Скачать ОСТ 108.020.132-85 Турбины паровые стационарные. Нормы расчета на прочность корпусов цилиндров и клапановДата актуализации: 01.01.2021
|
| Обозначение: | ОСТ 108.020.132-85 |
| Обозначение англ: | OST 108.020.132-85 |
| Статус: | не определен законодательством |
| Название рус.: | Турбины паровые стационарные. Нормы расчета на прочность корпусов цилиндров и клапанов |
| Дата добавления в базу: | 01.09.2013 |
| Дата актуализации: | 01.01.2021 |
| Дата введения: | 01.07.1986 |
| Дата окончания срока действия: | 30.06.2003 |
| Область применения: | Стандарт распространяется на вновь проектируемые паровые стационарные турбины для тепловых и атомных электростанций и приводные паровые турбины. Стандарт устанавливает методы расчета на статическую прочность наружных и внутренних корпусов цилиндров высокого и среднего давления и корпусов регулирующих и стопорных клапанов |
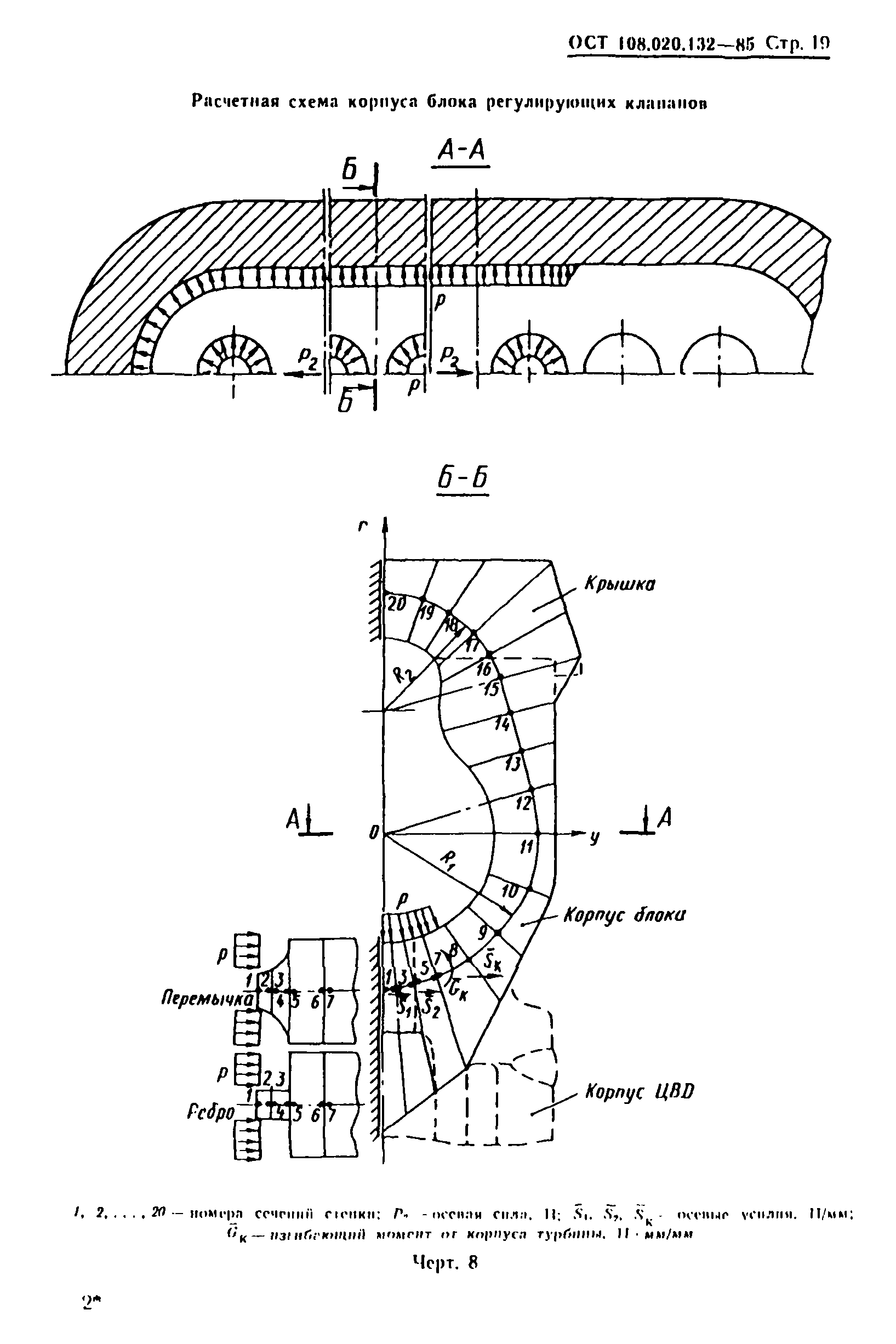
| Оглавление: | 1. Общие положения 2. Расчет на прочность корпусов цилиндров высокого и среднего давления 3. Расчет на прочность корпусов регулирующих и стопорных клапанов 4. Определение запасов прочности Приложение 1. Расчет установившейся ползучести корпуса Приложение 2. Примеры расчетов Приложение 3. Теоретические коэффициенты концентрации напряжений Приложение 4. Характеристики материалов |
| Утверждён: | 12.06.1985 Министерство энергетического машиностроения (Ministry of Energy Machinery Manufacturing СЧ-002/4742) |
| Издан: | НПО ЦКТИ (1986 г. ) |

































