Скачать Административный регламент Федеральной службы по экологическому, технологическому и атомному надзору по исполнению государственной функции по выдаче разрешений на выбросы, сбросы загрязняющих веществ в окружающую средуДата актуализации: 01.01.2021 |
| Статус: | утратил силу |
| Название рус.: | Административный регламент Федеральной службы по экологическому, технологическому и атомному надзору по исполнению государственной функции по выдаче разрешений на выбросы, сбросы загрязняющих веществ в окружающую среду |
| Дата добавления в базу: | 01.09.2013 |
| Дата актуализации: | 01.01.2021 |
| Дата введения: | 19.12.2008 |
| Дата окончания срока действия: | 14.12.2012 |
| Область применения: | Регламент определяет порядок, сроки и последовательность действий (административных процедур) Федеральной службы по экологическому, технологическому и атомному надзору, ее территориальных органов (межрегиональных управлений по технологическому и экологическому надзору Ростехнадзора, управлений по технологическому и экологическому надзору Ростехнадзора по субъектам Российской Федерации), порядок взаимодействия между структурными подразделениями территориальных органов Ростехнадзора при осуществлении полномочий по выдаче разрешений на выбросы, сбросы загрязняющих веществ в окружающую среду, определенных Положением о Федеральной службе по экологическому, технологическому и атомному надзору. |
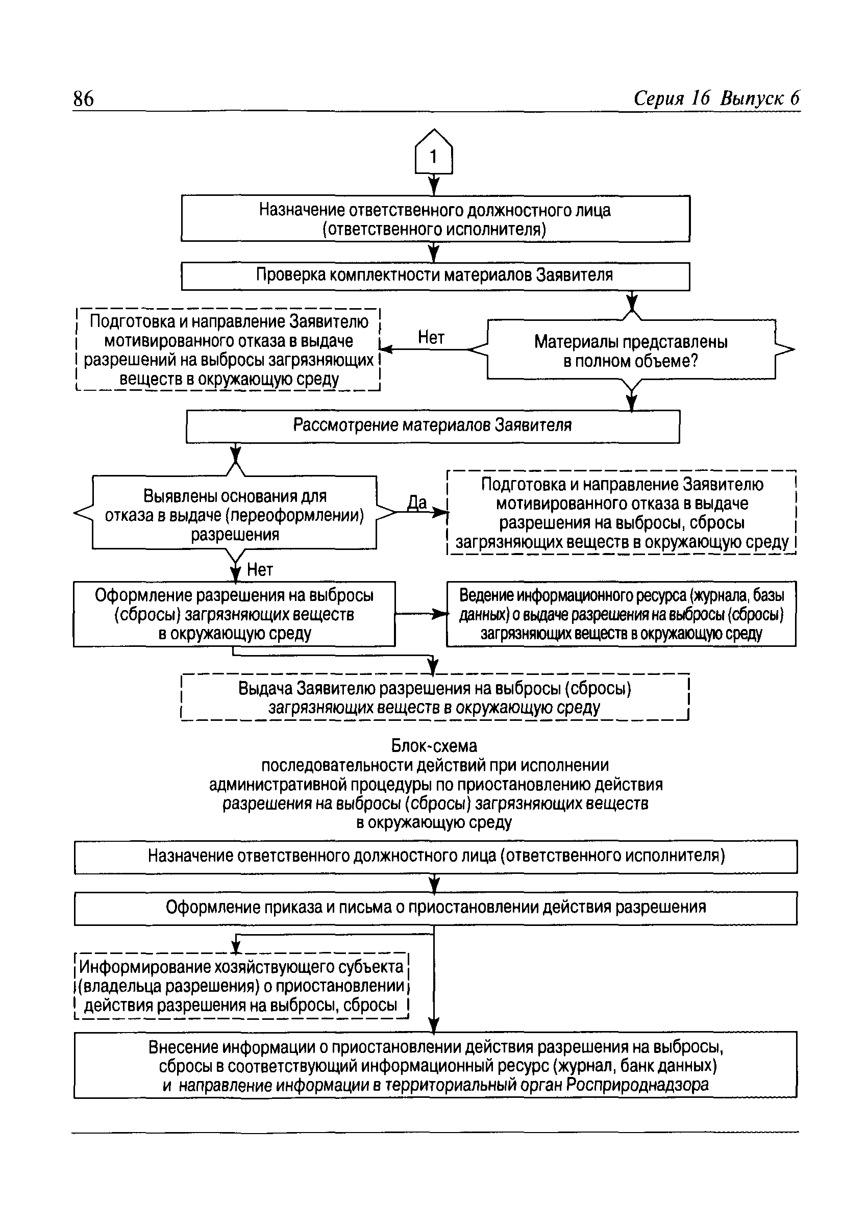
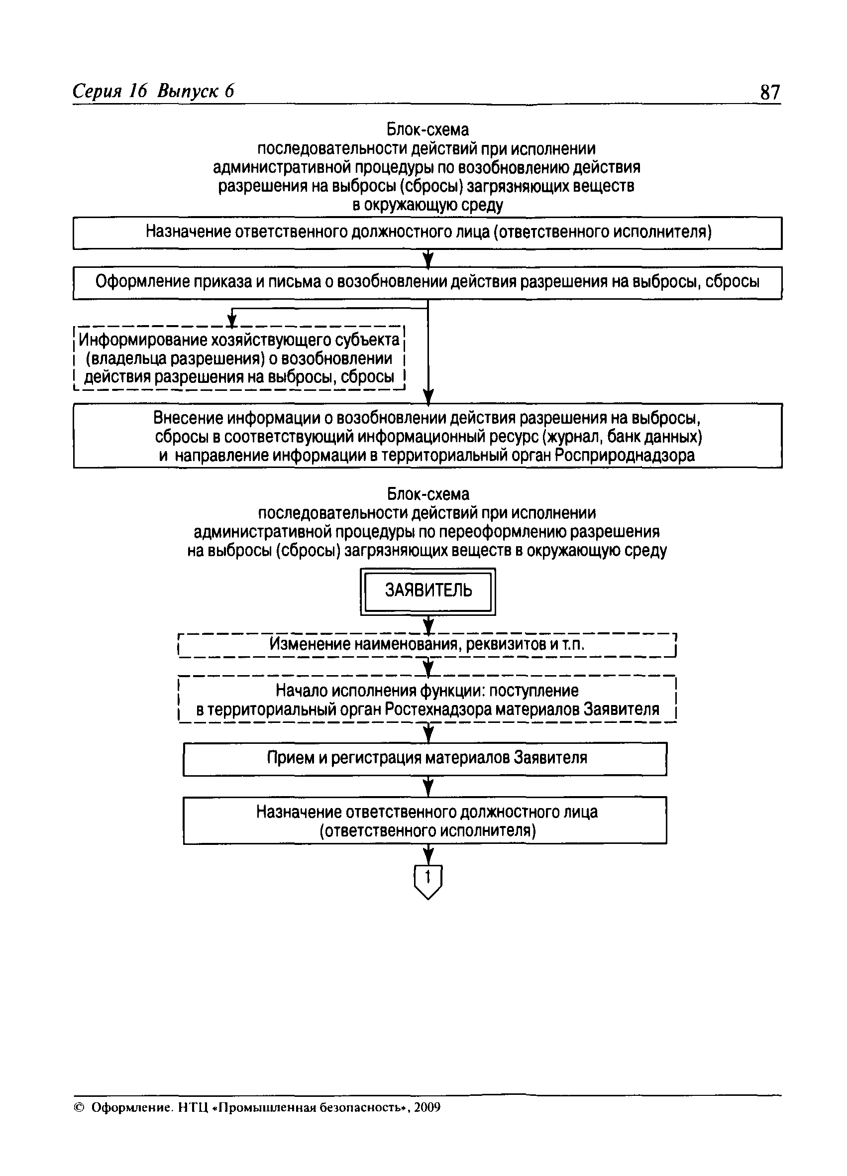
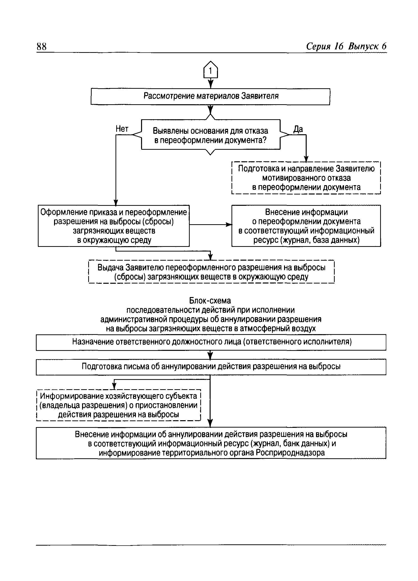
