Скачать Прейскуранты на наружные сети водопровода и канализации

Дата актуализации: 01.01.2021

Прейскуранты на наружные сети водопровода и канализации

Статус:действует
Название рус.:Прейскуранты на наружные сети водопровода и канализации
Дата добавления в базу:01.09.2013
Дата актуализации:01.01.2021
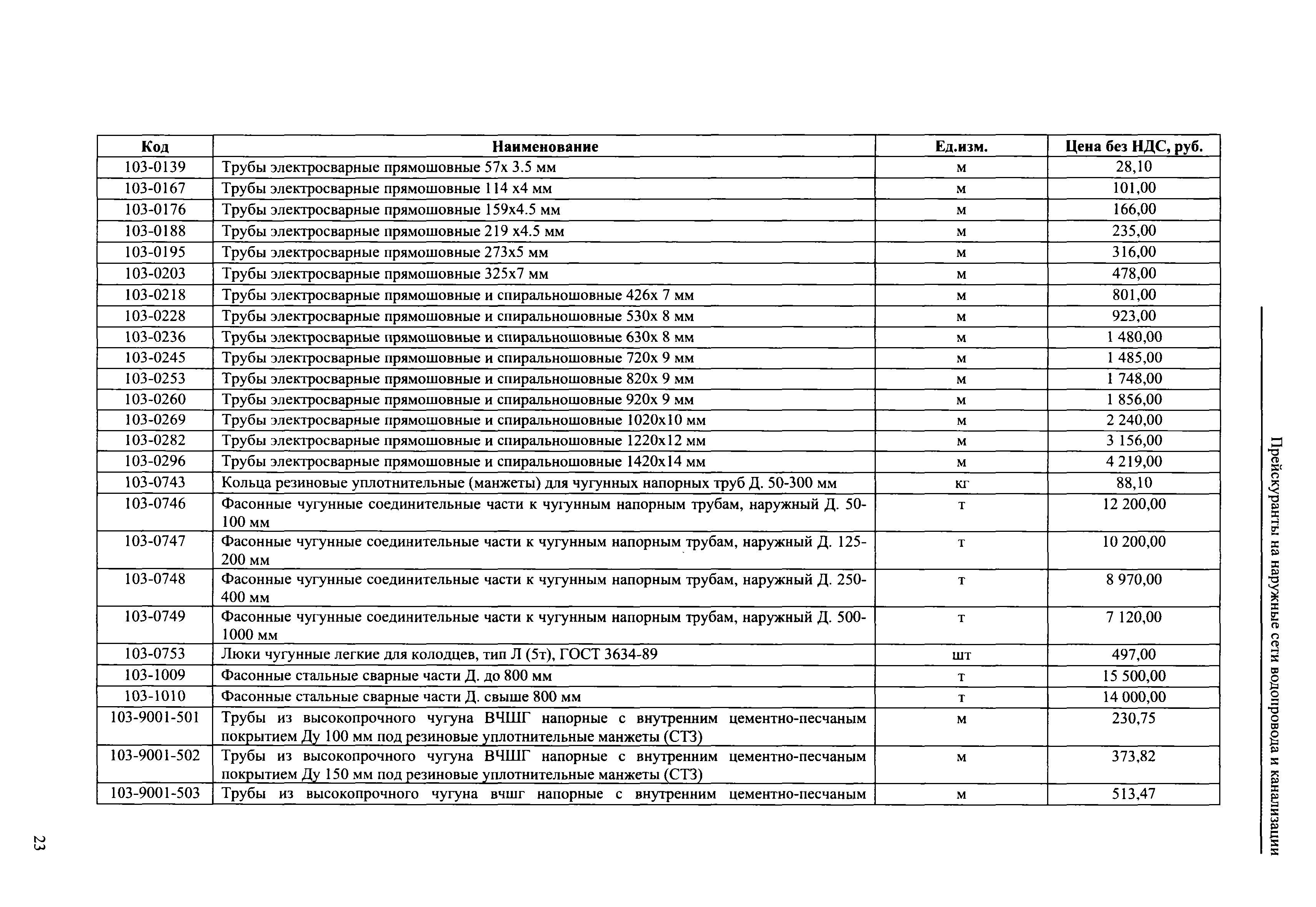
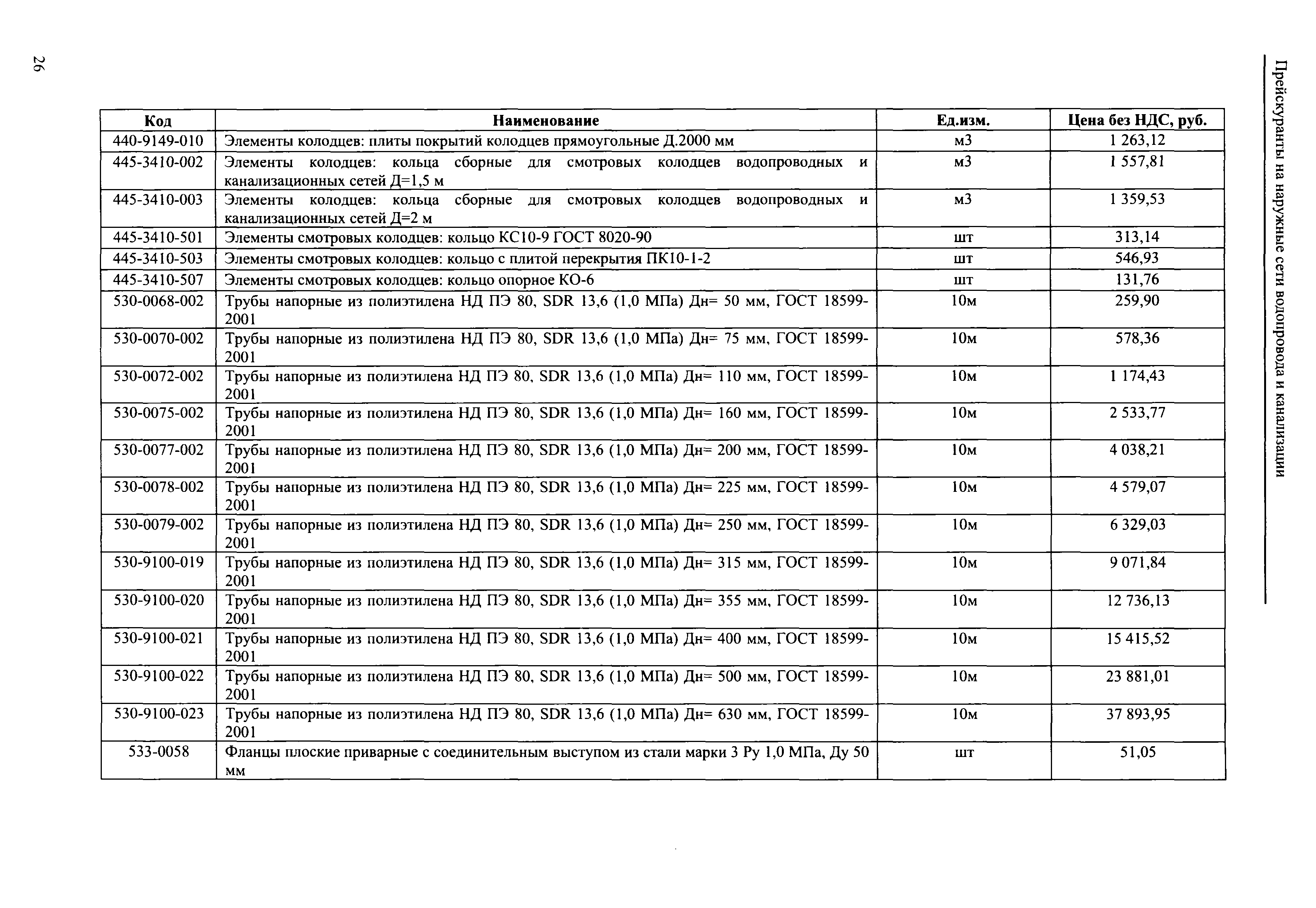
Область применения:Прейскуранты на строительство подземных уличных и внутриквартальных инженерных сетей водопровода и канализации предназначены для определения стоимости работ при разработке инвестиционных обоснований, торгов, рабочих проектов.
