Скачать ГОСТ Р 53073-2008 Лампы натриевые высокого давления. Эксплуатационные требованияДата актуализации: 01.01.2021
|
| Обозначение: | ГОСТ Р 53073-2008 |
| Обозначение англ: | GOST R 53073-2008 |
| Статус: | введен впервые |
| Название рус.: | Лампы натриевые высокого давления. Эксплуатационные требования |
| Название англ.: | High-pressure sodium vapour lamps. Performance requirements |
| Дата добавления в базу: | 01.09.2013 |
| Дата актуализации: | 01.01.2021 |
| Дата введения: | 01.07.2009 |
| Область применения: | Стандарт устанавливает эксплуатационные требования для натриевых ламп высокого давления для общего освещения, удовлетворяющих требованиям безопасности по ГОСТ Р 52713. Стандарт устанавливает размеры ламп, электрические параметры для зажигания и работы ламп, а также содержит информацию для расчета пускорегулирующего аппарата, зажигающего устройства и светильника. |
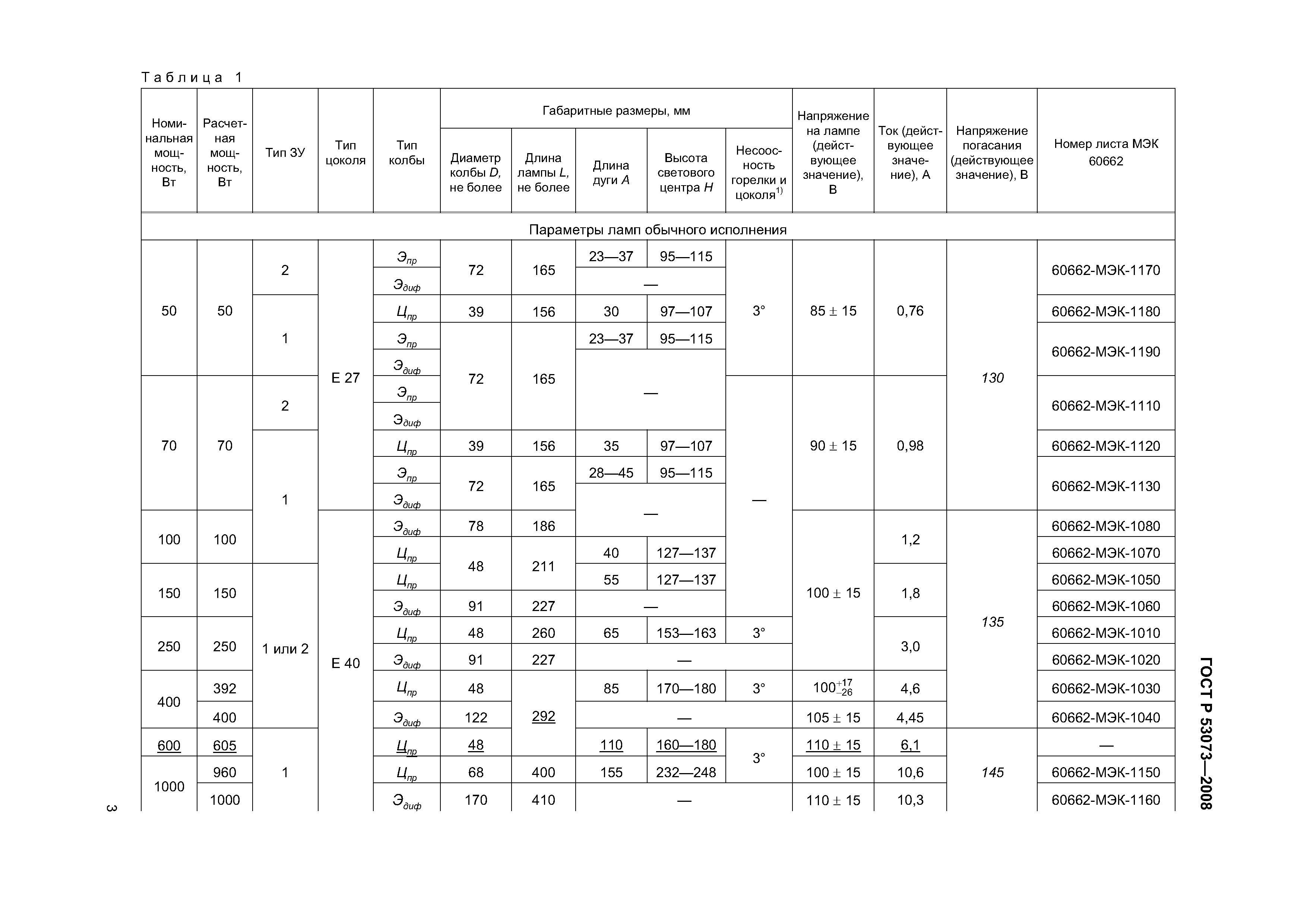
| Оглавление: | 1 Область применения 2 Нормативные ссылки 3 Термины, определения и обозначения 4 Требования к лампам 5 Маркировка ламп 6 Размеры ламп 7 Цоколи 8 Испытание ламп на зажигание, разгорание и проверка электрических параметров 8.1 Испытание ламп на зажигание 8.2 Испытание ламп на разгорание 8.3 Отжиг 8.4 Электрические, световые и цветовые параметры ламп 8.5 Испытание на напряжение погасания 8.6 Стабильность светового потока и продолжительность горения 9 Информация для расчета пускорегулирующего аппарата и зажигающего устройства 9.1 Информация для расчета зажигающего устройства (внешнего типа) 9.2 Информация для расчета пускорегулирующего аппарата 10 Информация для расчета светильника 10.1 Повышение напряжения на лампе 10.2 Температура на колбе лампы 11 Наибольшие контуры ламп Приложение А (обязательное) Форма волны импульса напряжений для испытания ламп на зажигание Приложение В (справочное) Обозначения размеров ламп. Приложение С (обязательное) Измерение повышения напряжения на лампе для расчета светильника Приложение D (обязательное) Фиксированные настройки зажигающего устройства и требования к зажиганию Приложение Е (обязательное) Метод измерения электрических и световых параметров Приложение F (обязательное) Метод испытания стабильности светового потока и продолжительности горения Приложение G (справочное) Наибольшие контуры ламп Приложение Н (обязательное) Диаграммы предельных рабочих характеристик ламп Приложение J (справочное) Сопоставление структуры настоящего стандарта со структурой примененного в нем международного стандарта Приложение К (справочное) Сведения о соответствии ссылочных международных стандартов национальным стандартам Российской Федерации, использованным в настоящем стандарте в качестве нормативных ссылок Библиография |
| Разработан: | ОАО Лисма ВНИИИС |
| Утверждён: | 18.12.2008 Федеральное агентство по техническому регулированию и метрологии (454-ст) |
| Издан: | Стандартинформ (2009 г. ) |
| Нормативные ссылки: |
|






































