Скачать Рекомендации по проектированию железобетонных и каменнонабросных креплений откосов земляных сооружений и берегов внутренних водоемов

Дата актуализации: 01.01.2021

Рекомендации по проектированию железобетонных и каменнонабросных креплений откосов земляных сооружений и берегов внутренних водоемов

Статус:не действует
Название рус.:Рекомендации по проектированию железобетонных и каменнонабросных креплений откосов земляных сооружений и берегов внутренних водоемов
Дата добавления в базу:01.09.2013
Дата актуализации:01.01.2021
Область применения:Рекомендации распространяются на проектирование железобетонных плитных и каменнонабросных креплений земляных откосов гидротехнических сооружений и берегов внутренних водоемов (озер и водохранилищ) с заложениями от 2 до 5. Содержащиеся в рекомендациях отдельные положения (в частях I и II) могут быть использованы также в соответствующих случаях при проектировании берегозащитных конструкций других типов.
Оглавление:Предисловие
Основные обозначения
Часть первая. Исходные данные для проектирования креплений
   1 Общие положения
   2 Условия применения различных типов креплений и их компоновка
   3 Основные исходные данные и технические материалы для проектирования берегозащитных объектов
Часть вторая. Воздействия и нагрузки на крепления
   4 Воздействия и нагрузки при нерегулярном волнении
   5 Нагрузки при действии ледяного покрова
Часть третья. Проектирование креплений и расчеты их конструктивных элементов
   6 Границы расположения крепления на откосе
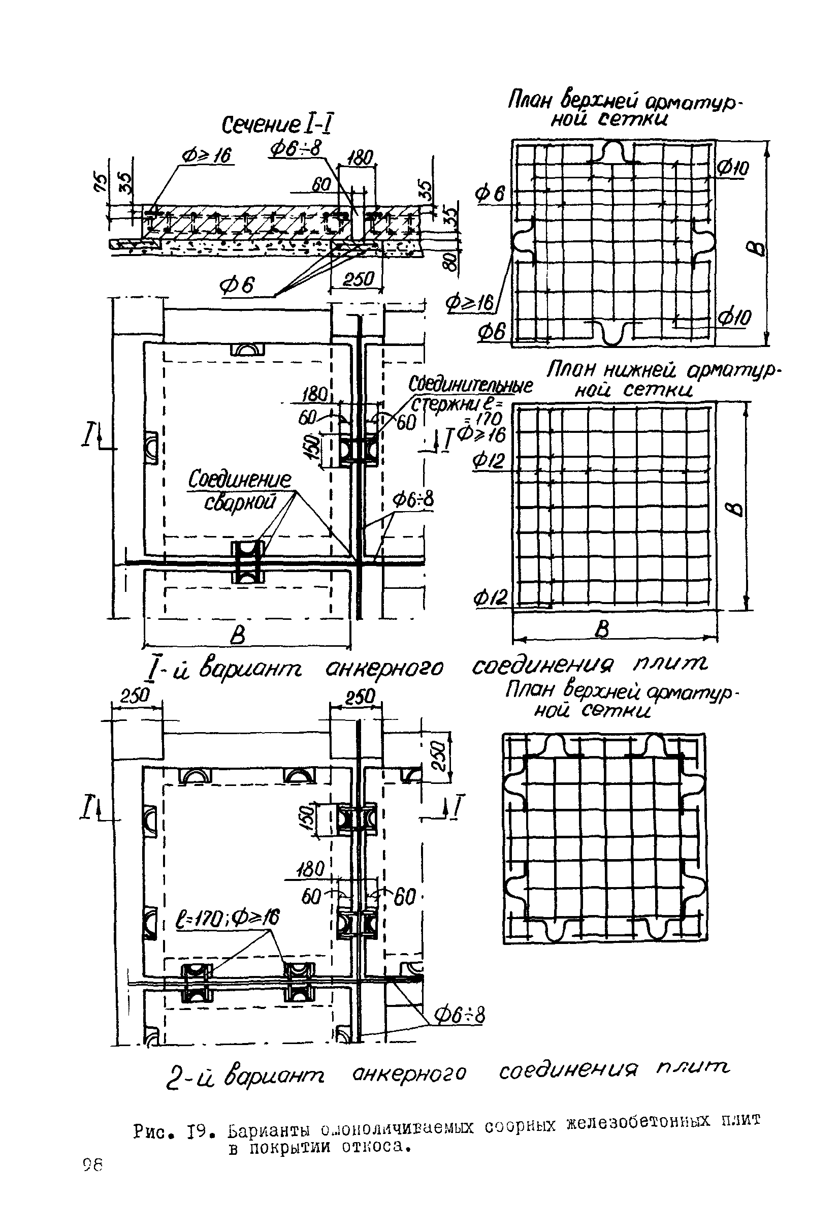
   7 Сплошные монолитные и сборные омоноличенные железобетонные покрытия
   8 Сквозные сборные железобетонные покрытия из отдельных плит
   9 Каменнонабросные покрытия из несортированного материала
   10 Подготовка под покрытия откосов
Часть четвертая. Предусматриваемые в проектах контрольные проверки состояния креплений откосов ответственных сооружений при их технической эксплуатации
   11 Общие положения организации и постановки контрольных проверок креплений
   12 Техническое оснащение и отчетность при проведении контрольных и режимных наблюдений на креплениях
Часть пятая. Применение рекомендаций при проектировании креплений (примеры расчетов)
   13 Исходные данные для примеров расчета креплений
   14 Определение верхней и нижней границ креплений
   15 Расчеты креплений откоса на волновые нагрузки
   16 Расчеты креплений откоса на ледовую нагрузку при изменениях уровня воды
Литература
Приложение
Разработан: ВНИИ ВОДГЕО
Утверждён:28.12.1978 ВНИИ ВОДГЕО (VODGEO VNII )