Оглавление:Общая часть
Приложение 1
Сборник показателей стоимости на виды работ
Сети водоснабжения и водоотведения
Раздел 01. Сети водоснабжения
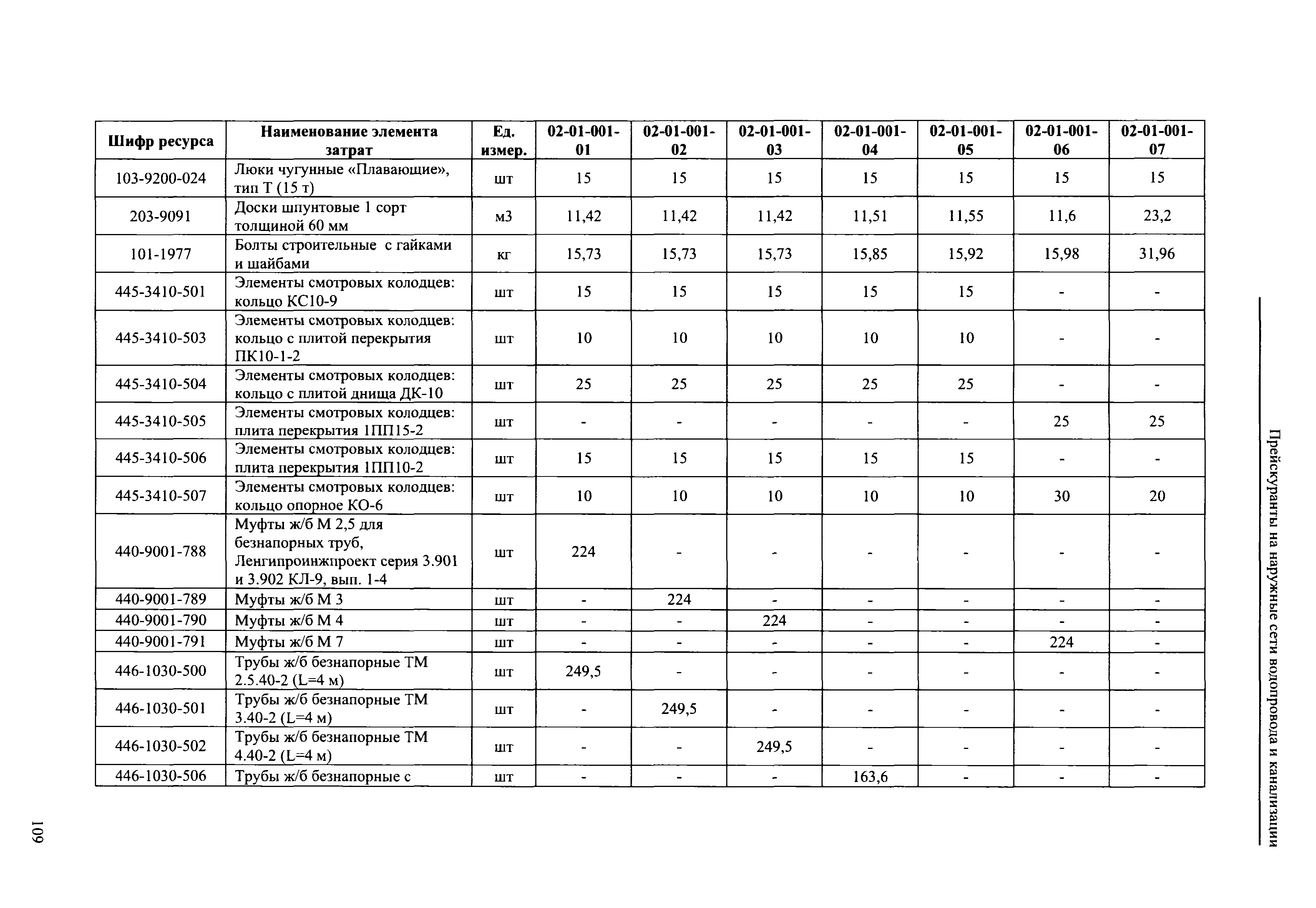
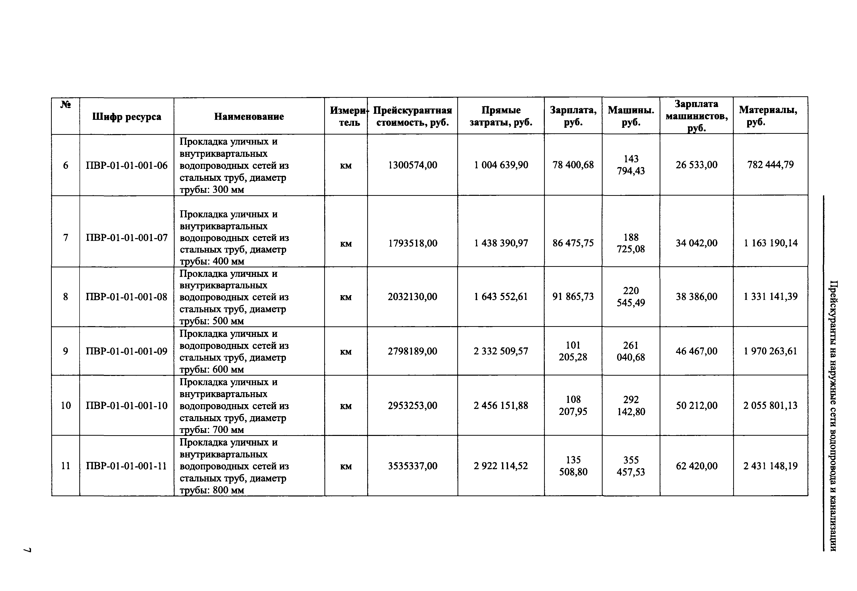
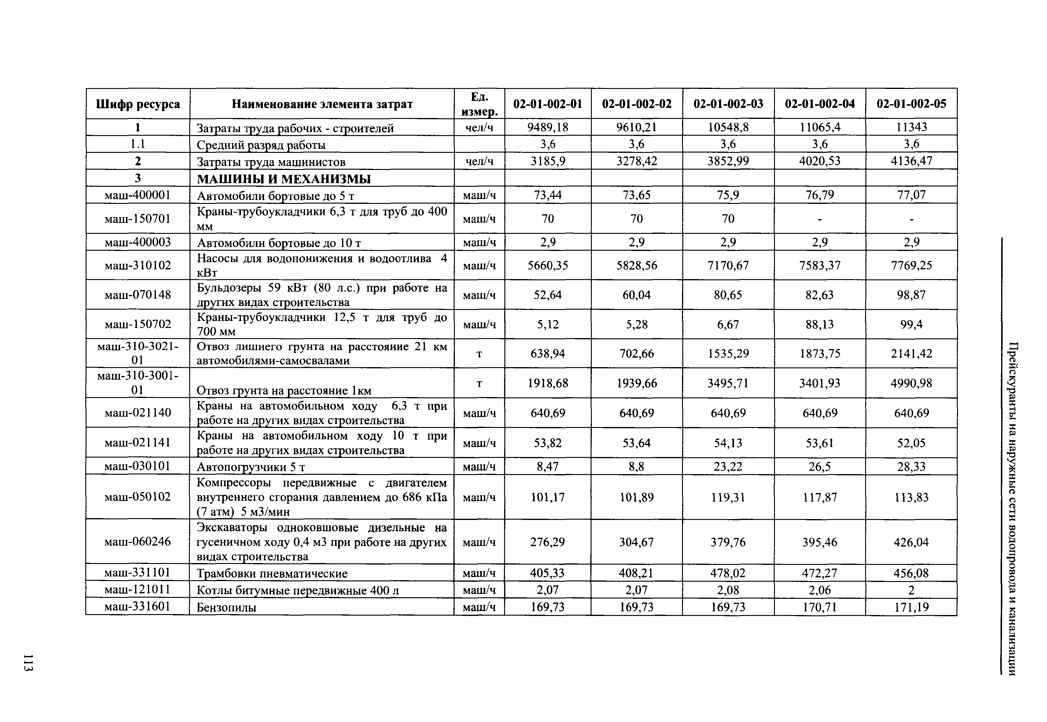
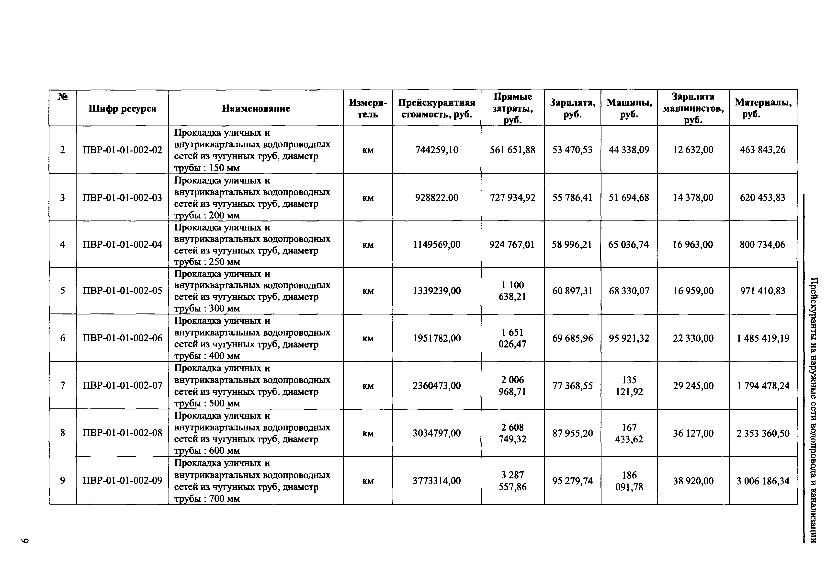
   01. Прокладка уличных и внутриквартальных сетей водоснабжения
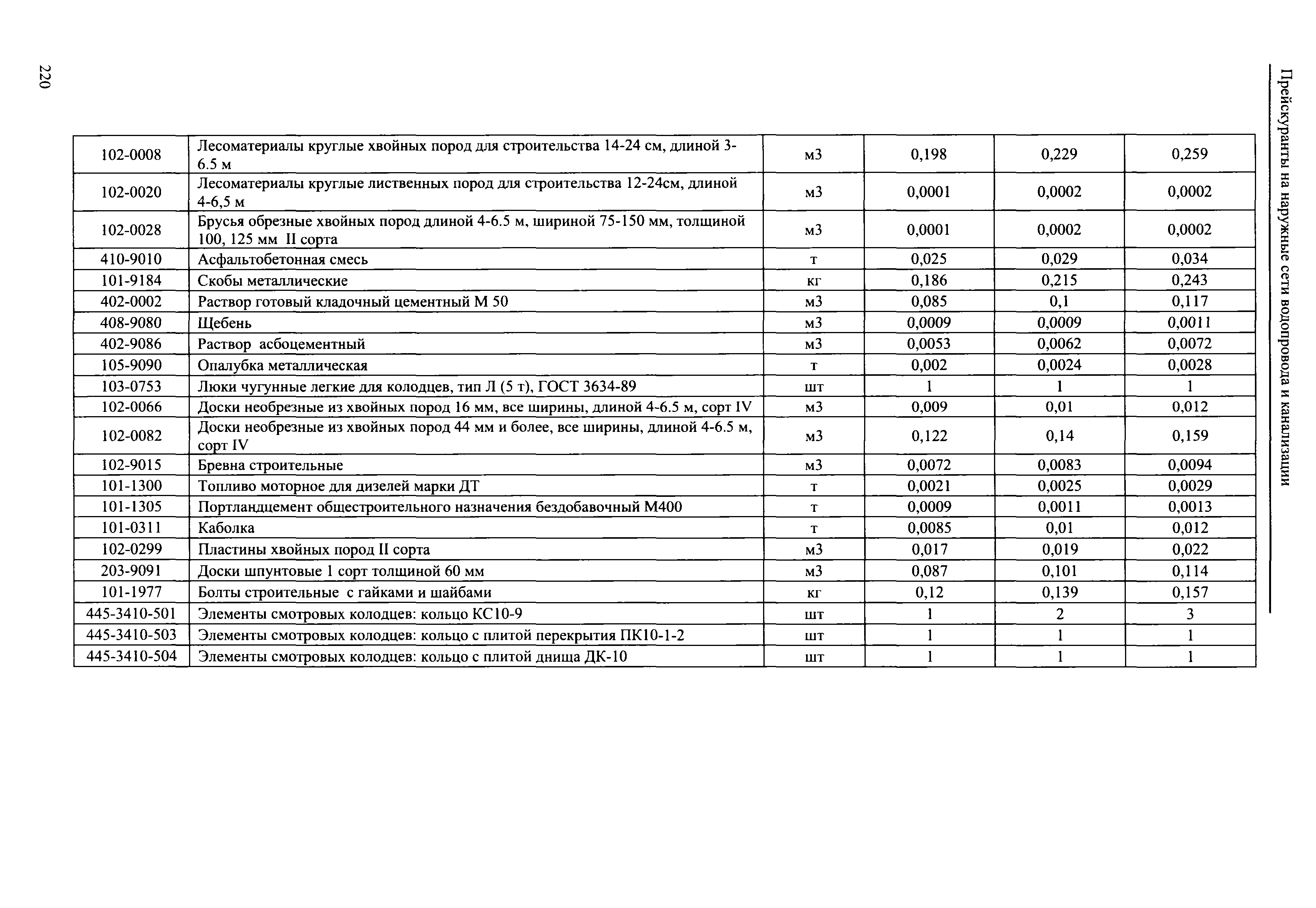
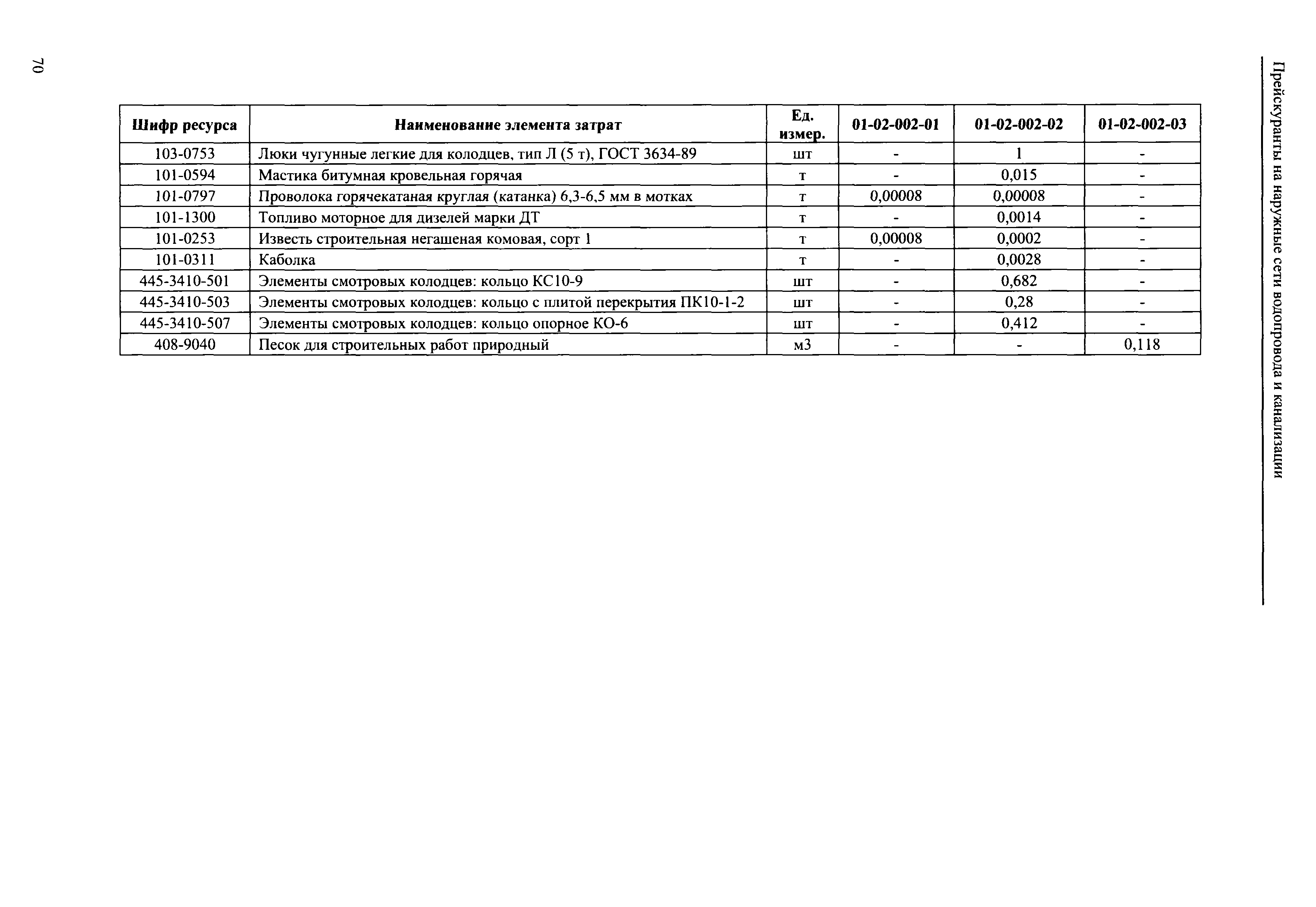
