Скачать ГОСТ Р ИСО 19439-2008 Интеграция предприятия. Основа моделирования предприятияДата актуализации: 01.01.2021
|
| Обозначение: | ГОСТ Р ИСО 19439-2008 |
| Обозначение англ: | GOST R ISO 19439-2008 |
| Статус: | введен впервые |
| Название рус.: | Интеграция предприятия. Основа моделирования предприятия |
| Название англ.: | Enterprise integration. Framework for enterprise modelling |
| Дата добавления в базу: | 01.09.2013 |
| Дата актуализации: | 01.01.2021 |
| Дата введения: | 01.01.2010 |
| Область применения: | Стандарт устанавливает основные положения, обеспечивающие общую основу для идентификации и координации разработки стандартов на моделирование предприятий, не ограничиваясь производством на основе компьютерного интегрирования. Стандарт также является основой для последующей разработки стандартов на модели с применением компьютера, обеспечивающих принятие решений по производственному процессу, что в результате приводит к основанным на модели функционированию, мониторингу и управлению. В рамках стандарта определены четыре модельных представления (вида) предприятия. Дополнительные представления, отвечающие интересам определенных потребителей, могут быть разработаны, однако такие дополнительные представления не являются предметом данного стандарта. Возможные дополнительные представления идентифицированы в ИСО 15704. |
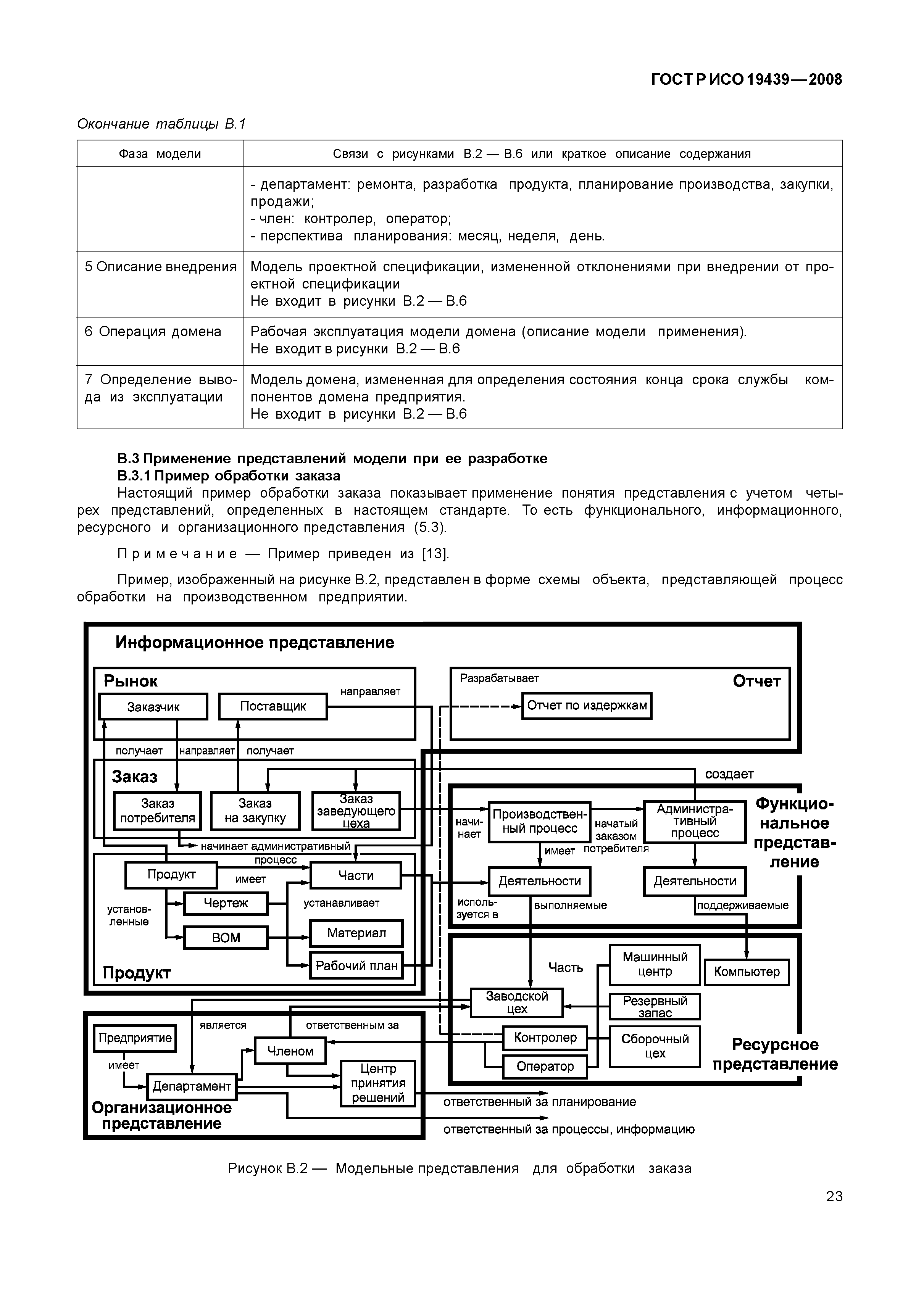
| Оглавление: | 1 Область применения 2 Нормативные ссылки 3 Термины и определения 4 Сокращения 5 Основа 5.1 Основные понятия 5.2 Размерность фаз модели предприятия 5.3 Размерность представления модели предприятия 5.4 Размерность общности 5.5 Графическое представление среды 6 Требования к моделям предприятий и методологиям моделирования Приложение А (справочное) Модели предприятия, среды и языки моделирования Приложение В (справочное) Применение среды моделирования предприятия Приложение С (справочное) Сведения о соответствии национальных стандартов Российской Федерации ссылочным международным стандартам Библиография |
| Разработан: | НТЦ ИНТЕК |
| Утверждён: | 18.12.2008 Федеральное агентство по техническому регулированию и метрологии (620-ст) |
| Издан: | Стандартинформ (2010 г. ) |
| Нормативные ссылки: |



































