Скачать ГОСТ Р ИСО/ТС 10303-1091-2009 Системы автоматизации производства и их интеграция. Представление данных об изделии и обмен этими данными. Часть 1091. Прикладной модуль. Математическое пространствоДата актуализации: 01.01.2021
|
| Обозначение: | ГОСТ Р ИСО/ТС 10303-1091-2009 |
| Обозначение англ: | GOST R ISO/TS 10303-1091-2009 |
| Статус: | введен впервые |
| Название рус.: | Системы автоматизации производства и их интеграция. Представление данных об изделии и обмен этими данными. Часть 1091. Прикладной модуль. Математическое пространство |
| Название англ.: | Industrial automation systems and integration. Product data representation and exchange. Part 1091. Application module. Mathematical space |
| Дата добавления в базу: | 01.09.2013 |
| Дата актуализации: | 01.01.2021 |
| Дата введения: | 01.07.2010 |
| Область применения: | Стандарт определяет прикладной модуль «Математическое пространство». В область применения стандарта входят: - определение математического пространства в интервале действительных либо целых чисел; - определение конечного математического пространства перечислением его элементов. В область применения стандарта не входят: - связь между математическим пространством и пространством свойств, которое оно идентифицирует; - отдельное математическое значение, которое не является математическим пространством; - математические выражения; - математические функции. |
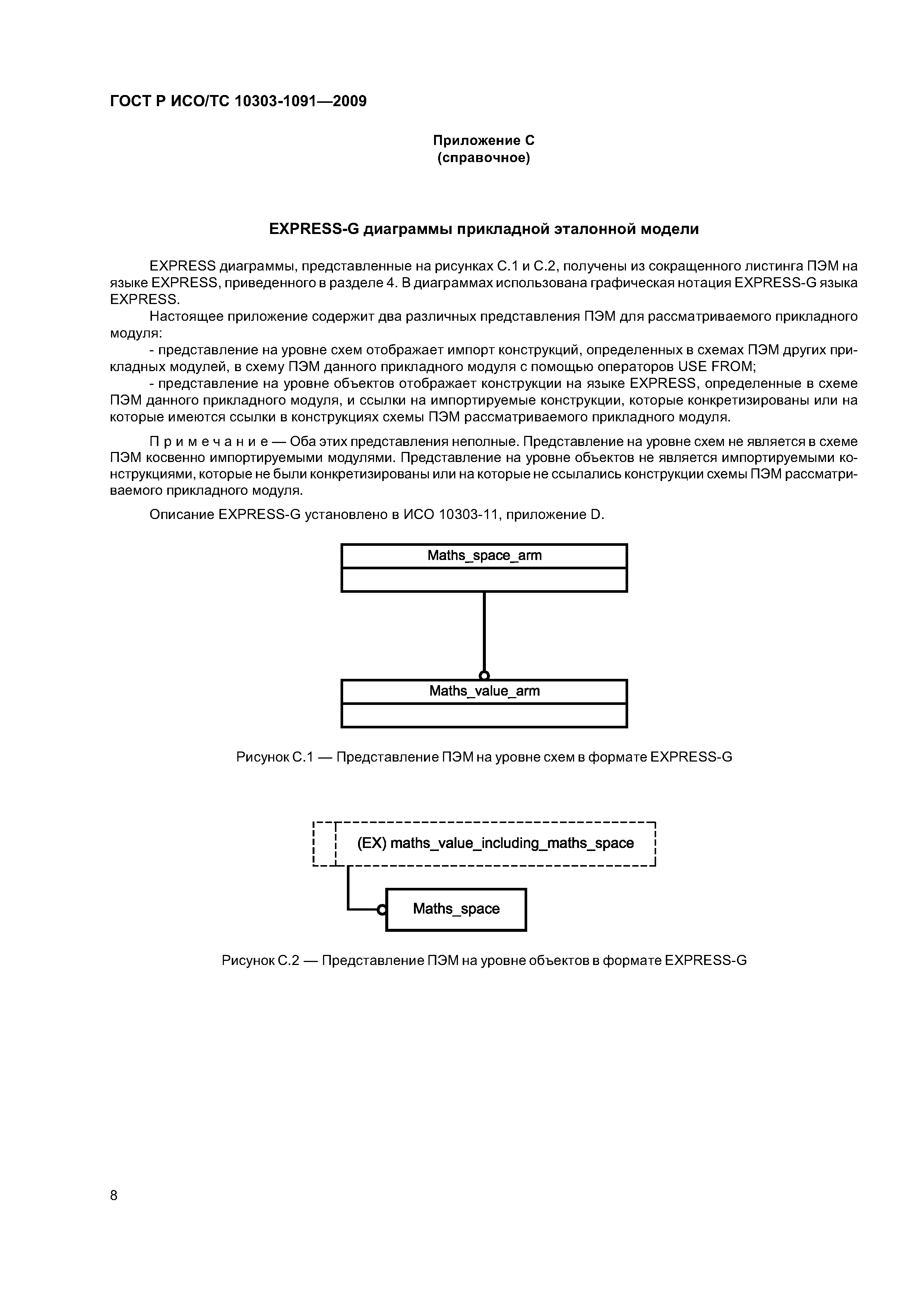
| Оглавление: | 1 Область применения 2 Нормативные ссылки 3 Термины, определения и сокращения 4 Информационные требования 4.1 Прикладные эталонные модели, необходимые для прикладного модуля 4.2 Определение типа данных прикладной эталонной модели 4.3 Определения объектов прикладной эталонной модели 5 Интерпретированная модель модуля 5.1 Спецификация отображения 5.2 Сокращенный листинг интерпретированной модели прикладного модуля на языке ЕХРRЕSS Приложение А (обязательное) Сокращенные наименования объектов интерпретированной модели прикладного модуля Приложение В (обязательное) Регистрация информационных объектов Приложение С (справочное) ЕХРRЕSS-G диаграммы прикладной эталонной модели Приложение D (справочное) ЕХРRЕSS-G диаграммы интерпретированной модели прикладного модуля Приложение Е (справочное) Машинно-интерпретируемые листинги Приложение F (справочное) Сведения о соответствии ссылочных международных стандартов национальным стандартам Российской Федерации |
| Разработан: | ООО Корпоративные электронные системы |
| Утверждён: | 14.09.2009 Федеральное агентство по техническому регулированию и метрологии (378-ст) |
| Издан: | Стандартинформ (2010 г. ) |
| Нормативные ссылки: |
|















