Скачать Правила технического наблюдения за постройкой судов и изготовлением материалов и изделий (ПТНП) (редакция 2002 года)Дата актуализации: 01.01.2021
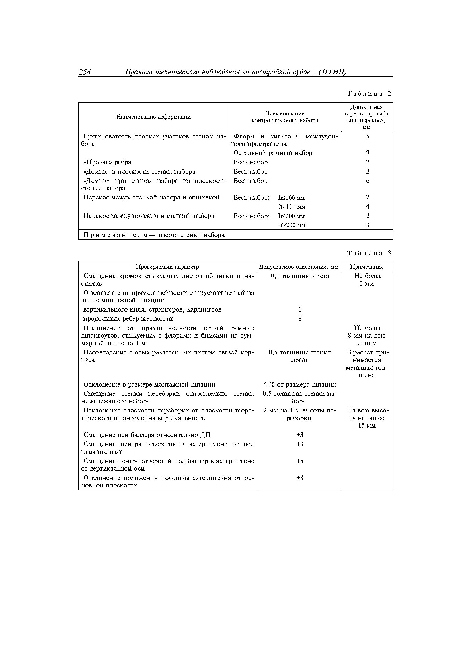
Правила технического наблюдения за постройкой судов и изготовлением материалов и изделий (ПТНП) (редакция 2002 года)| Статус: | действует | | Название рус.: | Правила технического наблюдения за постройкой судов и изготовлением материалов и изделий (ПТНП) (редакция 2002 года) | | Дата добавления в базу: | 01.09.2013 | | Дата актуализации: | 01.01.2021 | | Дата введения: | 31.03.2003 | | Область применения: | Правила устанавливают формы, порядок, методы и объем технического наблюдения, осуществляемого Речным Регистром в целях контроля, проверки выполнения требований Правил классификации и постройки судов внутреннего плавания, Правил классификации и постройки судов смешанного плавания и Правил экологической безопасности. | | Оглавление: | 1 Общие положения 2 Организационные положения по техническому наблюдению 3 Техническое наблюдение за разработкой технической документации 4 Техническое наблюдение за постройкой и ремонтом судов 5 Корпус 6 Механизмы 7 Котлы, теплообменные аппараты и сосуды под давлением 8 Холодильные установки 9 Судовые устройства и снабжение 10 Грузоподъемные устройства 11 Электрическое оборудование 12 Средства радиосвязи и навигационное оборудование 13 Оборудование экологической безопасности Приложение 1. Номенклатура объектов технического наблюдения, осуществляемого Речным Регистром Приложение 2. Перечень контрольных проверок объектов и технологических операций, обязательных для предъявления инспекции Приложение 3. Форма журнала технического наблюдения Приложение 4. Форма извещения о вызове инженера-инспектора Приложение 5. Форма построечного журнала Приложение 6. Форма карты разрешения на отступление от чертежа, технологического процесса или технических условий Приложение 7. Испытания корпуса на непроницаемость Приложение 8. Допускаемые значения сварочных деформаций обшивки и набора корпусных конструкций и отклонений при сборке корпуса судна Приложение 9. Типовой перечень технической документации, представляемой на рассмотрение Речному Регистру | | Утверждён: | 29.11.2002 Министерство транспорта РФ (Russian Federation Ministry of Transport НС-148-р)
| | Издан: | Издательство По Волге (2002 г. )
| | Заменяет собой: | - «Российский Речной Регистр. Правила, том 1, том 2» (Москва 1995 год)
|
                                                                                                                                      
|