Скачать ГЭСНм 2001-21 Оборудование метрополитенов и тоннелей (редакция 2008 г.). Оборудование метрополитенов и тоннелей. Государственные элементные сметные нормы на монтаж оборудованияДата актуализации: 01.01.2021
|
| Обозначение: | ГЭСНм 2001-21 |
| Обозначение англ: | GESNm 2001-21 |
| Статус: | не действует |
| Название рус.: | Оборудование метрополитенов и тоннелей (редакция 2008 г.). Оборудование метрополитенов и тоннелей. Государственные элементные сметные нормы на монтаж оборудования |
| Дата добавления в базу: | 01.09.2013 |
| Дата актуализации: | 01.01.2021 |
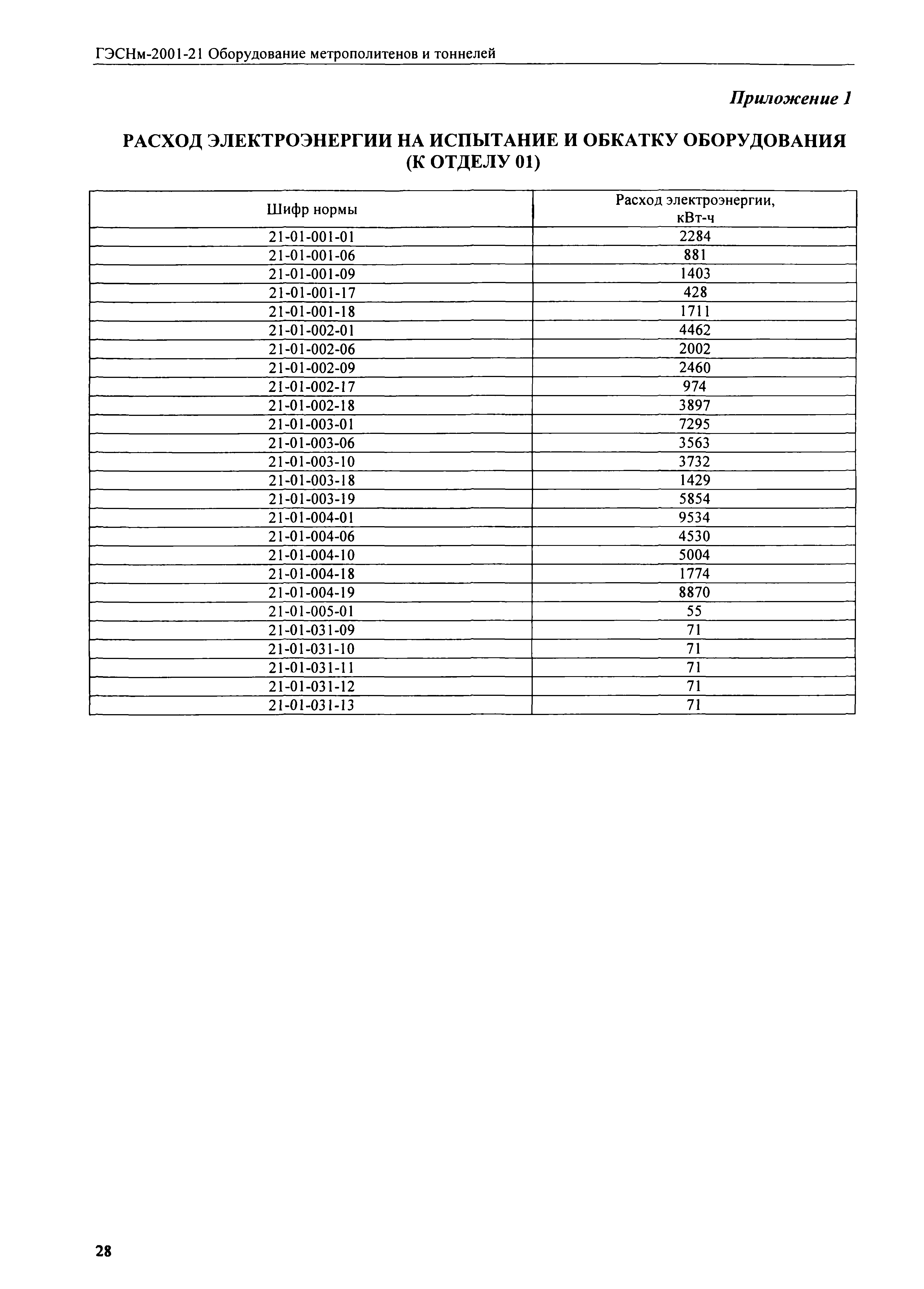
| Оглавление: | Техническая часть Отдел 01. Эскалаторы и устройства разные Раздел 1. Эскалаторы тоннельные Вводные указания Раздел 2. Устройства разные Отдел 02. Оборудование сигнализации, централизации и блокировки Приложение 1 Расход электроэнергии на испытание и обкатку оборудования Приложение 2 Перечень материальных ресурсов, не учтенных в нормах на монтаж оборудования |
| Утверждён: | 01.09.2003 Госстрой России (Russian Federation Gosstroy 161) |
| Нормативные ссылки: |
|
































