Скачать Руководство по проектированию плитных фундаментов каркасных зданий и сооружений башенного типаДата актуализации: 01.01.2021
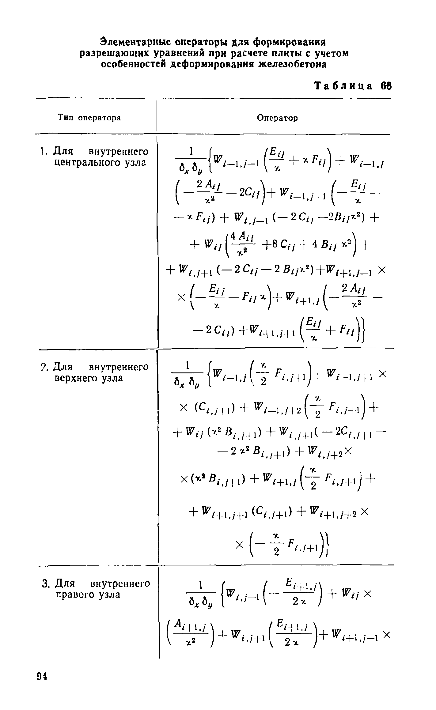
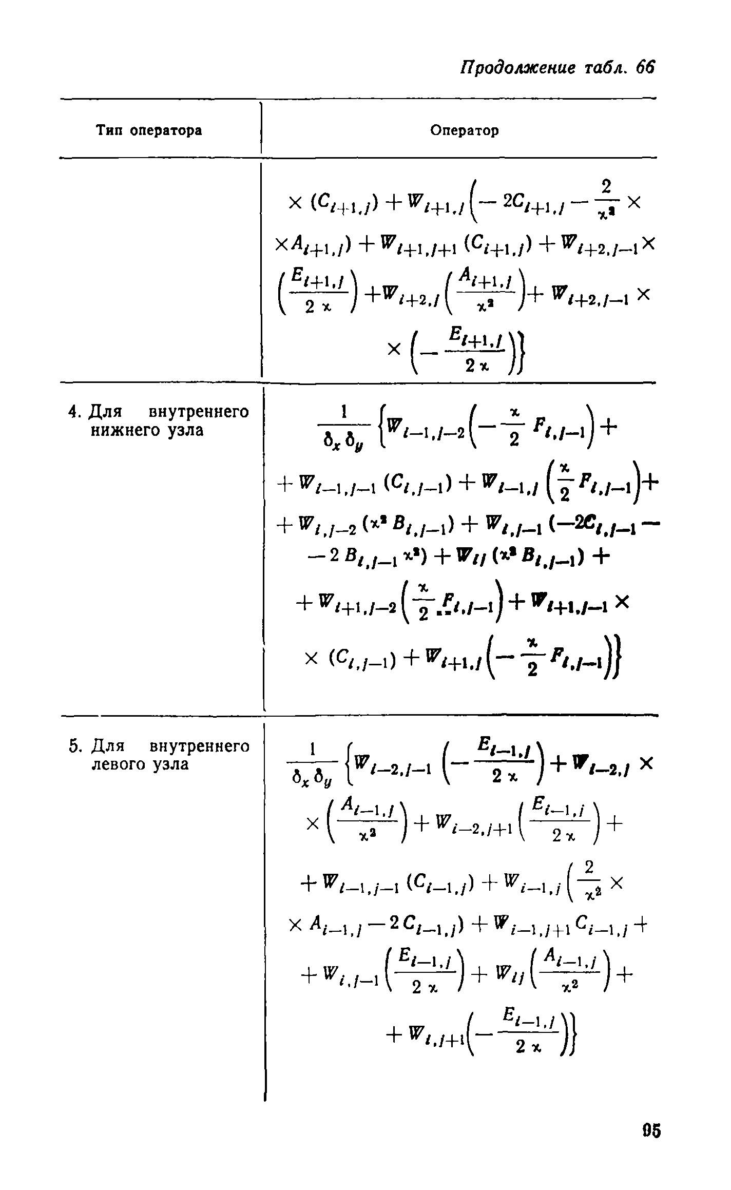
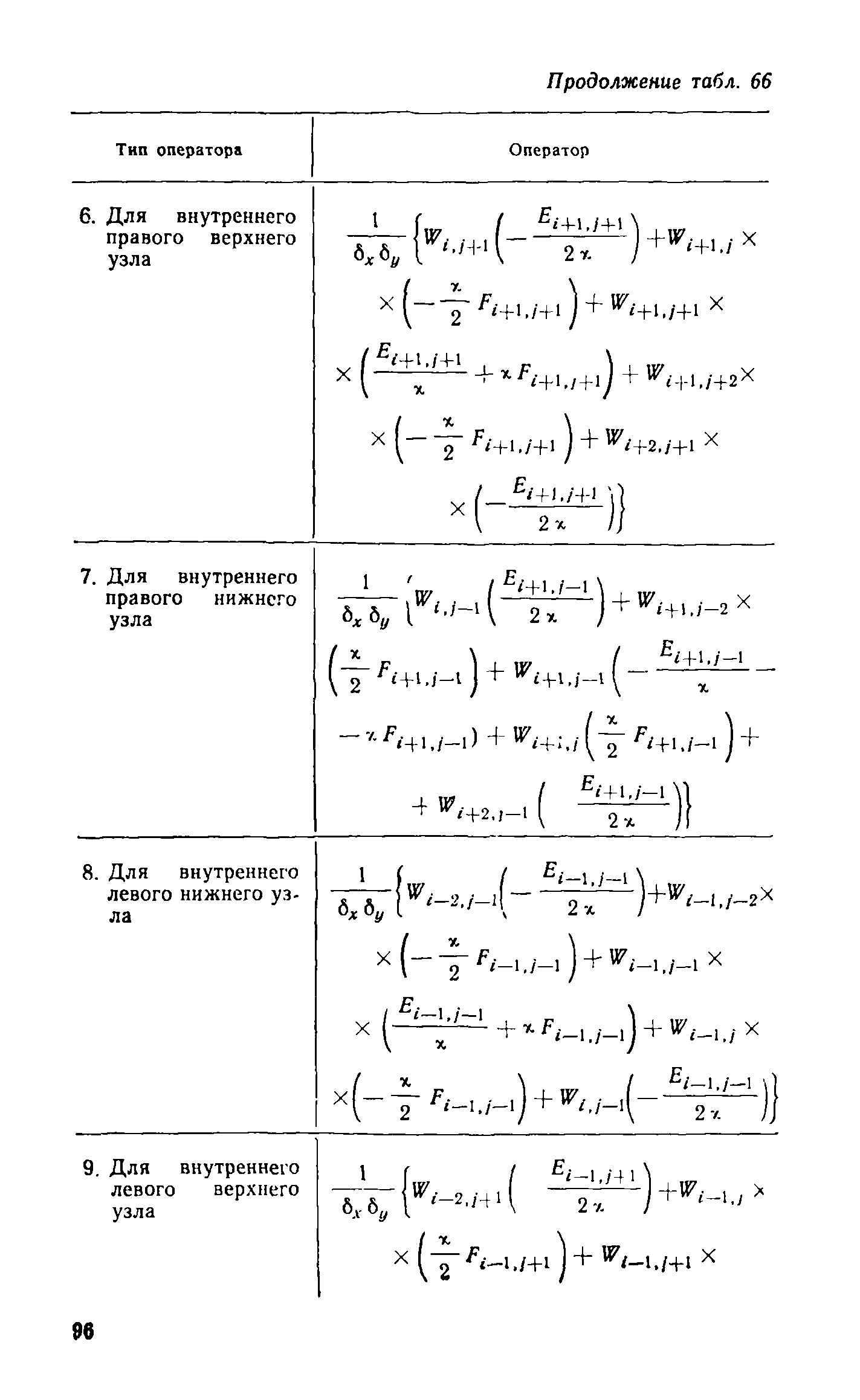
Руководство по проектированию плитных фундаментов каркасных зданий и сооружений башенного типа| Статус: | действует | | Название рус.: | Руководство по проектированию плитных фундаментов каркасных зданий и сооружений башенного типа | | Дата добавления в базу: | 01.09.2013 | | Дата актуализации: | 01.01.2021 | | Дата введения: | 24.10.1983 | | Область применения: | Руководство рекомендуется использовать при проектировании крупноразмерных (шириной более 10 м или диаметром более 10 м) прямоугольных, произвольной ортогональной, полигональной, круглой формы в плане железобетонных плитных фундаментов каркасных зданий и сооружений башенного типа (силосных корпусов, дымовых труб, теле- и радиобашен и т.п.) на естественном основании, не подверженном сейсмическим воздействиям и не находящемся в районе особых грунтовых условий (просадочных, набухающих, засоленных грунтов, подрабатываемых и закарстованных территорий). | | Оглавление: | Предисловие 1. Основные положения