Скачать ФЕРм 2001-13 Оборудование атомных электрических станций. Книга 1 (редакция 2006 г.). Оборудование атомных электрических станций. Книга 1. Федеральные единичные расценки на монтаж оборудованияДата актуализации: 01.01.2021
|
| Обозначение: | ФЕРм 2001-13 |
| Обозначение англ: | FERm 2001-13 |
| Статус: | действует |
| Название рус.: | Оборудование атомных электрических станций. Книга 1 (редакция 2006 г.). Оборудование атомных электрических станций. Книга 1. Федеральные единичные расценки на монтаж оборудования |
| Дата добавления в базу: | 01.09.2013 |
| Дата актуализации: | 01.01.2021 |
| Дата введения: | 29.08.2006 |
| Область применения: | Документ предназначен для определения прямых затрат в сметной стоимости при выполнении работ по монтажу оборудования атомных электрических станций. |
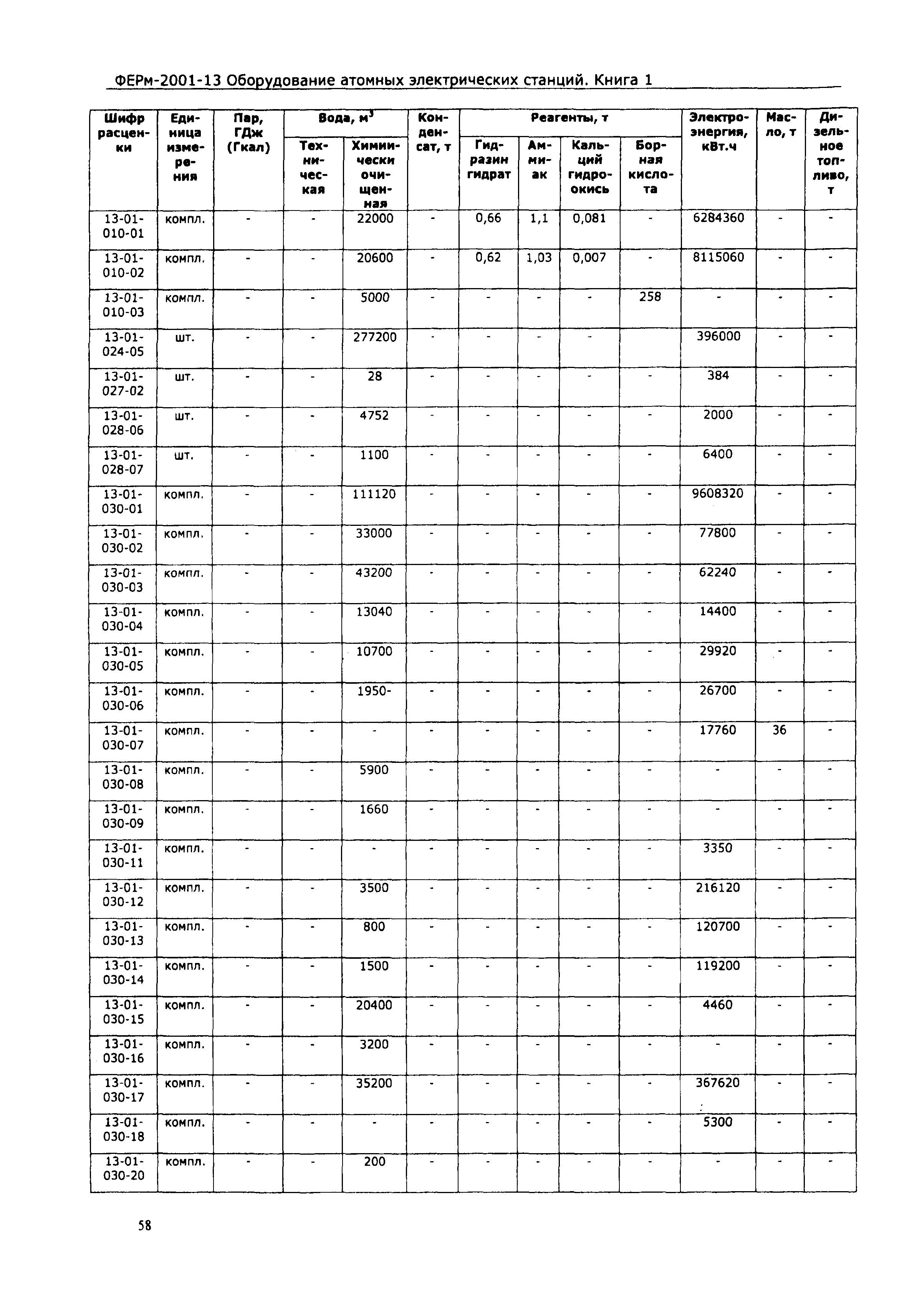
| Оглавление: | Техническая часть Отдел 01. Ядерные паропроизводящие установки Вводные указания Раздел 1. Оборудование с реактором энергетическим водоводяным корпусным (ВВЭР) Раздел 2. Оборудование с реактором энергетическим большой мощности кипящим канальным (РБМК) Отдел 02. Оборудование вспомогательных систем реакторных установок, спецводоочистки, водоподготовки, установки битумирования и хранилища радиоактивных отходов Вводные указания Отдел 03. Агрегаты паротурбинные Вводные указания Раздел 1. Турбины паровые стационарные Раздел 2. Конденсаторы Раздел 3. Турбогенераторы Отдел 04. Оборудование вспомогательное турбинное машинного зала и деаэраторного отделения Вводные указания Отдел 05. Трубопроводы Вводные указания Раздел 1. Трубопроводы из деталей Раздел 2. Трубопроводы из узлов и блоков сварных Раздел 3. Маслопроводы Раздел 4. Трубопроводы наружные Отдел 06. Арматура Вводные указания Раздел 1. Арматура приварная Раздел 2. Арматура фланцевая и смотровые лазы Отдел 07. Приводы дистанционные Раздел 1. Дистанционные ручные приводы Раздел 2. Дистанционные электроприводы Отдел 08. Проходки Вводные указания Раздел 1. Проходки штоковые (арматурные) Раздел 2. Проходки герметичные трубопроводов Раздел 3. Изделия закладные трубопроводов герметичной зоны системы локализации аварий Отдел 09. Амортизаторы Вводные указания Отдел 10. Разные работы Вводные указания Отдел 11. Оборудование биологической защиты Вводные указания Отдел 12. Резервная дизель-генераторная Вводные указания Приложение 1. Перечень материальных ресурсов, не учтенных в расценках на монтаж оборудования Приложение 2. Расход материальных ресурсов на индивидуальные испытания оборудования, химическую очистку, промывку и продувку Приложение 3. Расход фильтрующих материалов для аппаратов Приложение 4. Расход материальных ресурсов для заполнения систем паротурбинных агрегатов Приложение 5. Сметные расценки на эксплуатацию строительных машин и механизмов Приложение 6. Сборник сметных цен на материалы, изделия и конструкции Таблица замены ресурсов |
| Разработан: | Росэнергоатом Федеральный центр ценообразования в строительстве и промышленности строительных материалов |
| Утверждён: | 29.08.2006 Федеральное агентство по строительству и жилищно-коммунальному хозяйству (СК-3646/02) |
| Издан: | Росстрой (2006 г. ) |
| Нормативные ссылки: |




















































































