных установок Раздел 01. Вентили латунные Раздел 02. Вентили стальные Раздел 03. Задвижки стальные Раздел 04. Заслонки стальные Раздел 05. Клапаны латунные, стальные и чугунные Отдел 15. Приводы дистанционные Отдел 16. Трубопроводы систем пластичной смазки Отдел 17. Маслопроводы оборудования тепловых электростанций Отдел 18. Изготовление узлов и секций трубопроводов Раздел 01. Изготовление узлов трубопроводов Раздел 02. Изготовление секций трубопроводов Приложение 1. |
| Разработан: | Государственное учреждение Центр мониторинга и экспертизы цен |
| Утверждён: | 07.09.2001 Комитет экономического развития, промышленной политики и торговли Администрации Санкт-Петербурга (223) 20.12.2007 Комитет экономического развития, промышленной политики и торговли Администрации Санкт-Петербурга (582-р) |
| Список изменений: |
|
| Заменяет собой: | |
| Нормативные ссылки: |




























































































































































Текстовое изменение № 1






















































