Скачать ОСТ 1 11630-75 Стержни болт-заклепок с потайной головкой с углом 90°. КонструкцияДата актуализации: 01.01.2021 ОСТ 1 11630-75
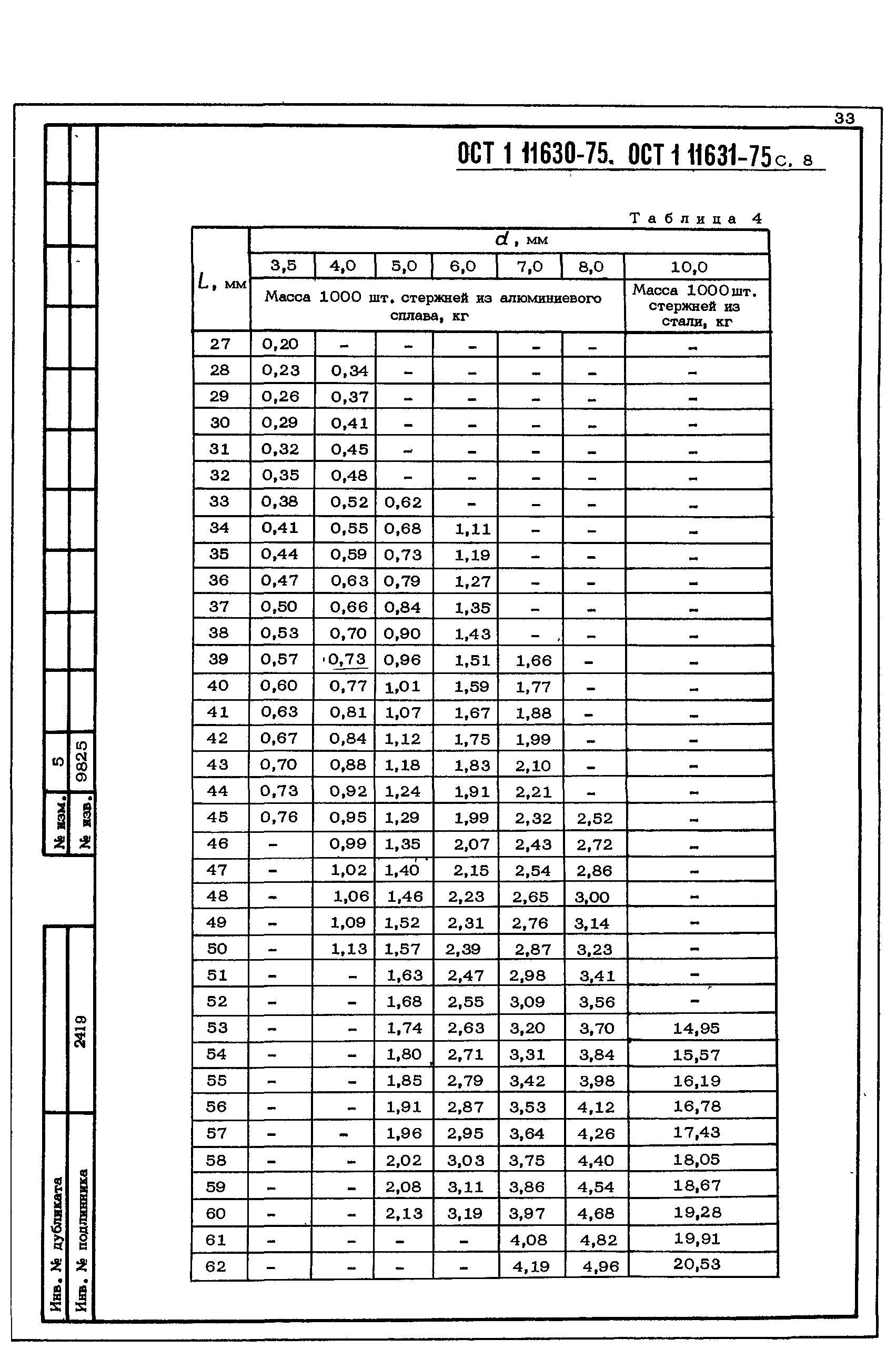
Стержни болт-заклепок с потайной головкой с углом 90°. Конструкция| Обозначение: | ОСТ 1 11630-75 | | Обозначение англ: | 11630-75 | | Статус: | действует | | Название рус.: | Стержни болт-заклепок с потайной головкой с углом 90°. Конструкция | | Дата добавления в базу: | 01.09.2013 | | Дата актуализации: | 01.01.2021 | | Дата введения: | 01.01.1976 | | Оглавление: | Приложение Коды ОКП стержней болт-заклепок | | Утверждён: | 11.03.1975 Министерство (Ministry 087-16)
| | Заменяет собой: | - Нормаль 5335А
- Нормаль 5338А
- Нормаль 687АТ
- Нормаль 688АТ
|
             
|