Скачать Машины для производства земляных работ. Технические характеристики

Дата актуализации: 01.01.2021

Машины для производства земляных работ. Технические характеристики

Статус:справочные материалы, мп, тпр
Название рус.:Машины для производства земляных работ. Технические характеристики
Дата добавления в базу:01.09.2013
Дата актуализации:01.01.2021
Область применения:Каталог предназначен для инженерно-технического персонала проектных и строительных организаций, осуществляющего подбор машин для земляных работ при разработке проектов организации строительства (ПОС) и проектов производства работ (ППР), для специалистов строительно-монтажных организаций, управлений механизации, а также для специалистов, занятых продажей и лизингом машин.
Оглавление:Введение
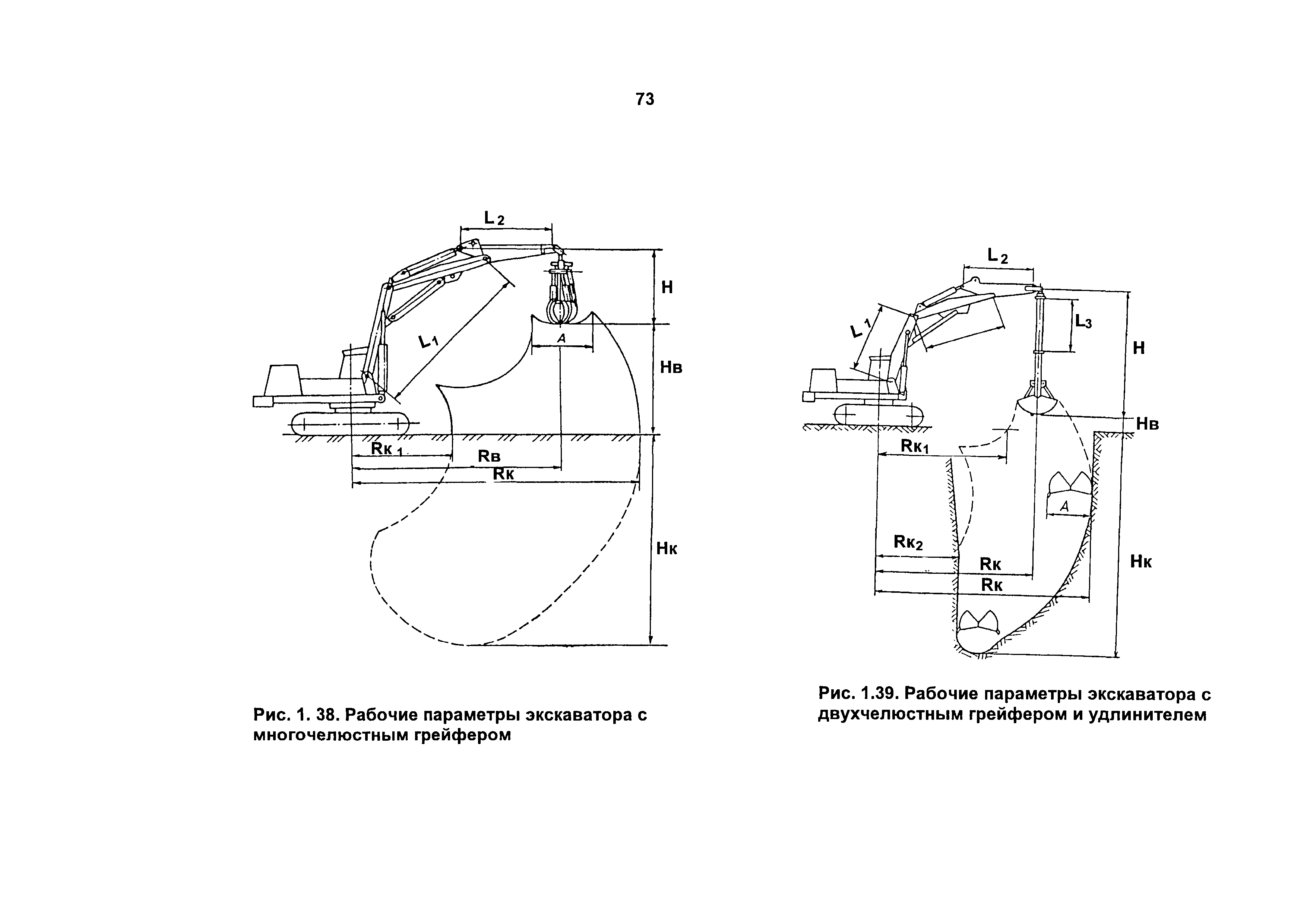
Раздел 1. Одноковшовые экскаваторы
