Скачать Типовой проект 810-1-29.88 Альбом 7. Спецификации оборудованияДата актуализации: 01.01.2021
|
| Обозначение: | Типовой проект 810-1-29.88 |
| Обозначение англ: | 810-1-29.88 |
| Статус: | не определен законодательством |
| Название рус.: | Альбом 7. Спецификации оборудования |
| Дата добавления в базу: | 01.09.2013 |
| Дата актуализации: | 01.01.2021 |
| Дата введения: | 18.10.1988 |
| Дата окончания срока действия: | 30.06.2003 |
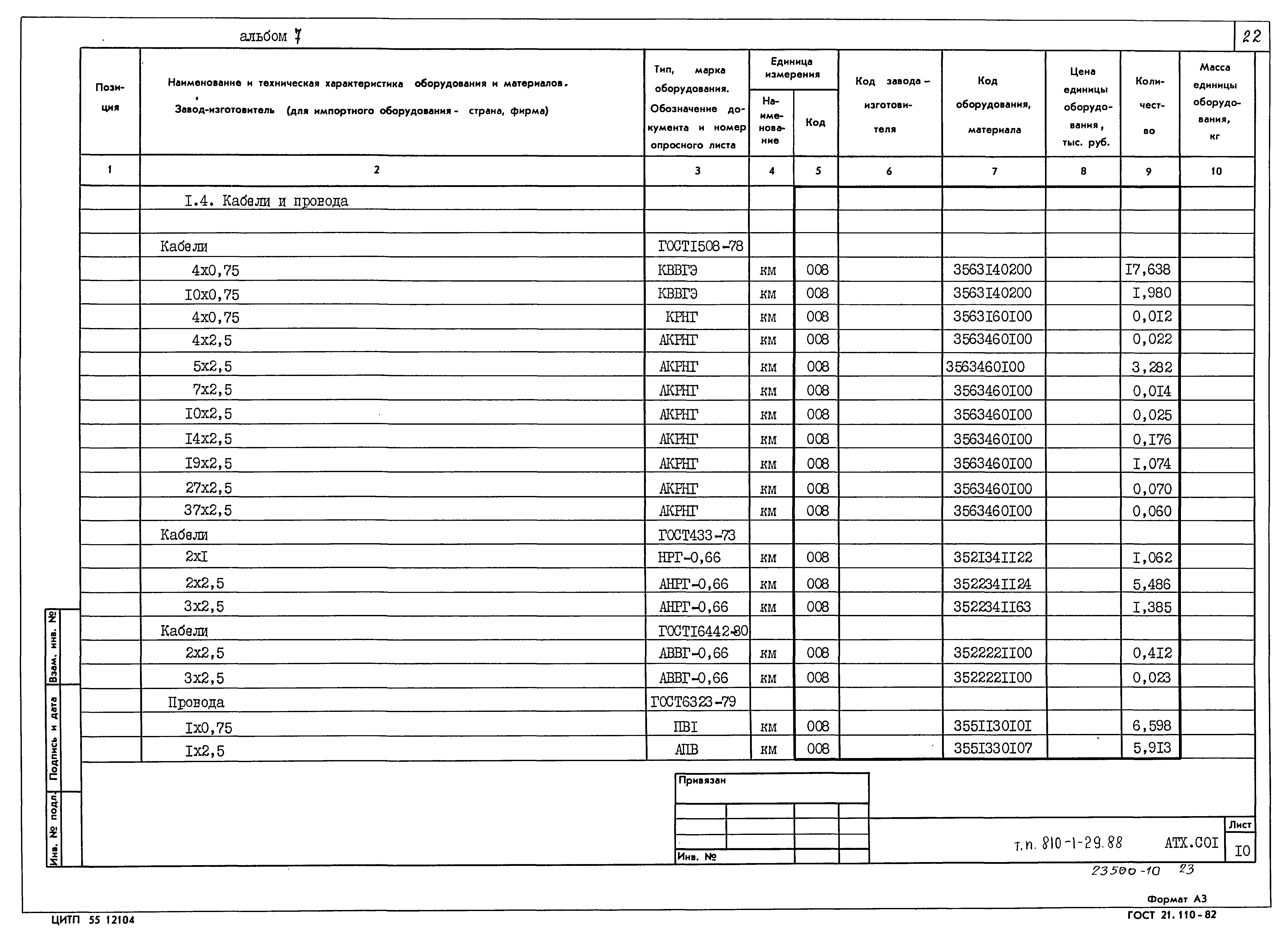
| Оглавление: | ТП 810-1-29.88 ТХ.СО Спецификация оборудования ТП 810-1-29.88 АТХ.СО Спецификация оборудования ТП 810-1-29.88 ЭО.СО Спецификация оборудования ТП 810-1-29.88 ЭД.СО Спецификация оборудования ТП 810-1-29.88 ГС.СО Спецификация оборудования ТП 810-1-29.88 ТС.СО Спецификация оборудования ТП 810-1-29.88 СС.СО Спецификация оборудования ТП 810-1-29.88 ОВ.СО Спецификация оборудования ТП 810-1-29.88 ВК.СО Спецификация оборудования ТП 810-1-29.88 ЭМ.СО Спецификация оборудования |
| Разработан: | Гипронисельпром Госагропрома СССР |
| Утверждён: | 15.07.1987 Госагропром СССР (USSR Gosagroprom 549) |
















































