Общие указания Требования к инженерно-геологическим изысканиям Требования к расчетам плитного фундамента и основания 2. Расчет основания по деформациям Выбор расчетной схемы и параметров основания Определение осадок основания Определение крена плитного фундамента 3. Определение предварительных размеров плитного фундамента по условию минимального объема бетона 4. Определение коэффициентов жесткости основания плитного фундамента 5. Статические расчеты плитных фундаментов А. Расчет плитных фундаментов произвольной формы в плане для каркасных зданий Расчет плитного фундамента с учетом влияния стен здания Расчет плитного фундамента здания с учетом особенностей деформирования железобетона Совместный расчет плитного фундамента и рамного каркаса здания Совместный расчет плитного фундамента и элементов надфундаментного строения со связевым или рамно-связевым каркасом, а также панельного и киричного дома Расчет плитных фундаментов с учетом влияния рамного каркаса здания Расчет прямоугольных плитных фундаментов зданий с рамным каркасом при учете жесткости каркаса и реактивных касательных напряжений Расчет прямоугольных плитных фундаментов зданий со связевым каркасом при учете реактивных касательных напряжений Расчет толстых плитных фундаментов с учетом реактивных касательных напряжений Расчет сплошных железобетонных плитных фундаментов под сетку колонн по кинематическому методу предельного равновесия Б. Расчет плитных фундаментов произвольной формы в плане для силосных корпусов Расчет плитных фундаментов с учетом жесткости силосных корпусов Совместный расчет плитных фундаментов элеваторов и надфундаментных конструкций конечной жесткости Расчет прямоугольного плитного фундамента, взаимодействующего с деформируемым основанием и жестким надфундаментным строением (типа силосного корпуса) В. Расчет круглых и кольцевых плитных фундаментов с коническими оболочками для сооружений башенного типа Расчет конической оболочки, опертой на сжимаемое основание Расчет конической оболочки, опертой в нижнем сечении на абсолютно жесткое основание при различных типах опирания Расчет кольцевого плитного фундамента на сжимаемом основании Совместный расчет конической оболочки и кольцевой плиты конечной жесткости на сжимаемом основании Расчет конической оболочки, лежащей на сжимаемом основании, подкрепленной опорным кольцом Г. Расчет круглых и кольцевых плитных фундаментов сооружений башенного типа с учетом особенностей деформирования железобетона Д. Расчет