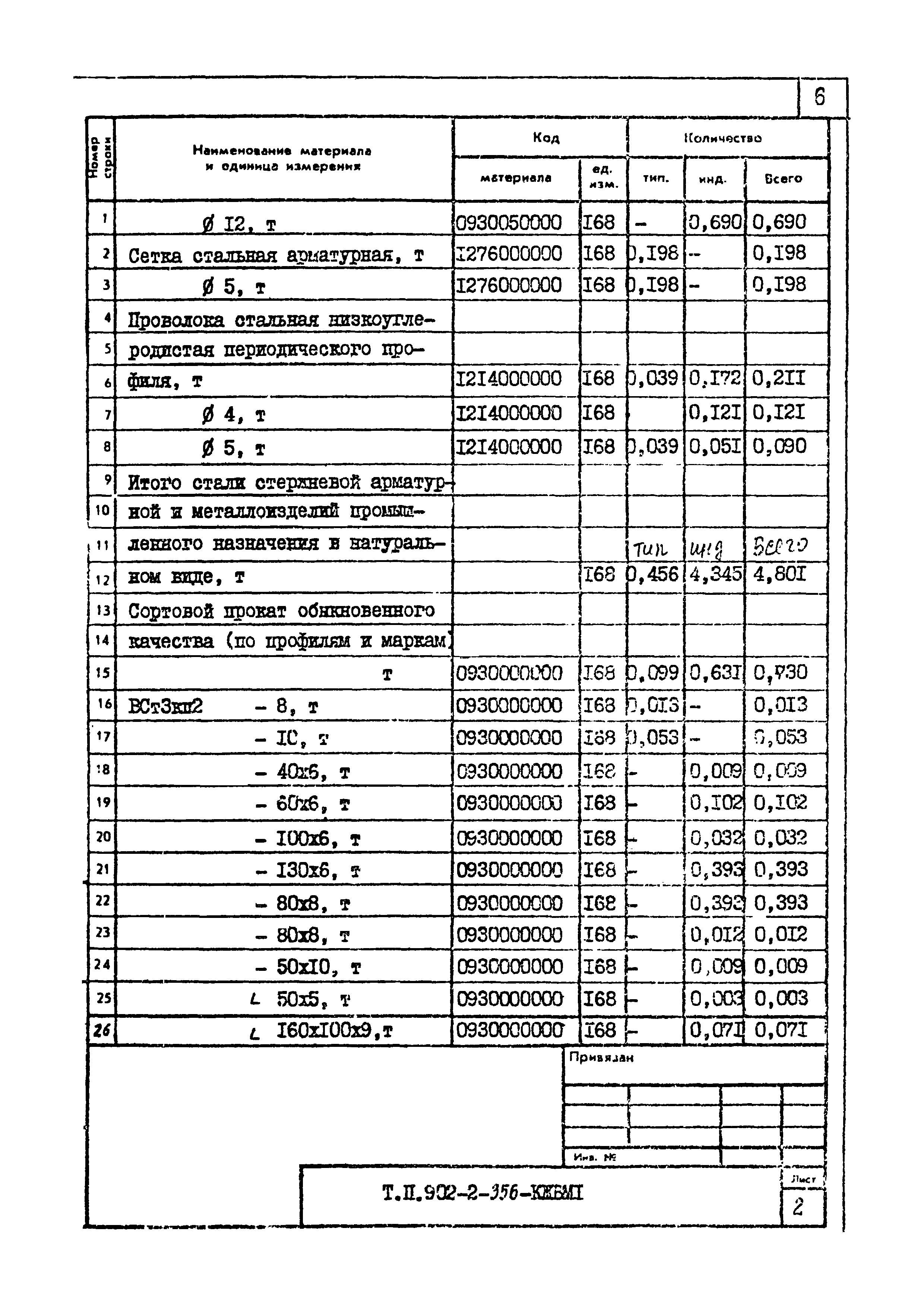
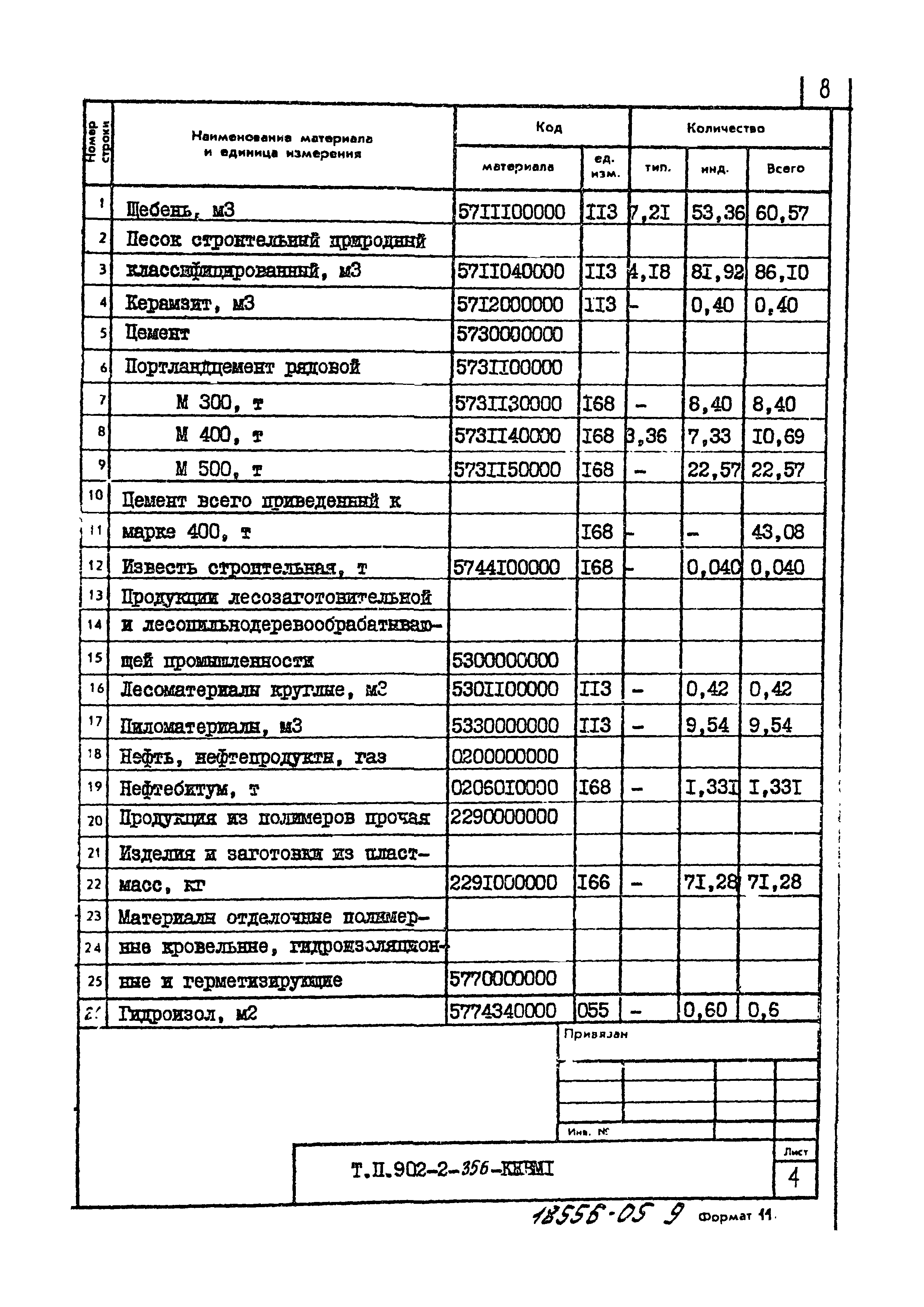
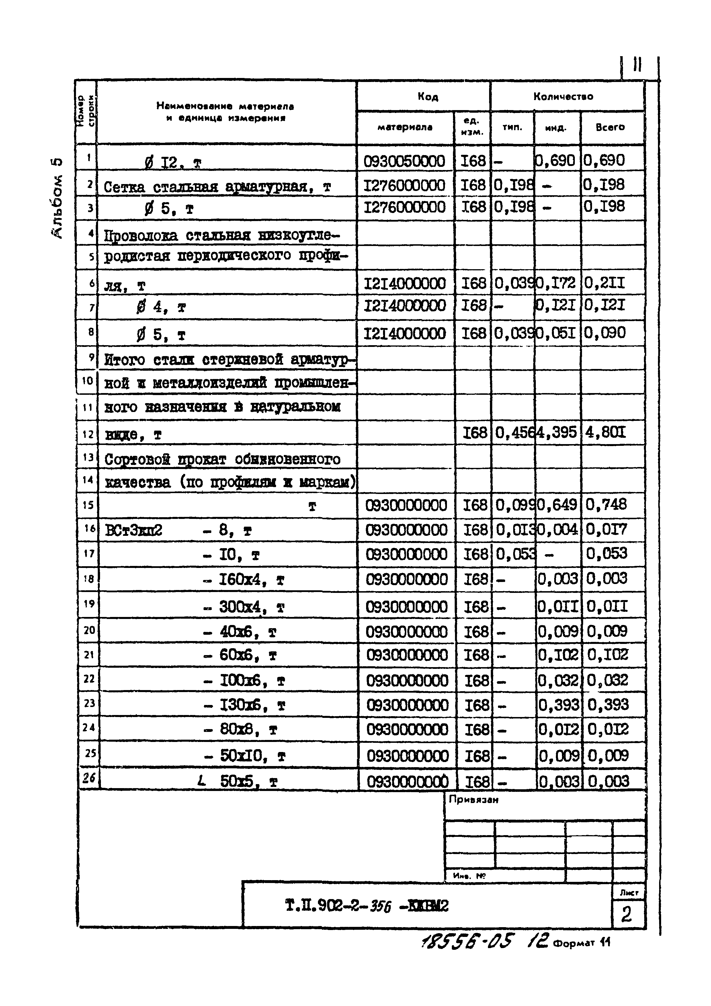
Скачать Типовой проект 902-2-356 Альбом 5. Ведомости потребности в материалахДата актуализации: 01.01.2021
|
| Обозначение: | Типовой проект 902-2-356 |
| Обозначение англ: | 902-2-356 |
| Статус: | не определен законодательством |
| Название рус.: | Альбом 5. Ведомости потребности в материалах |
| Дата добавления в базу: | 01.09.2013 |
| Дата актуализации: | 01.01.2021 |
| Дата введения: | 27.01.1983 |
| Дата окончания срока действия: | 30.06.2003 |
| Оглавление: | Пояснительная записка Технологическая часть Конструкции железобетонные (вариант в сухих грунтах) То же (вариант в обводненных грунтах) |
| Разработан: | Союзводоканалпроект Ростовский Водоканалпроект |
| Утверждён: | 25.08.1982 Главпромстройпроект Госстроя СССР (32) |















