Скачать ФЕРм 2001-08 Электротехнические установки (редакция 2008 г.). Электротехнические установки. Федеральные единичные расценки на монтаж оборудованияДата актуализации: 01.01.2021
|
| Обозначение: | ФЕРм 2001-08 |
| Обозначение англ: | FERm 2001-08 |
| Статус: | не действует |
| Название рус.: | Электротехнические установки (редакция 2008 г.). Электротехнические установки. Федеральные единичные расценки на монтаж оборудования |
| Дата добавления в базу: | 01.09.2013 |
| Дата актуализации: | 01.01.2021 |
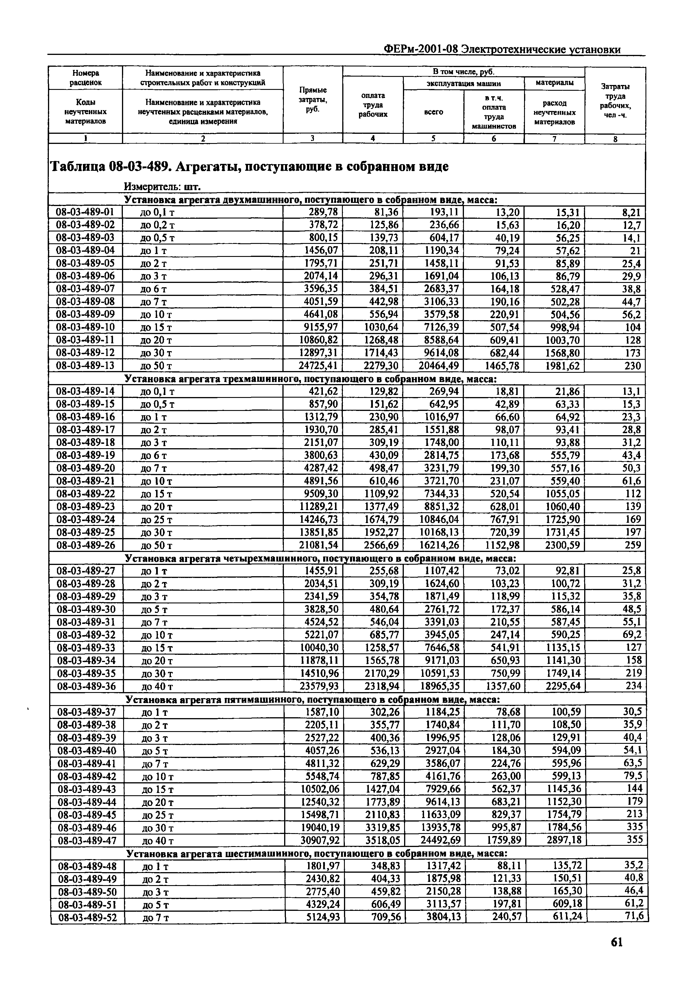
| Оглавление: | Техническая часть Отдел 01. Распределительные устройства и подстанции Раздел 1. Распределительные устройства открытые 6-750 кВ Вводные указания Раздел 2. Распределительные устройства закрытые 35-220 кВ Вводные указания Раздел 3. Распределительные устройства закрытые 3-20 кВ Вводные указания Раздел 4. Преобразовательные устройства Вводные указания Раздел 5. Аккумуляторные установки Вводные указания Отдел 02. Канализация электроэнергии и электрические сети Раздел 1. Кабельные линии до 500 кВ Вводные указания Раздел 2. Сети контактные городского транспорта Вводные указания Раздел 3. Сети контактные метрополитена Вводные указания Раздел 4. Сети контактные промышленного транспорта Вводные указания Раздел 5. Электроосвещение наружное Вводные указания Раздел 6. Сети проводок в зданиях и сооружениях Вводные указания Раздел 7. Шины тяжелые Вводные указания Раздел 8. Сети заземления электротехнических установок Вводные указания Отдел 03. Электросиловые и электроосветительные установки Раздел 1. Электрические машины Вводные указания Раздел 2. Токоподвод к подъемно-транспортным установкам Вводные указания Раздел 3. Устройства пускорегулирующие Вводные указания Раздел 4. Низковольтные комплектные устройства Вводные указания Раздел 5. Приборы осветительные, нагревательные, щитки и счетчики Вводные указания Раздел 6. Установки театрально-зрелищных предприятий Вводные указания Отдел 04. Кабельные линии и электрооборудование специальных установок Раздел 1. Кабельные линии и электрооборудование ядерных энергоустановок и спецкорпусов АЭС Вводные указания Отдел 5. Кабельные линии и электрооборудование специальных установок для горнорудных выработок Раздел 1. Кабельные линии до 110 кВ в горнорудных выработках Вводные указания Раздел 2. Электрооборудование в горнорудных выработках Вводные указания Приложение 1. Нормы расхода электроэнергии на контрольный прогрев и подсушку электрооборудования Приложение 2. Нормы отхода материальных ресурсов, не учтенных в нормах Приложение 3. Показатели часовой оплаты труда рабочих-монтажников в зависимости от среднего разряда работ Приложение 4. Сметные расценки на эксплуатацию строительных машин и механизмов Приложение 5. Сметные цены на материалы, изделия и конструкции Приложение 6. Таблица замены ресурсов |
| Нормативные ссылки: |
|






















































































