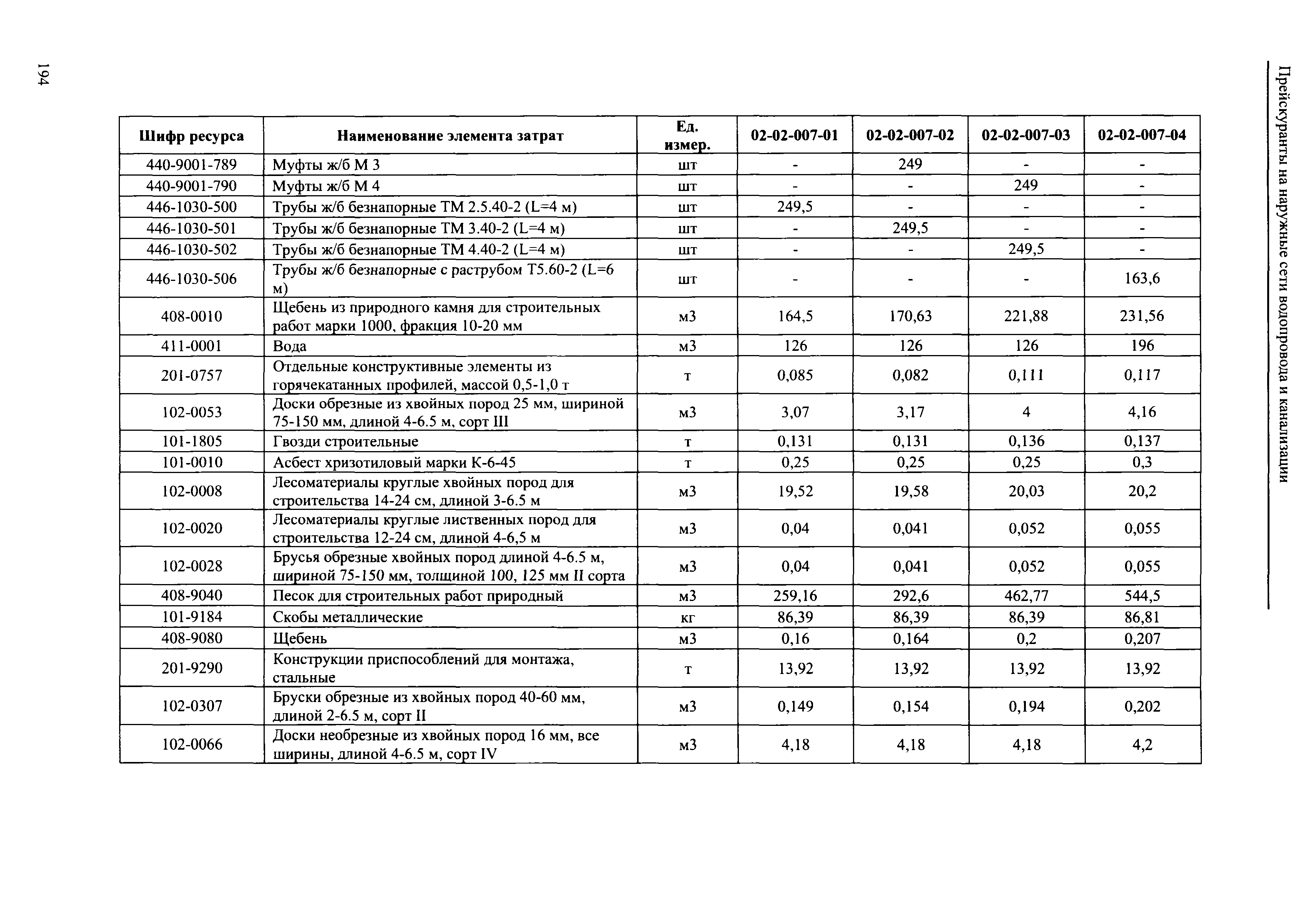
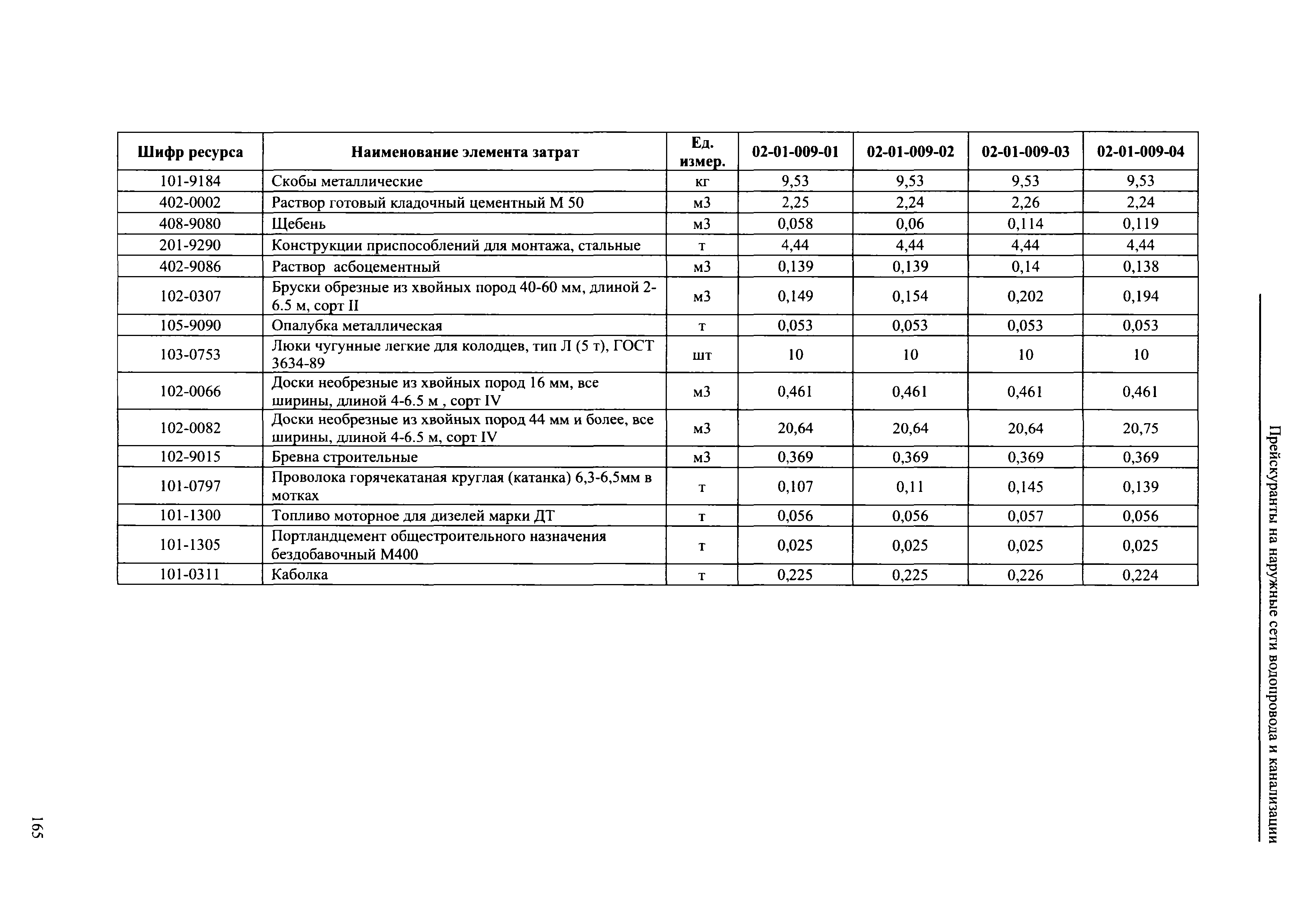
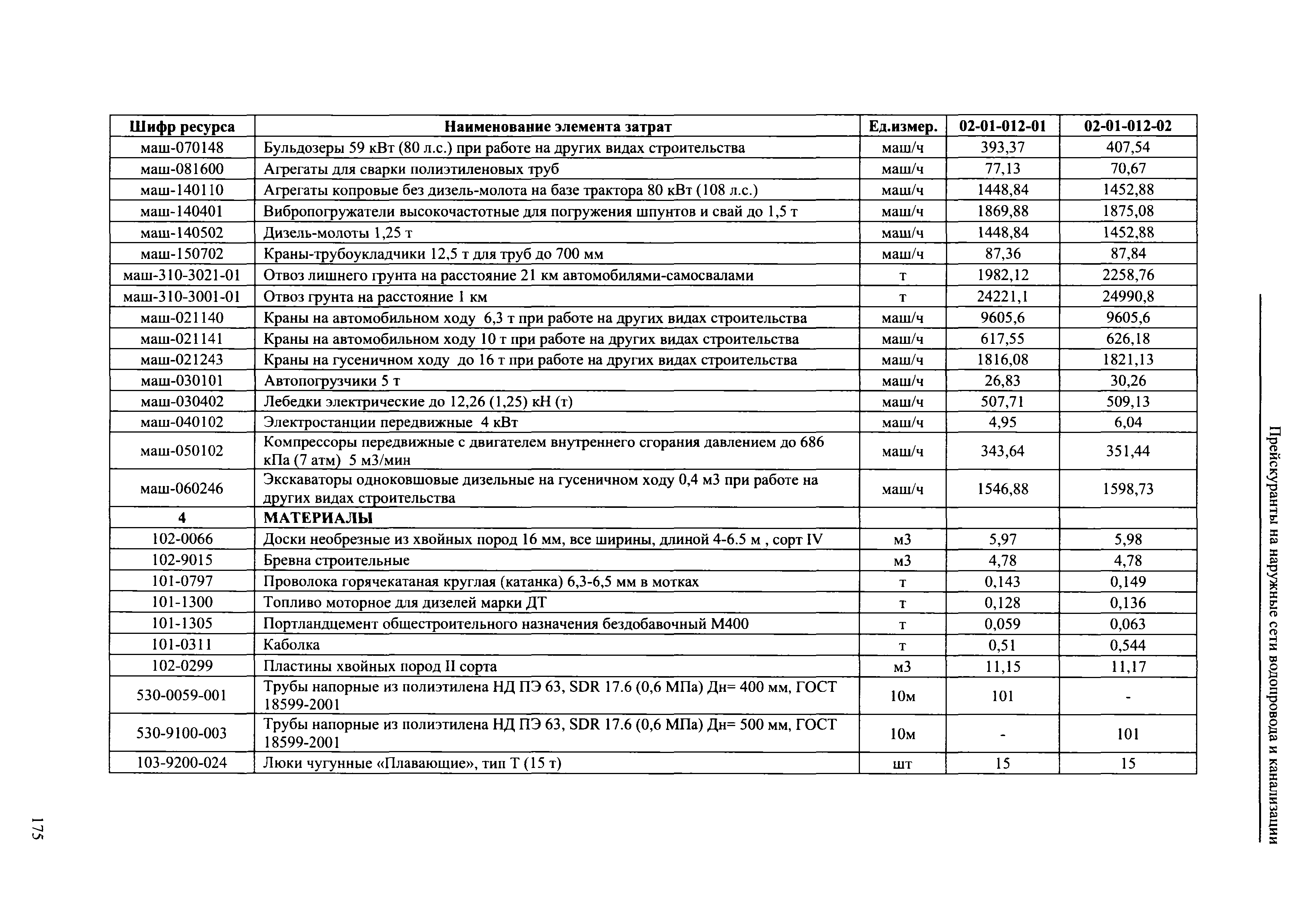
   02. Установка колодцев из сборного железобетона при прокладке уличных и внутриквартальных сетей водоснабжения
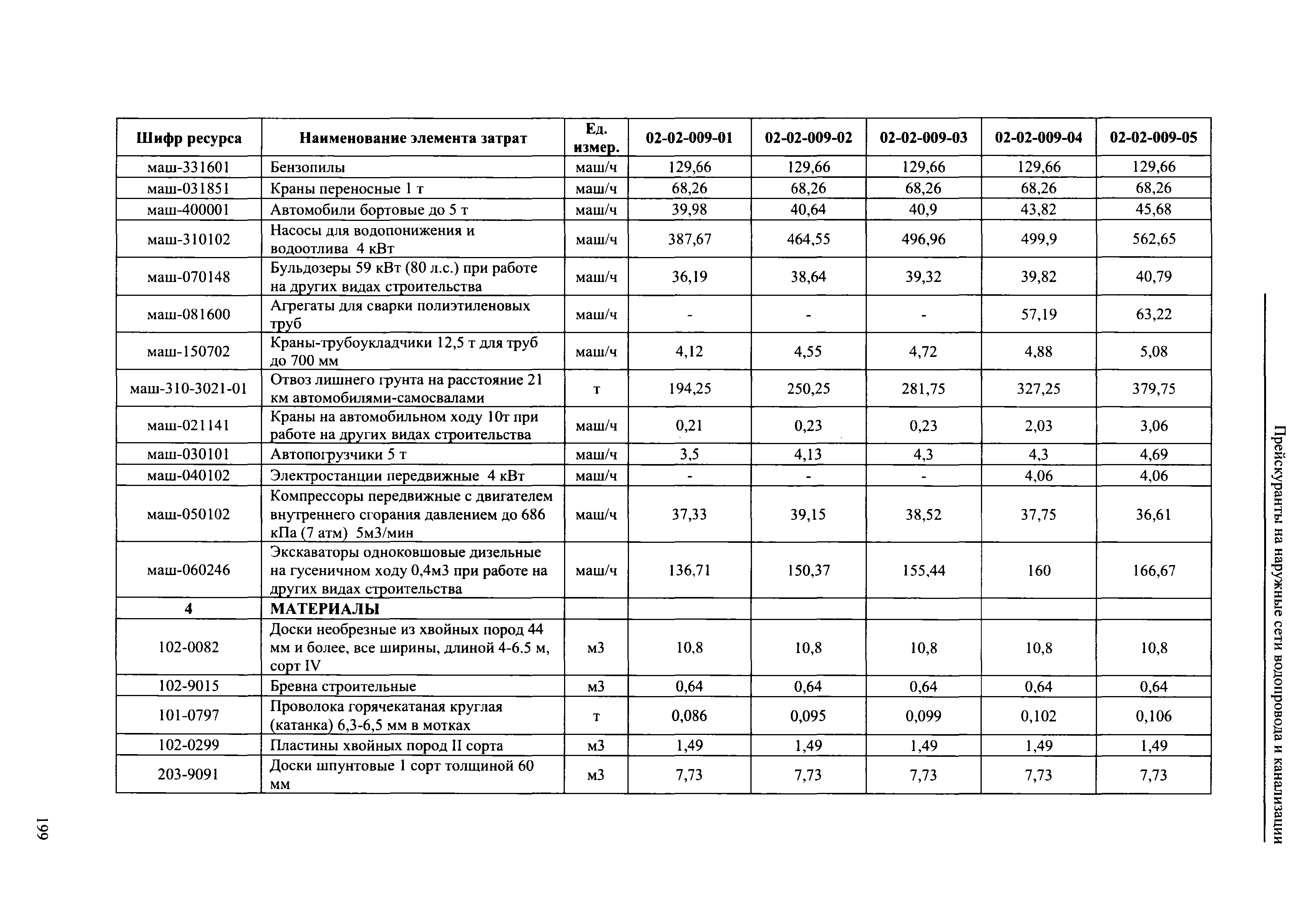
Сборник сметных расценок на эксплуатацию строительных машин II сметных цен на материалы, изделия и конструкции в базисных ценах по состоянию на 01.01.2000 г. (учтены в сборнике ПР-2001 СПБ М01 "Водопроводные сети")