Раздел 2. Многоковшовые экскаваторы
Раздел 3. Машины для подготовительных и землеройно-транспортных работ
Раздел 4. Одноковшовые фронтальные погрузчики
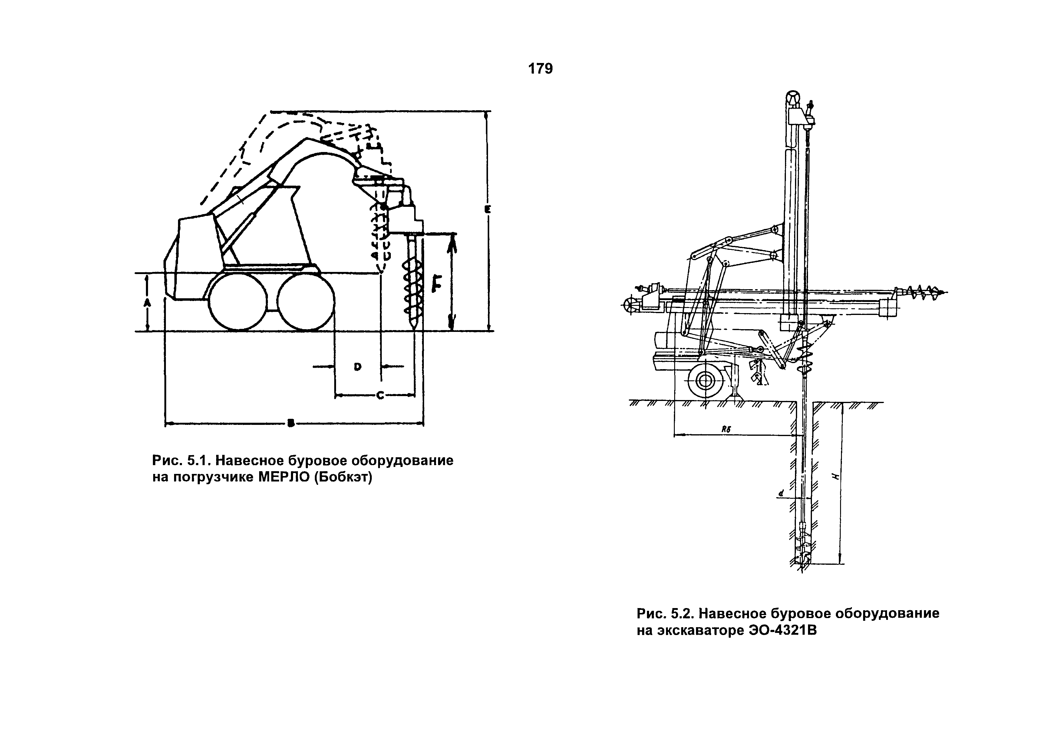
Раздел 5. Бурильно-крановые машины
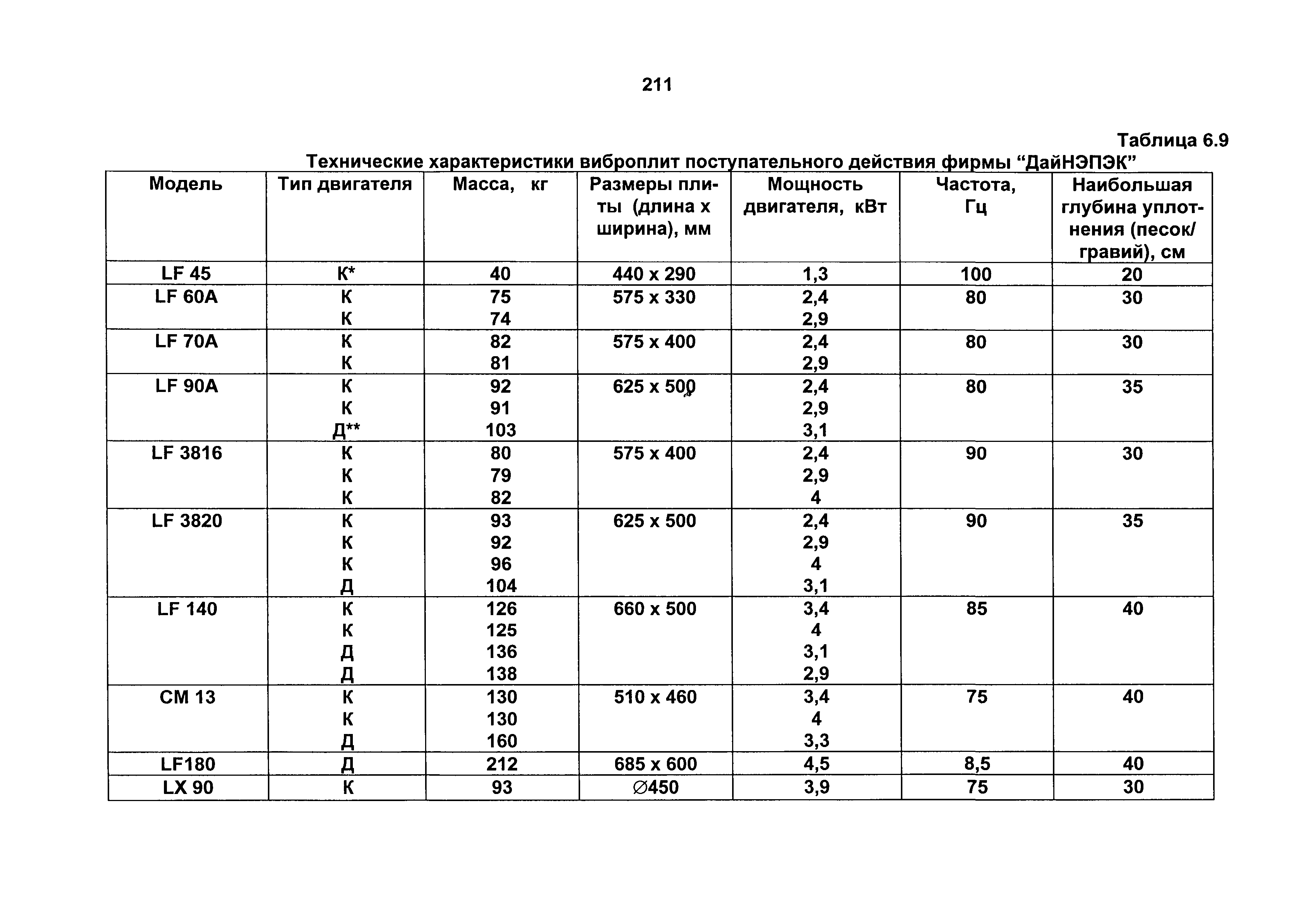
Раздел 6. Машины для уплотнения грунта и других материалов
Список литературы
Разработан: ОАО ПКТИпромстрой
Утверждён: ОАО ПКТИпромстрой (PKTIpromstroy OAO )