круглых плитных фундаментов с учетом особенностей деформирования основания с переменными физико-механическими характеристиками 6. Конструктивные требования 7. Требования к измерениям осадок, сдвигов и кренов фундаментных плит Измерение осадок Измерение сдвигов Измерение кренов Обработка результатов измерений Приложение 1. Характеристики программ для расчета плитных фундаментов на ЭВМ Приложение 2. Определение осадок и кренов прямоугольных фундаментов на линейно-деформируемом полупространстве и слое конечной толщины с использованием графиков Приложение 3. Определение осадок и кренов круглого фундамента на линейно-деформируемом полупространстве и слое конечной толщины с использованием графиков | | Разработан: | НИИОСП Госстроя СССР
| | Утверждён: | НИИОСП им. Н.М. Герсеванова Госстроя СССР (Gersevanov NIIOSP, USSR Gosstroy )
| | Издан: | Стройиздат (1984 г. )
| | Заменяет собой: | | | Нормативные ссылки: | |
                                                                                                                                                                                                                                                                       
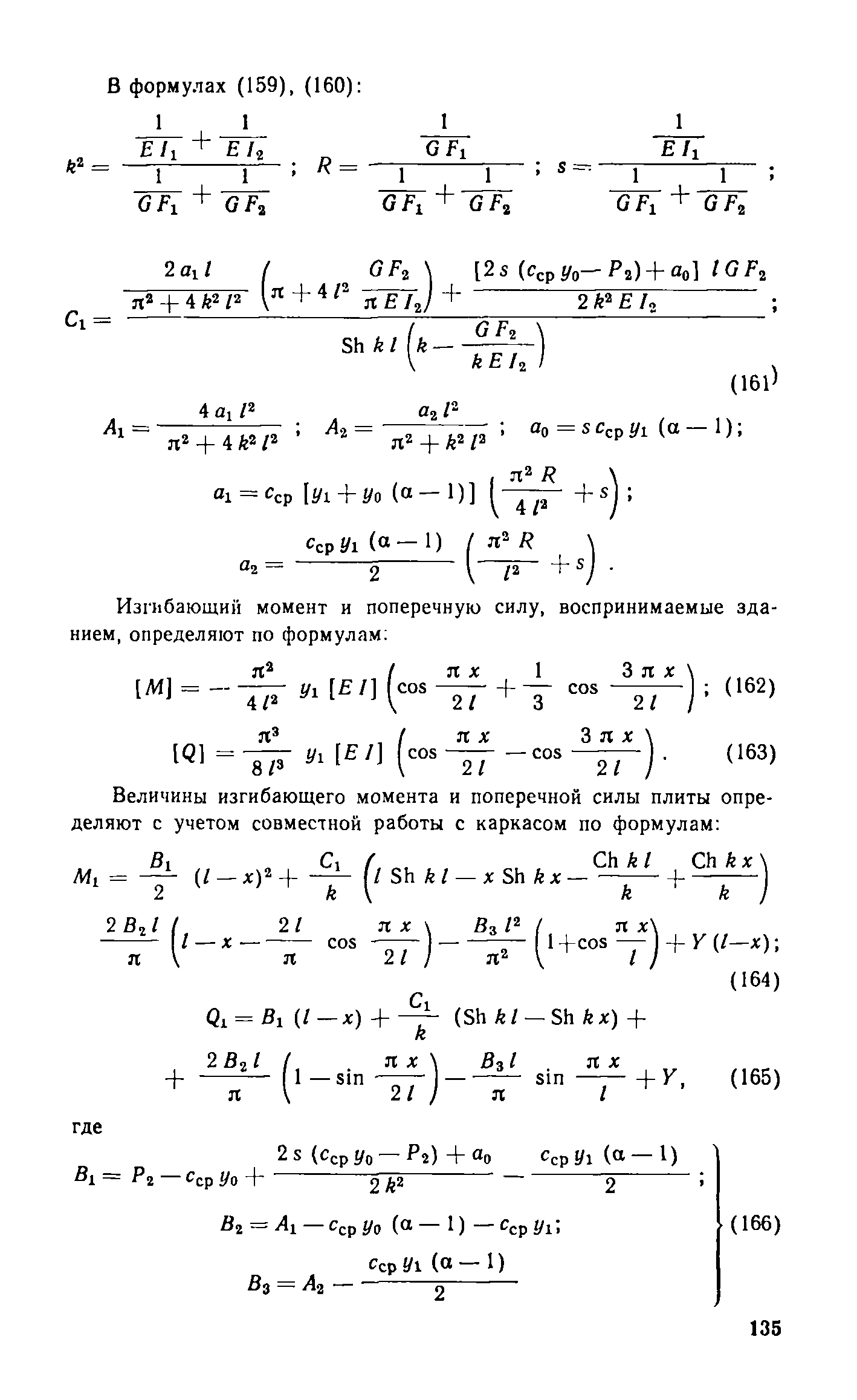
|