| Оглавление: | Приказ об утверждении 1. Общие положения 2. Требования к порядку исполнения государственной функции по выдаче разрешений на выбросы, сбросы загрязняющих веществ в окружающую среду 3. Административные процедуры 4. Порядок и формы контроля за исполнением государственной функции по выдаче разрешений на выбросы, сбросы загрязняющих веществ 5. Обжалование действий (бездействия) должностных лиц в ходе выполнения административных процедур при исполнении государственной функции по выдаче разрешений на выбросы, сбросы загрязняющих веществ Приложение 1. Заявление о выдаче разрешения на выбросы (разрешения на сбросы) загрязняющих веществ в окружающую среду Приложение 2. Заявление на переоформление разрешения на выбросы (разрешения на сбросы) загрязняющих веществ в окружающую среду Приложение 3. Список территориальных органов Ростехнадзора Приложение 4. План снижения выбросов загрязняющих веществ в атмосферный воздух Приложение 5. Разрешение на сброс загрязняющих веществ в окружающую среду Приложение 6. Письмо об отказе в выдаче разрешения на выбросы (разрешения на сбросы) загрязняющих веществ в окружающую среду Приложение 7. Письмо о приостановлении действия разрешения на выбросы (сбросы) загрязняющих веществ в окружающую среду Приложение 8. Письмо о возобновлении действия разрешения на выбросы (разрешения на сбросы) загрязняющих веществ в окружающую среду Приложение 9. Заявление на переоформление разрешения на выбросы (разрешения на сбросы) загрязняющих веществ в окружающую среду Приложение 10. Письмо об отказе в переоформлении разрешения на выбросы (сбросы) загрязняющих веществ в окружающую среду Приложение 11. Письмо об аннулировании разрешения на выбросы загрязняющих веществ в окружающую среду Приложение 12. Взаимосвязь административных процедур и блок-схема последовательности