Эксплуатация строительных машин
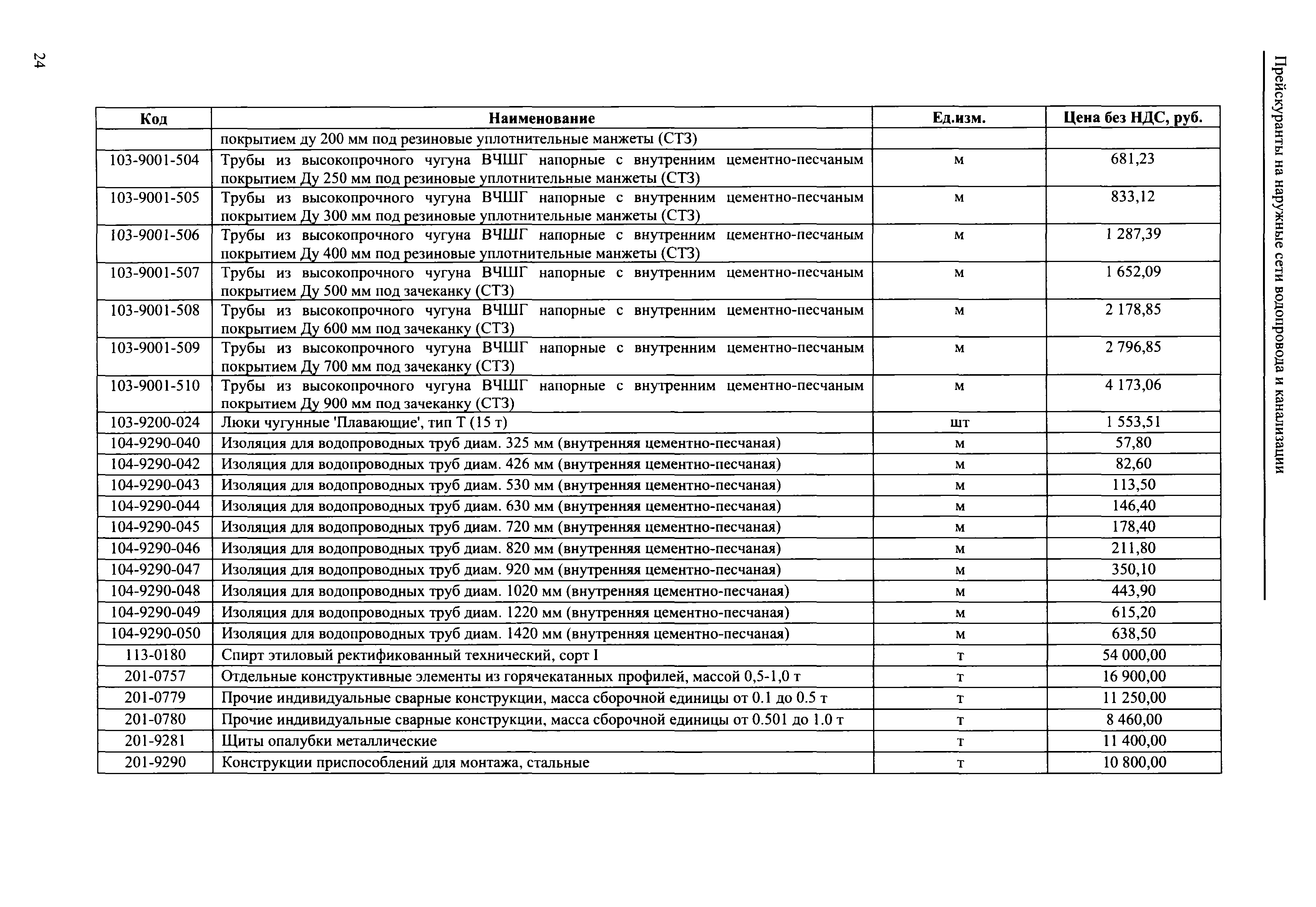
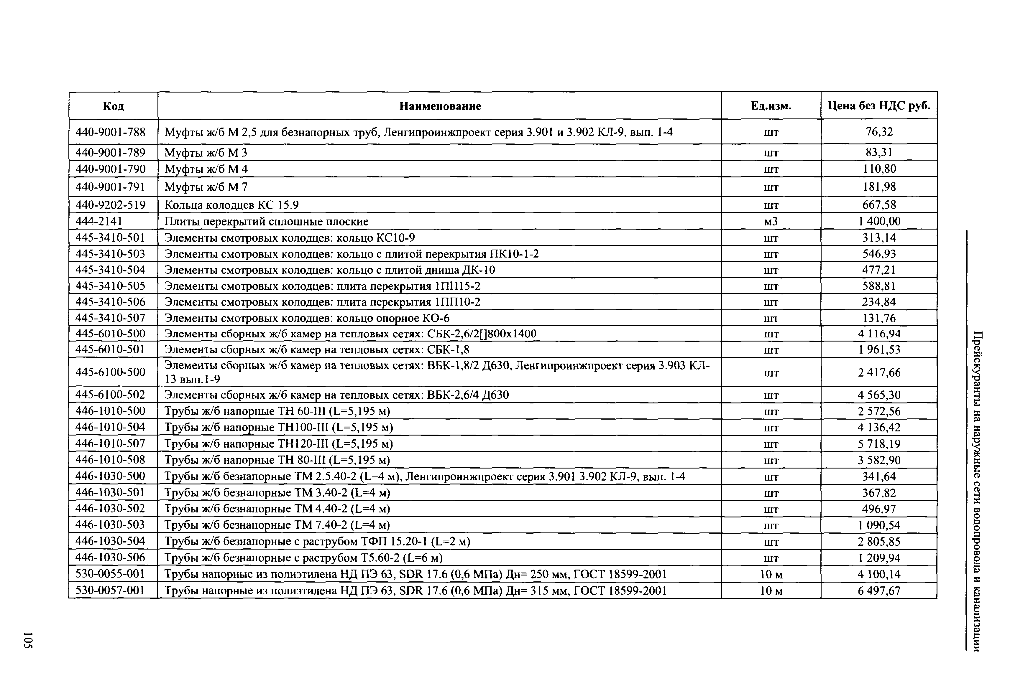
Сметные цены на материальные ресурсы
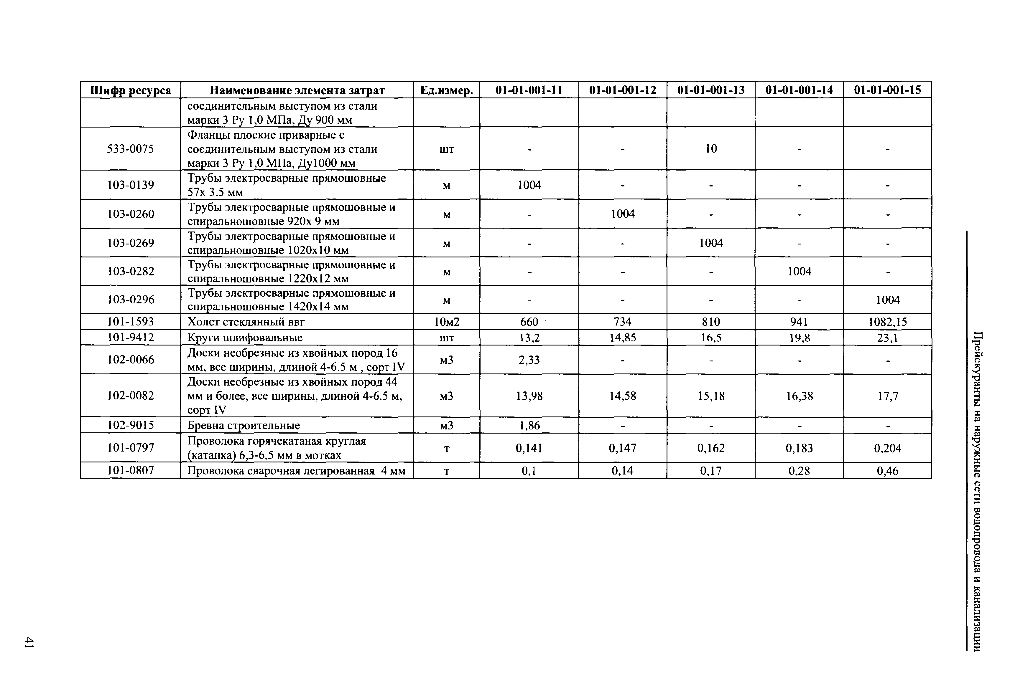
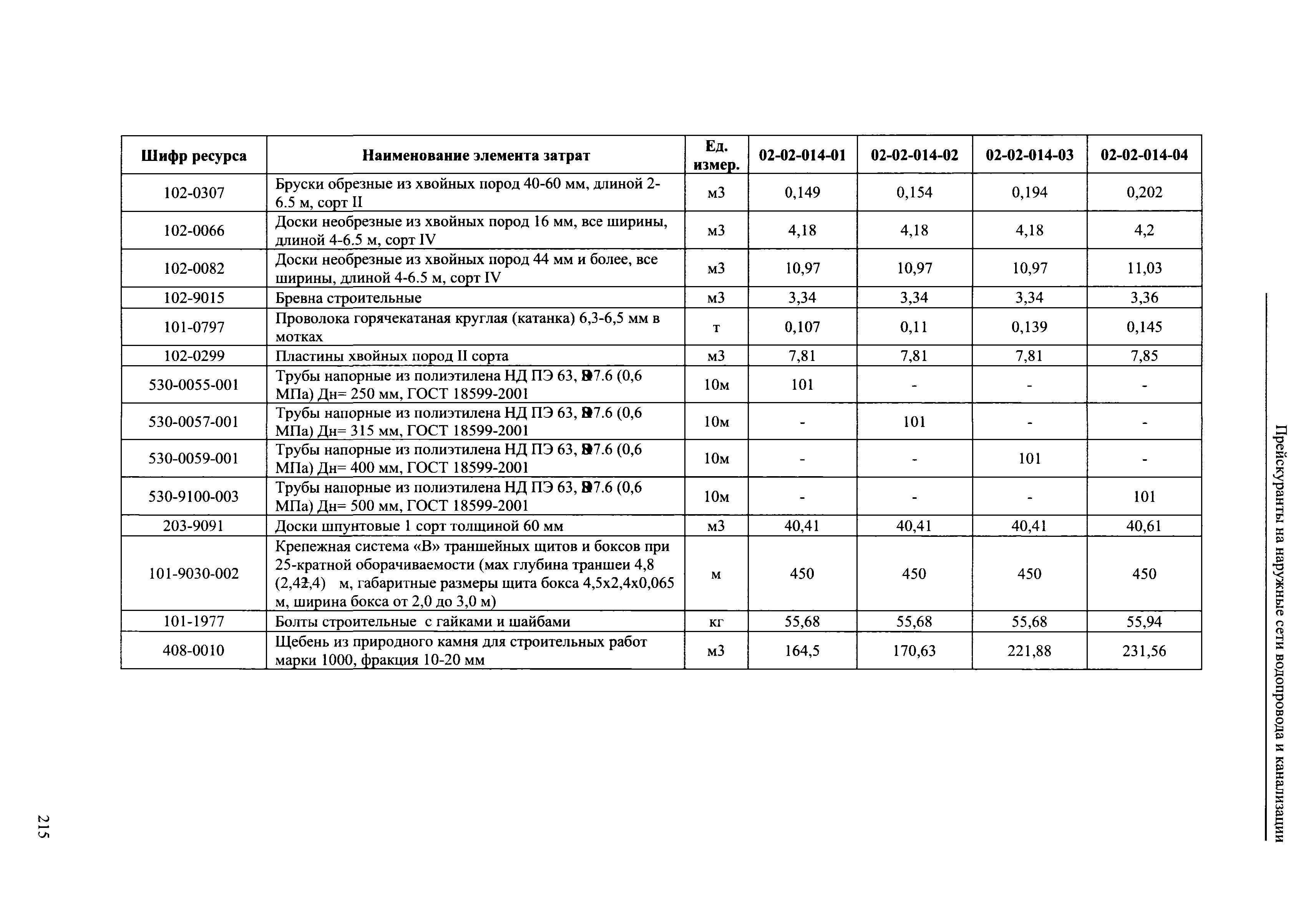
Элементные сметные нормы
Раздел 01. Сети водоснабжения
   01. Прокладка уличных и внутриквартальных сетей водоснабжения
   02. Установка колодцев из сборного железобетона при прокладке уличных и внутриквартальных сетей водоснабжения
