Скачать ГЭСНм 2001-23 Часть 23. Оборудование предприятий электротехнической промышленности (редакция 2009 г.). Оборудование предприятий электротехнической промышленности. Государственные элементные сметные нормы на монтаж оборудованияДата актуализации: 01.01.2021
|
| Обозначение: | ГЭСНм 2001-23 |
| Обозначение англ: | GESNm 2001-23 |
| Статус: | утратил силу |
| Название рус.: | Часть 23. Оборудование предприятий электротехнической промышленности (редакция 2009 г.). Оборудование предприятий электротехнической промышленности. Государственные элементные сметные нормы на монтаж оборудования |
| Дата добавления в базу: | 01.09.2013 |
| Дата актуализации: | 01.01.2021 |
| Дата введения: | 11.10.2013 |
| Область применения: | Документ предназначен для определения потребности в ресурсах (затрат труда рабочих-строителей, машинистов, времени эксплуатации строительных машин и механизмов, материальных ресурсов) при выполнении работ по монтажу оборудования и для составления на их основе сметных расчетов (смет) на производство указанных работ ресурсным и ресурсно-индексным методами. ГЭСНм являются исходными нормами для разработки других сметных нормативов: единичных расценок федерального, территориального и отраслевого уровней, индивидуальных и укрупненных сметных нормативов. |
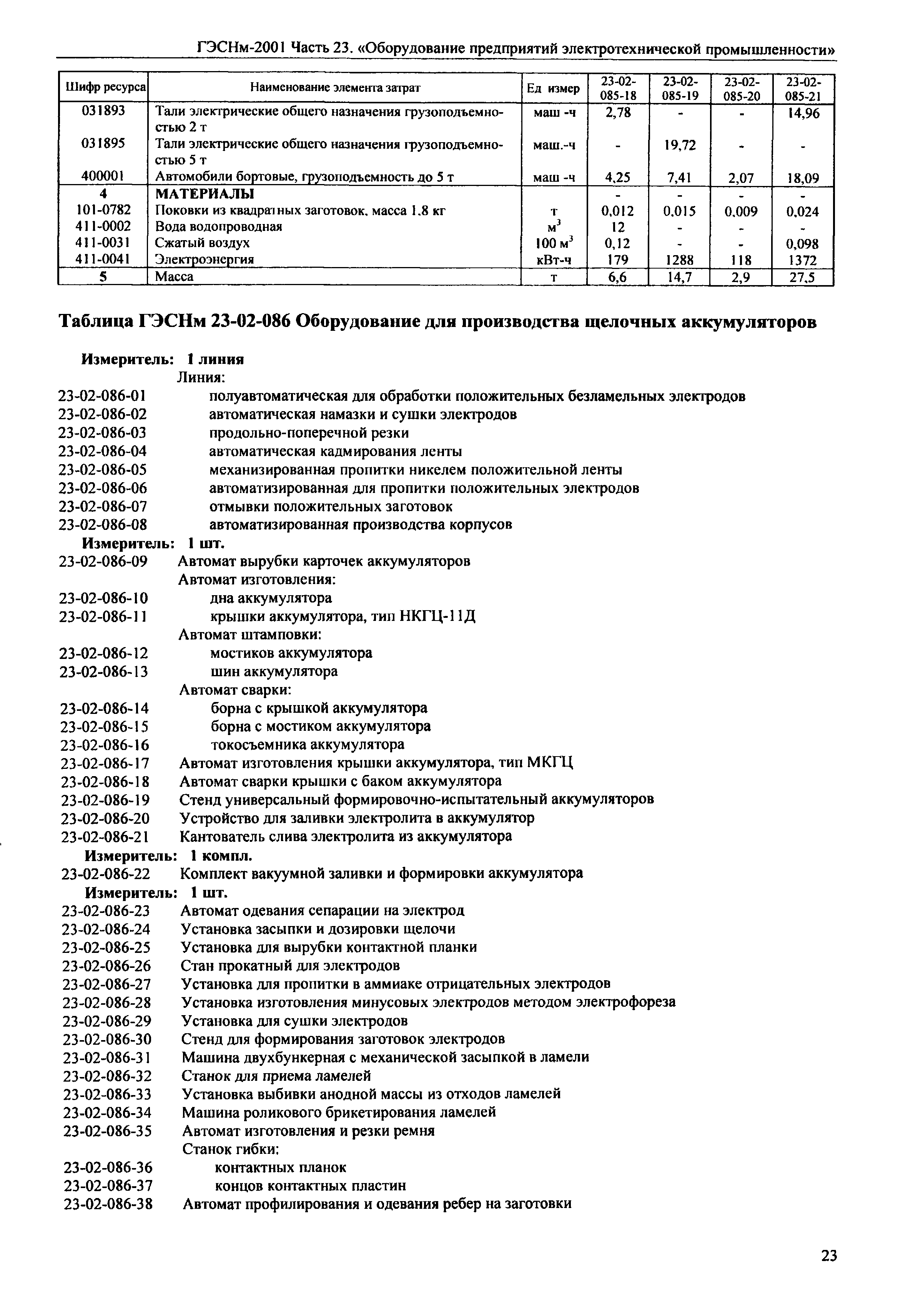
| Оглавление: | Отдел 01 Кабельное оборудование Раздел 1 Машины крутильные Раздел 2 Машины изолировочные Раздел 3 Разное оборудование Отдел 02 Оборудование для электромашиностроения Раздел 1 Оборудование заготовительное Раздел 2 Оборудование намоточное, бандажировочное, пазоизолировочное и формовочное Раздел 3 Оборудование для обработки листов ротора и статора и сборки пакетов Раздел 4 Оборудование для обработки коллекторов Раздел 5 Оборудование для опрессовки статорных и якорных станций Раздел 6 Линии автоматические и механизированные Раздел 7 Оборудование для производства химических источников света Раздел 8 Оборудование для испытаний Раздел 9 Оборудование для окраски изделий Отдел 03 Оборудование электрокерамической промышленности Раздел 1 Оборудование для производства изоляторов Отдел 04 Оборудование для производства электроизоляционных материалов Раздел 1 Оборудование пропиточное и лакировальное Отдел 05 Оборудование для производства источников света Раздел 1 Оборудование сборочное для массового и серийного производства источников света Раздел 2 Оборудование для выработки стеклянных деталей Раздел 3 Оборудование для производства электродов, катодов и спиралей Раздел 4 Оборудование для производства цоколей и арматуры Раздел 5 Оборудование для производства технохимических полуфабрикатов и обработки колб Раздел 6 Оборудование испытательное |
| Разработан: | Федеральный центр ценообразования в строительстве и промышленности строительных материалов |
| Утверждён: | 04.08.2009 Министерство регионального развития Российской Федерации (321) |
| Издан: | ФГУ Федеральный центр ценообразования в строительстве и промышленности строительных материалов (2009 г. ) |
| Список изменений: |
|





















































Текстовое изменение № И1 от 04.03.2010






