Скачать ОСТ 17-113-2002 Ленты ременные крашенные. Технические условияДата актуализации: 01.01.2021 ОСТ 17-113-2002
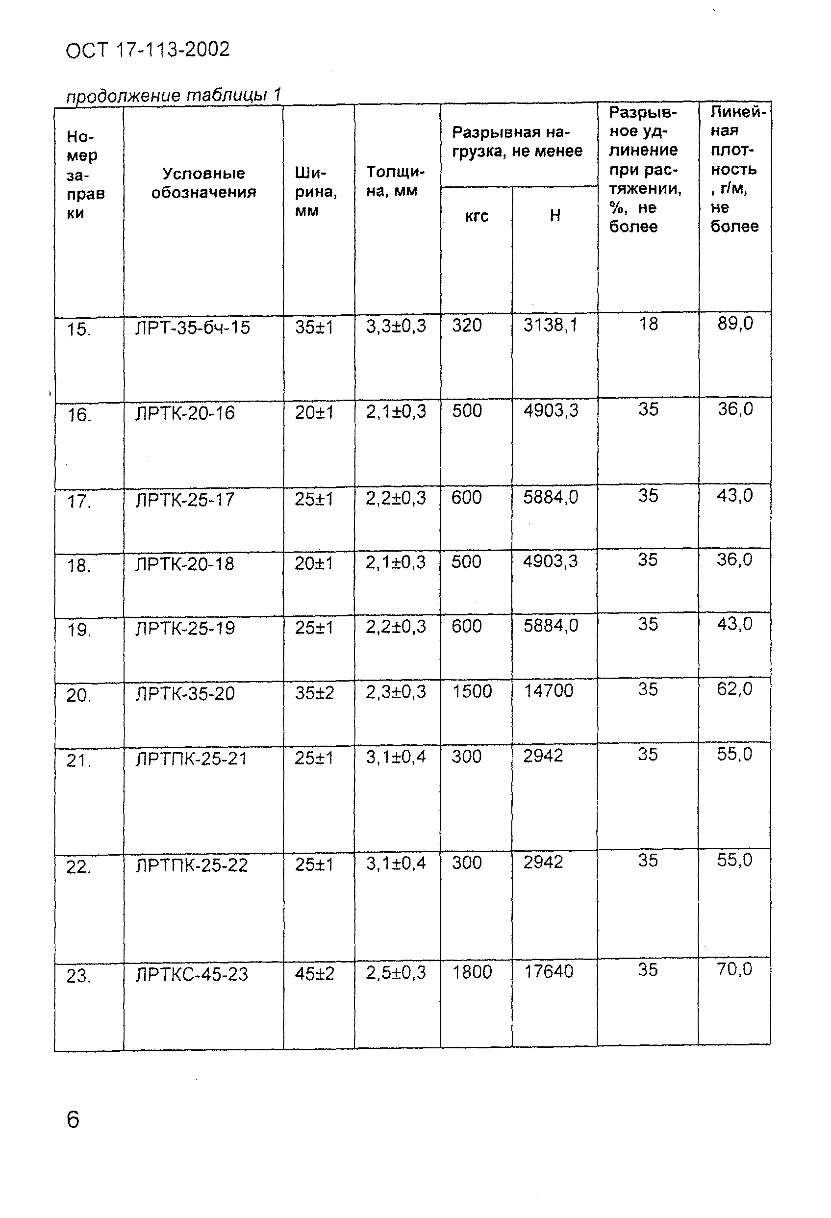
Ленты ременные крашенные. Технические условия| Обозначение: | ОСТ 17-113-2002 | | Обозначение англ: | OST 17-113-2002 | | Статус: | не определен законодательством | | Название рус.: | Ленты ременные крашенные. Технические условия | | Дата добавления в базу: | 01.09.2013 | | Дата актуализации: | 01.01.2021 | | Дата введения: | 01.10.2002 | | Дата окончания срока действия: | 30.06.2003 | | Область применения: | Стандарт распространяется на ленты ременные крашенные, вырабатываемые на лентоткацких станках. Ленты применяются для технических, специальных целей и госзаказа. | | Оглавление: | 1. Область применения 2. Нормативные ссылки 3. Технические требования 4. Правила приемки 5. Методы контроля 6. Требования безопасности 7. Транспортирование и хранение 8. Гарантии изготовителя | | Разработан: | Отраслевой центр по стандартизации, метрологии и сертификации в текстильной и легкой промышленности Стандарт-Текстиль
| | Утверждён: | 06.09.2002 Департамент промышленной и инновационной политики в легкой промышленности Минпромнауки России (16-1021)
| | Принят: | 27.08.2002 Центральное вещевое управление Министерства обороны РФ (164/7/344)
| | Издан: | Минпромнаука (2002 г. )
| | Заменяет собой: | | | Нормативные ссылки: |   ГОСТ 12.1.007-76 «Система стандартов безопасности труда. Вредные вещества. Классификация и общие требования безопасности»  ГОСТ 12.1.018-93 «Система стандартов безопасности труда. Пожаровзрывобезопасность статического электричества. Общие требования»  ГОСТ 12302-83 «Пакеты из полимерных и комбинированных материалов. Общие технические условия»  ГОСТ 14192-96 «Маркировка грузов»  ГОСТ 10354-82 «Пленка полиэтиленовая. Технические условия»  ГОСТ 8273-75 «Бумага оберточная. Технические условия»  ГОСТ 1.5-2001 «Межгосударственная система стандартизации. Стандарты