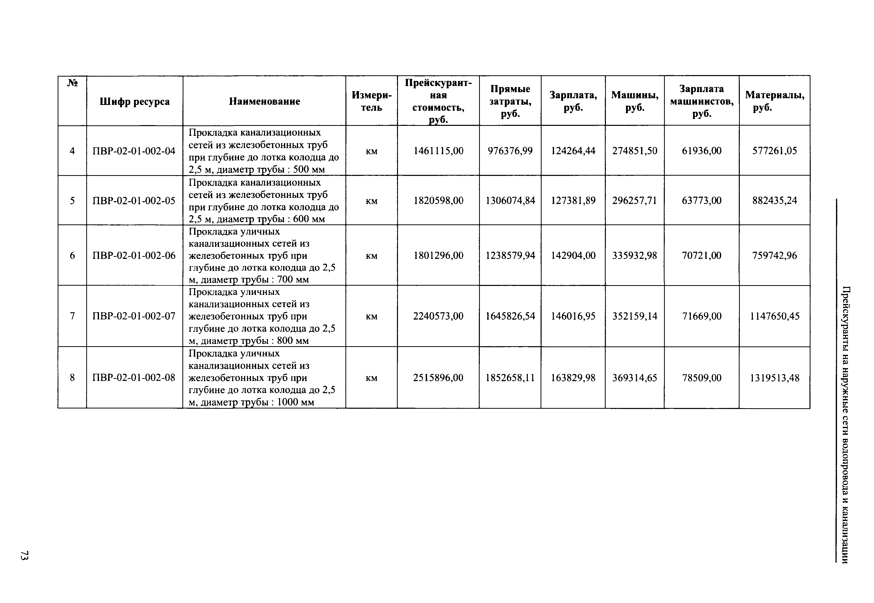
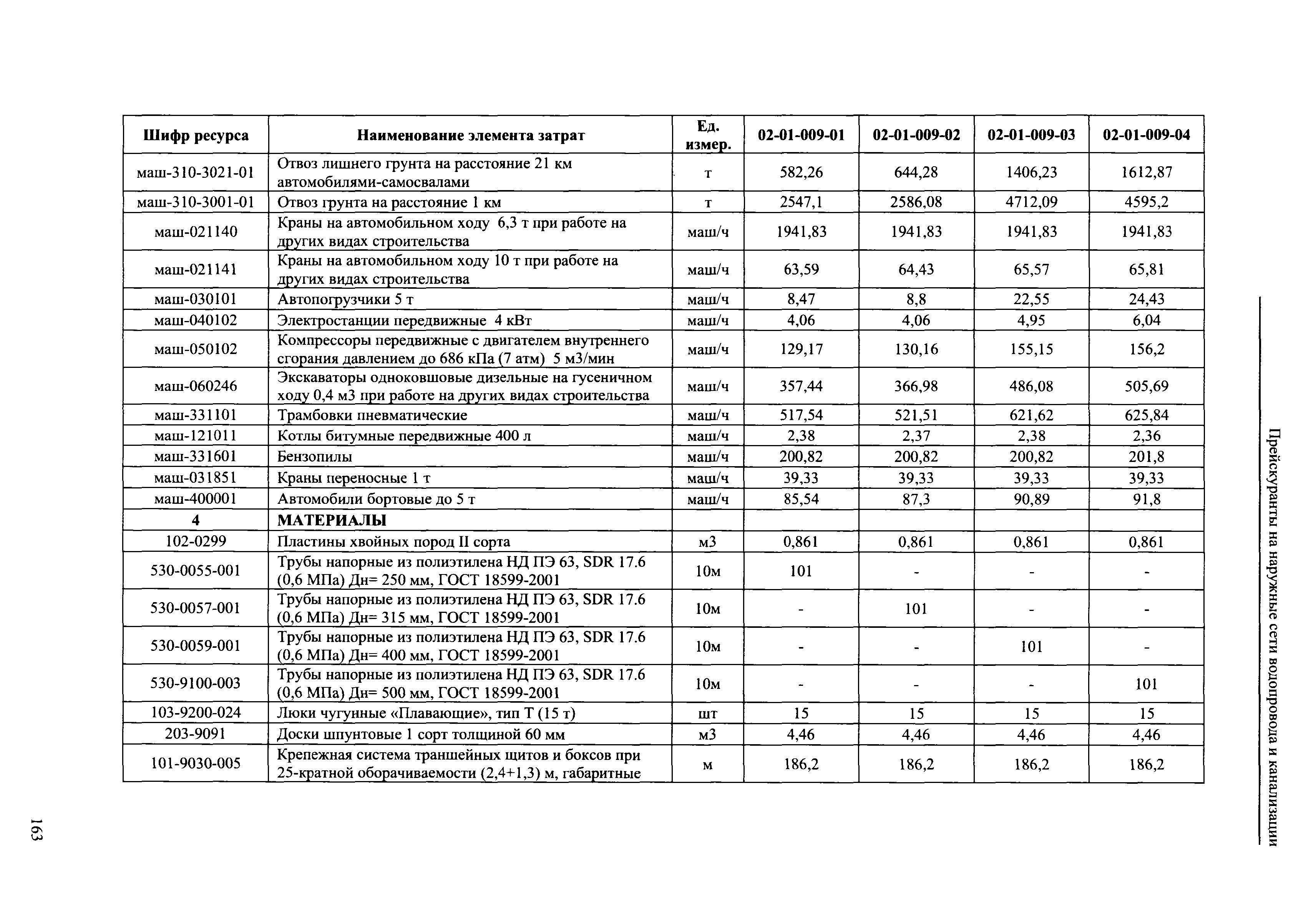
Раздел 02. Канализационные сети
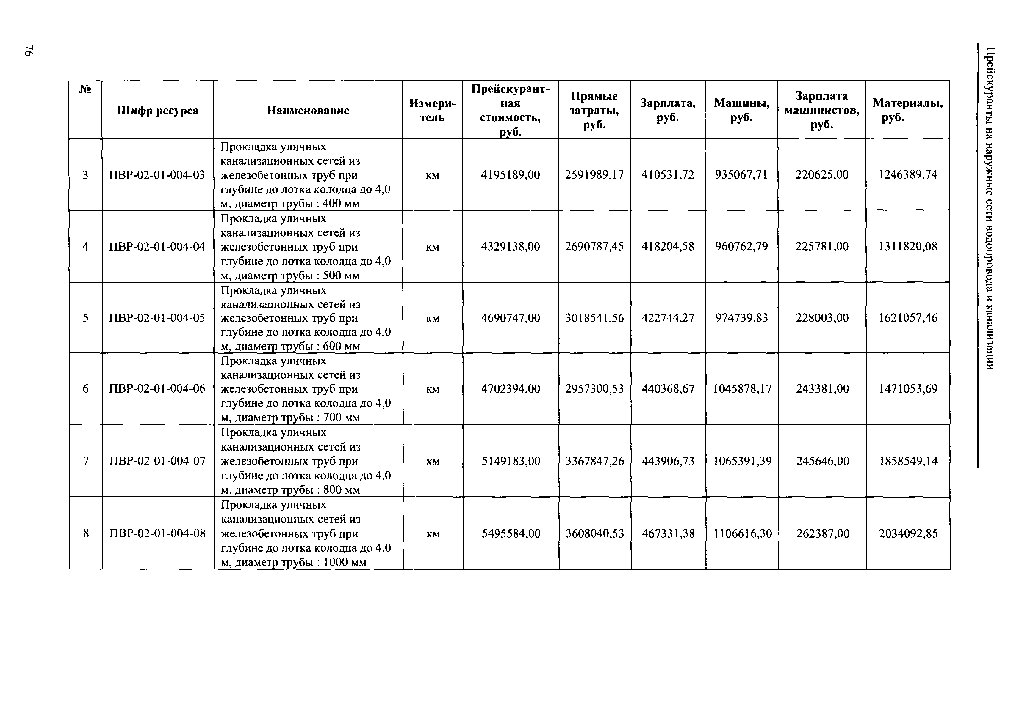
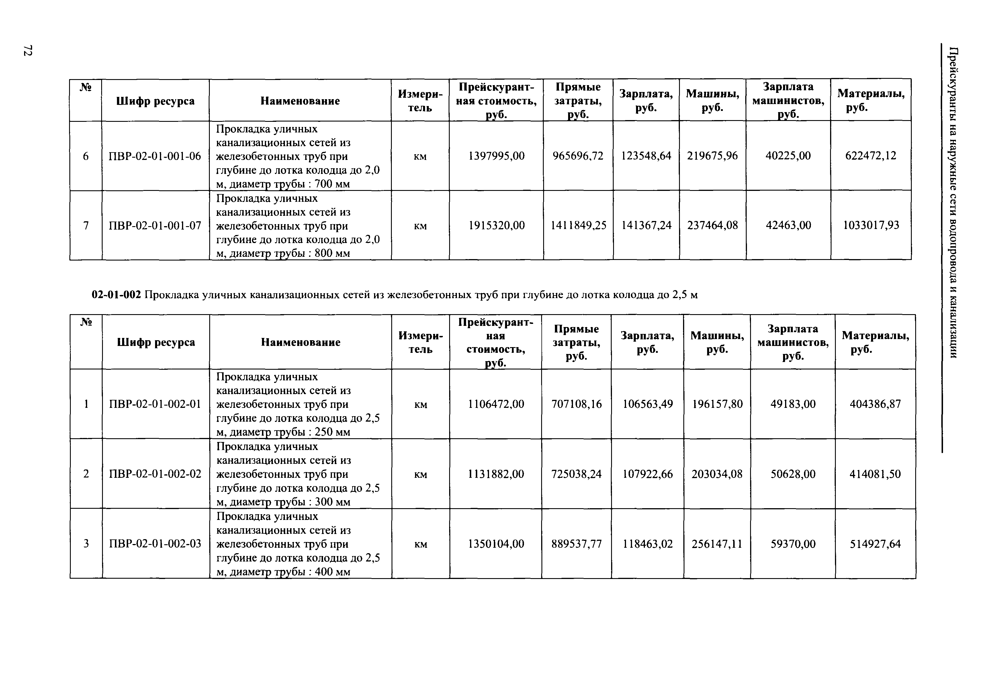
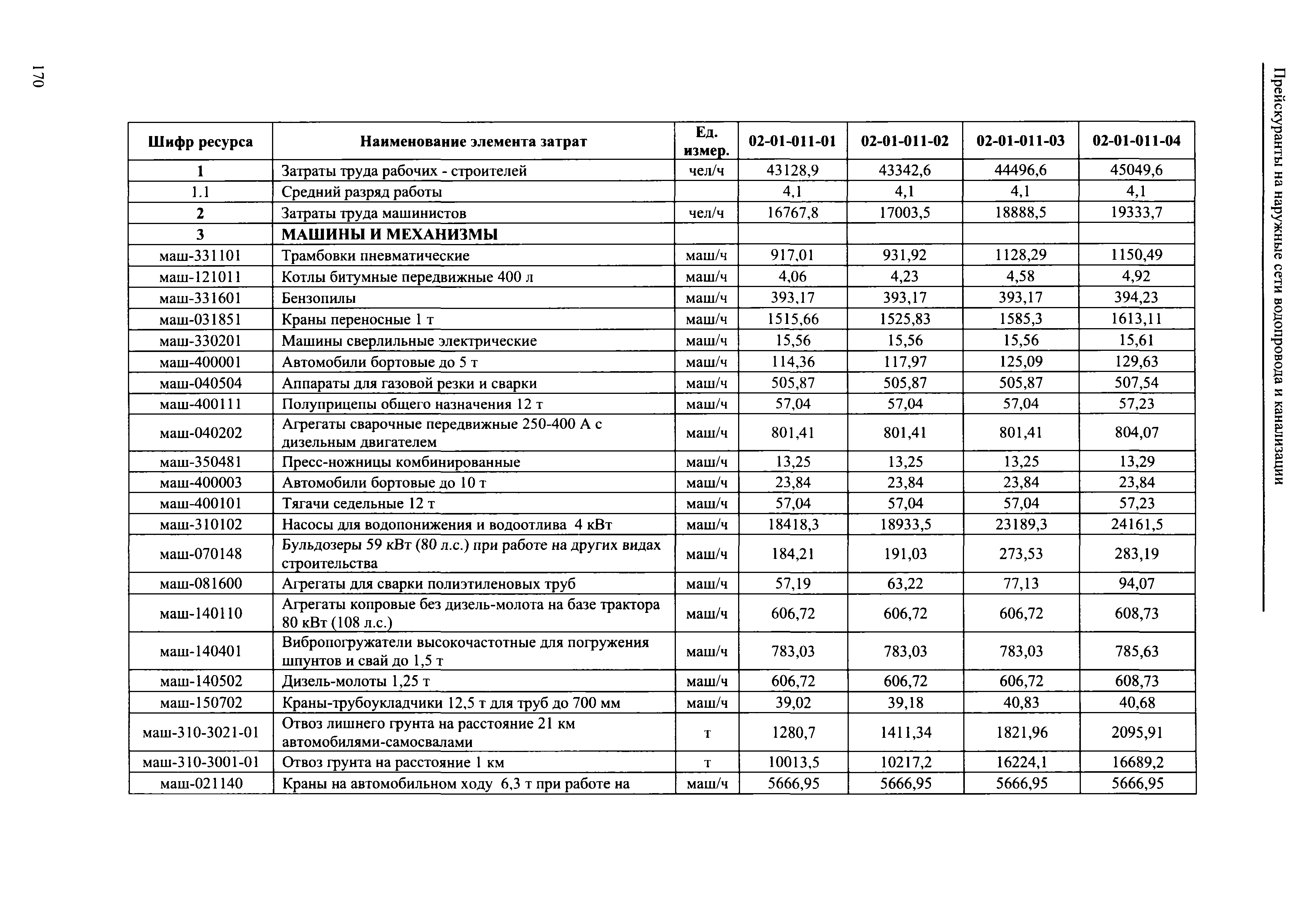
   01. Прокладка уличных канализационных сетей
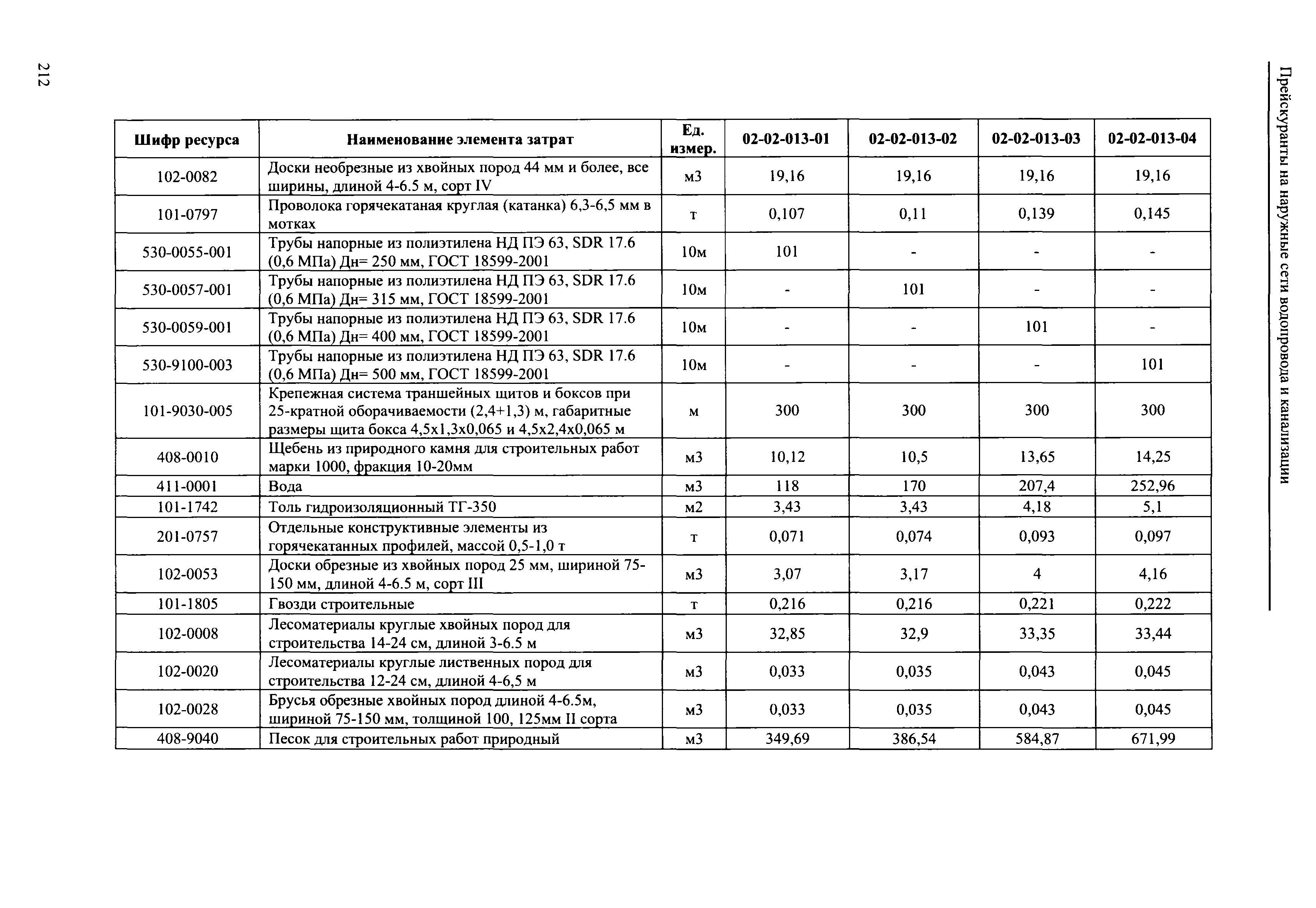
   02. Прокладка внутриквартальных сетей канализации, канализационных выводов от зданий и присоединение их к уличным сетям