действий при исполнении государственной функции по выдаче разрешений на выбросы, сбросы загрязняющих веществ в окружающую среду Приложение 13. Описание последовательности и состава административных действий территориального органа Ростехнадзора при осуществлении административной процедуры по выдаче разрешения на выбросы, сбросы загрязняющих веществ в окружающую среду Приложение 14. Описание последовательности и состава административных действий территориального органа Ростехнадзора при осуществлении административной процедуры по приостановлению действия разрешения на выбросы, разрешения на сбросы Приложение 15. Описание последовательности и состава административных действий территориального органа Ростехнадзора при осуществлении административной процедуры по возобновлению действия разрешения на выбросы, разрешения на сбросы Приложение 16. Описание последовательности и состава административных действий территориального органа Ростехнадзора при осуществлении административной процедуры по переоформлению разрешения на выбросы, разрешения на сбросы Приложение 17. Описание последовательности и состава административных действий территориального органа Ростехнадзора при осуществлении административной процедуры по аннулированию разрешения на выбросы |
| Утверждён: | 31.10.2008 Министерство природных ресурсов и экологии Российской Федерации (288) |
| Издан: | НТЦ Промышленная безопасность (2009 г. ) |
| Список изменений: |
|
| Нормативные ссылки: |
|


















































































































Текстовое изменение № 2 от 20.05.2010












