межгосударственные, правила и рекомендации по межгосударственной стандартизации. Общие требования к построению, изложению, оформлению, содержанию и обозначению»  ГОСТ 6507-90 «Микрометры. Технические условия» ГОСТ 11600-75 «Бумага для упаковывания текстильных материалов и изделий. Технические условия» ГОСТ 15897-79 «Нить полиамидная для технических тканей. Технические условия» ГОСТ 16218.0-93 «Изделия текстильно-галантерейные. Правила приемки и метод отбора проб» ГОСТ 16218.2-93 «Изделия текстильно-галантерейные. Метод определения линейной плотности и массы» ГОСТ 16218.4-93 «Изделия текстильно-галантерейные. Метод определения плотности» ГОСТ 16218.5-93 «Изделия текстильно-галантерейные. Метод определения разрывной нагрузки и разрывного удлинения при растяжении» ГОСТ 19411-88 «Изделия текстильно-галантерейные тканые, плетеные, вязаные, витые метражные и штучные. Маркировка и первичная упаковка» ГОСТ 22693-98 «Нить полиамидная для резинотехнических изделий. Технические условия» ГОСТ 25617-83 «Ткани и изделия льняные, полульняные, хлопчатобумажные и смешанные. Методы химических испытаний» ГОСТ 6904-83 «Пряжа хлопчатобумажная суровая крученая для ткацкого производства. Технические условия» ГОСТ 7000-80 «Материалы текстильные. Упаковка, маркировка, транспортирование и хранение» ГОСТ 7730-89 «Пленка целлюлозная. Технические условия» ГОСТ 7933-89 «Картон для потребительской тары. Общие технические условия» ГОСТ 9733.0-83 «Материалы текстильные. Общие требования к методам испытаний устойчивости окрасок к физико-химическим воздействиям» ГОСТ 9733.27-83 «Материалы текстильные. Метод испытания устойчивости окраски к трению» ГОСТ 9733.5-83 «Материалы текстильные. Метод испытаний устойчивости окраски к дистиллированной воде»  ГОСТ Р 1.4-2004 «Стандартизация в Российской Федерации. Стандарты организаций. Общие положения»  ГОСТ 12301-2006 «Коробки из картона, бумаги и комбинированных материалов. Общие технические условия»
|
                    
|