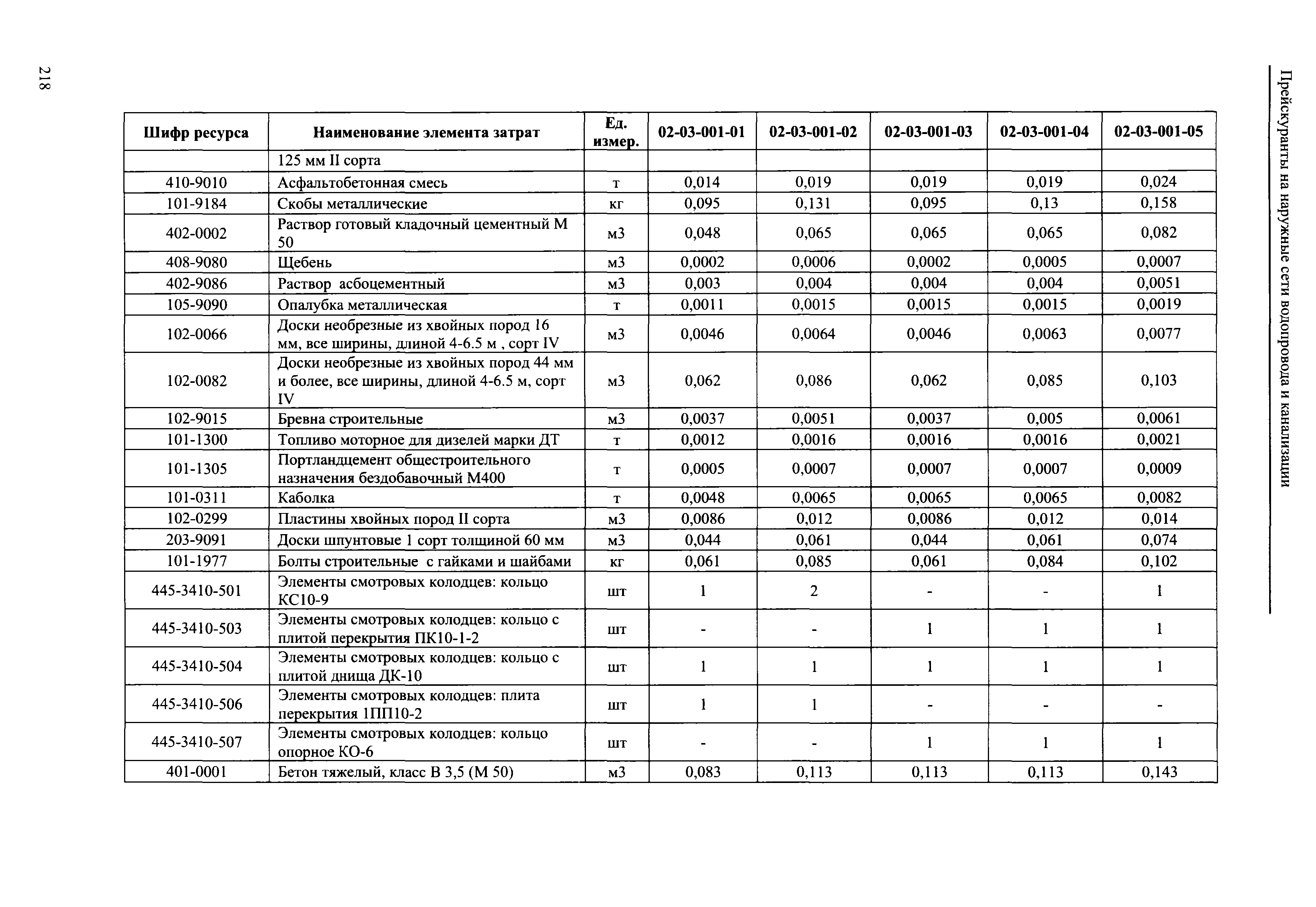
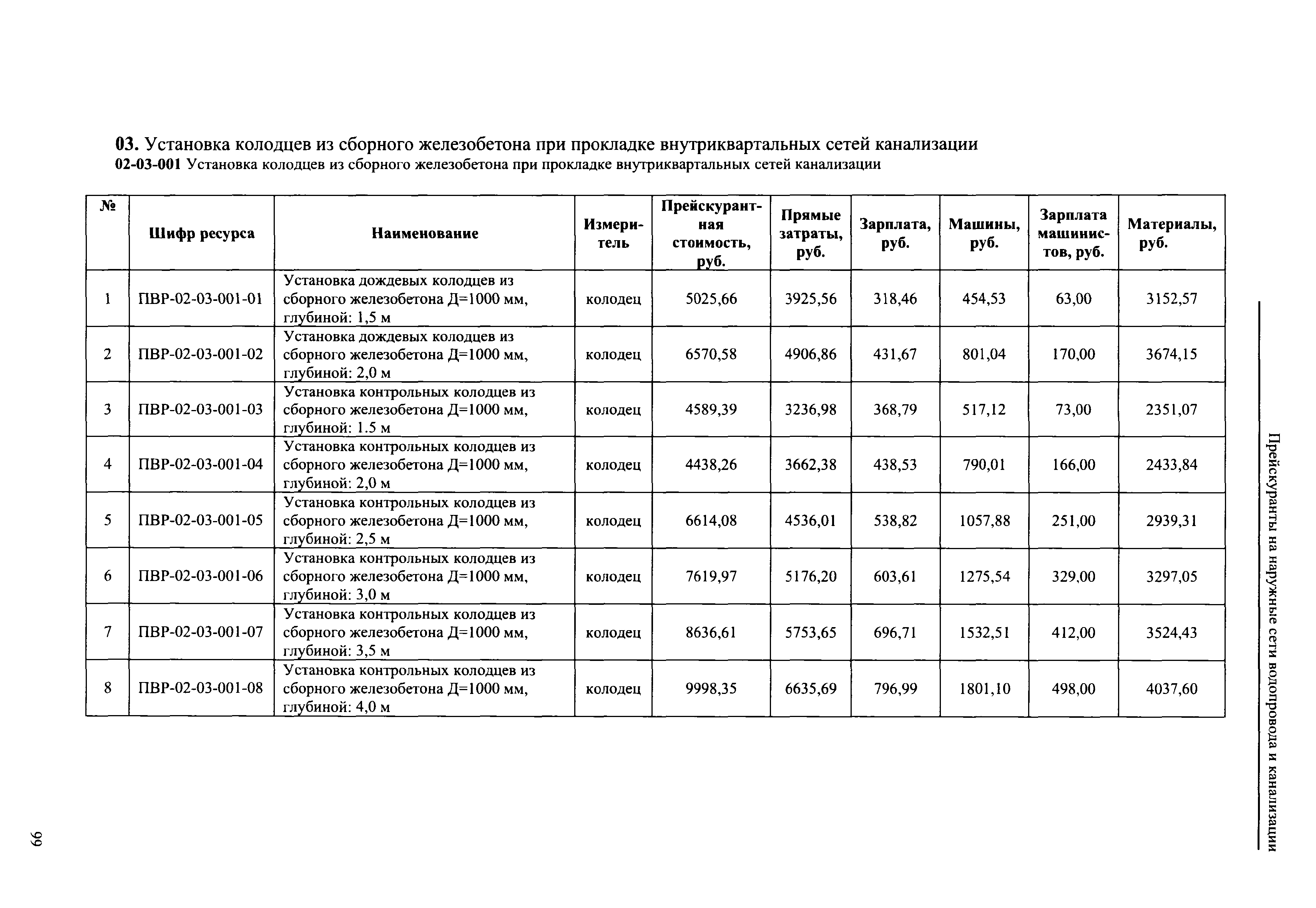
   03. Установка колодцев из сборного железобетона при прокладке внутриквартальных сетей канализации
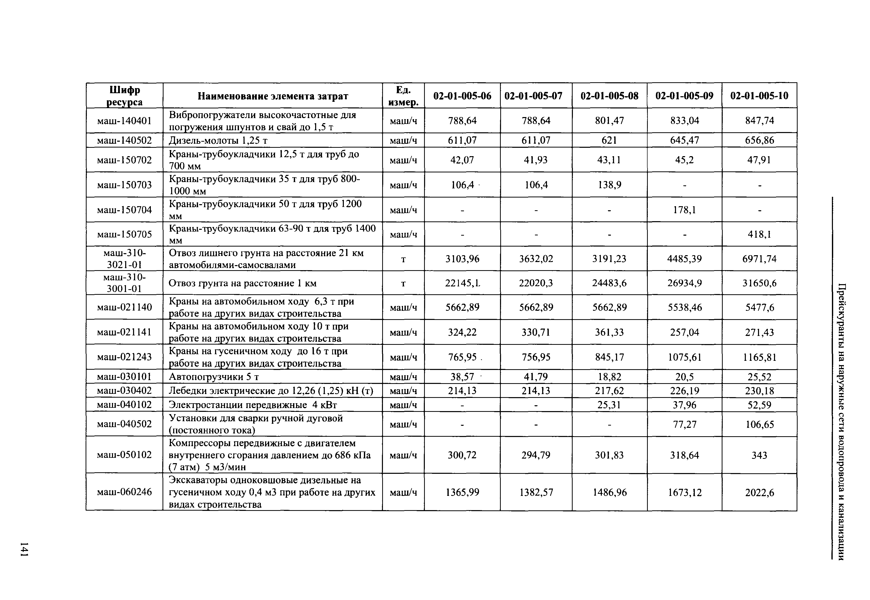
Сборник сметных расценок на эксплуатацию строительных машин II сметных цен на материалы, изделия и конструкции в базисных ценах по состоянию на 01.01.2000 г. (учтены в сборнике ПР-2001 СПБ № 02 "Канализационные сети")
Эксплуатация строительных машин
Сметные цены на материальные ресурсы
Раздел 02. Сети канализации
   01. Прокладка уличных канализационных сетей
   02. Прокладка внутриквартальных сетей канализации, канализационных выводов от зданий и присоединение их к уличным сетям
   03. Установка колодцев из сборного железобетона при прокладке внутриквартальных сетей канализации
Разработан: Центр мониторинга и экспертизы цен
Утверждён:08.12.2003 Комитет экономического развития, промышленной политики и торговли Администрации Санкт-Петербурга (58-р)
02.07.2007 Комитет экономического развития, промышленной политики и торговли Администрации Санкт-Петербурга (170-р)
11.03.2008 Комитет экономического развития, промышленной политики и торговли Администрации Санкт-Петербурга (214-р)
Издан: Центр мониторинга и экспертизы цен (2008 г. )
Заменяет собой:
  • ПР 2001-СПб «Прейскурант на наружные сети водопровода и канализации» (2004 год)