Скачать ГОСТ Р ИСО/ТС 10303-1074-2009 Системы автоматизации производства и их интеграция. Представление данных об изделии и обмен этими данными. Часть 1074. Прикладные модули. Состояние свойствДата актуализации: 01.01.2021
|
| Обозначение: | ГОСТ Р ИСО/ТС 10303-1074-2009 |
| Обозначение англ: | GOST R ISO/TS 10303-1074-2009 |
| Статус: | введен впервые |
| Название рус.: | Системы автоматизации производства и их интеграция. Представление данных об изделии и обмен этими данными. Часть 1074. Прикладные модули. Состояние свойств |
| Название англ.: | Industrial automation systems and integration. Product data representation and exchange. Part 1074. Application module. Property condition |
| Дата добавления в базу: | 01.09.2013 |
| Дата актуализации: | 01.01.2021 |
| Дата введения: | 01.07.2010 |
| Область применения: | Стандарт определяет прикладной модуль «Состояние свойств». Требования стандарта распространяются на: - необходимое состояние свойств для принадлежности к классу изделий; - необходимое состояние свойств для принадлежности к классу действий. Требования стандарта не распространяются на: - достаточные условия для принадлежности к классу изделий или действий; - определение диапазона физических величин; - природу существования взаимосвязи свойств; - обладание экземпляром физической величины отдельным изделием или действием; - определение экземпляра физической величины; - идентификацию единицы измерения для экземпляра физической величины. |
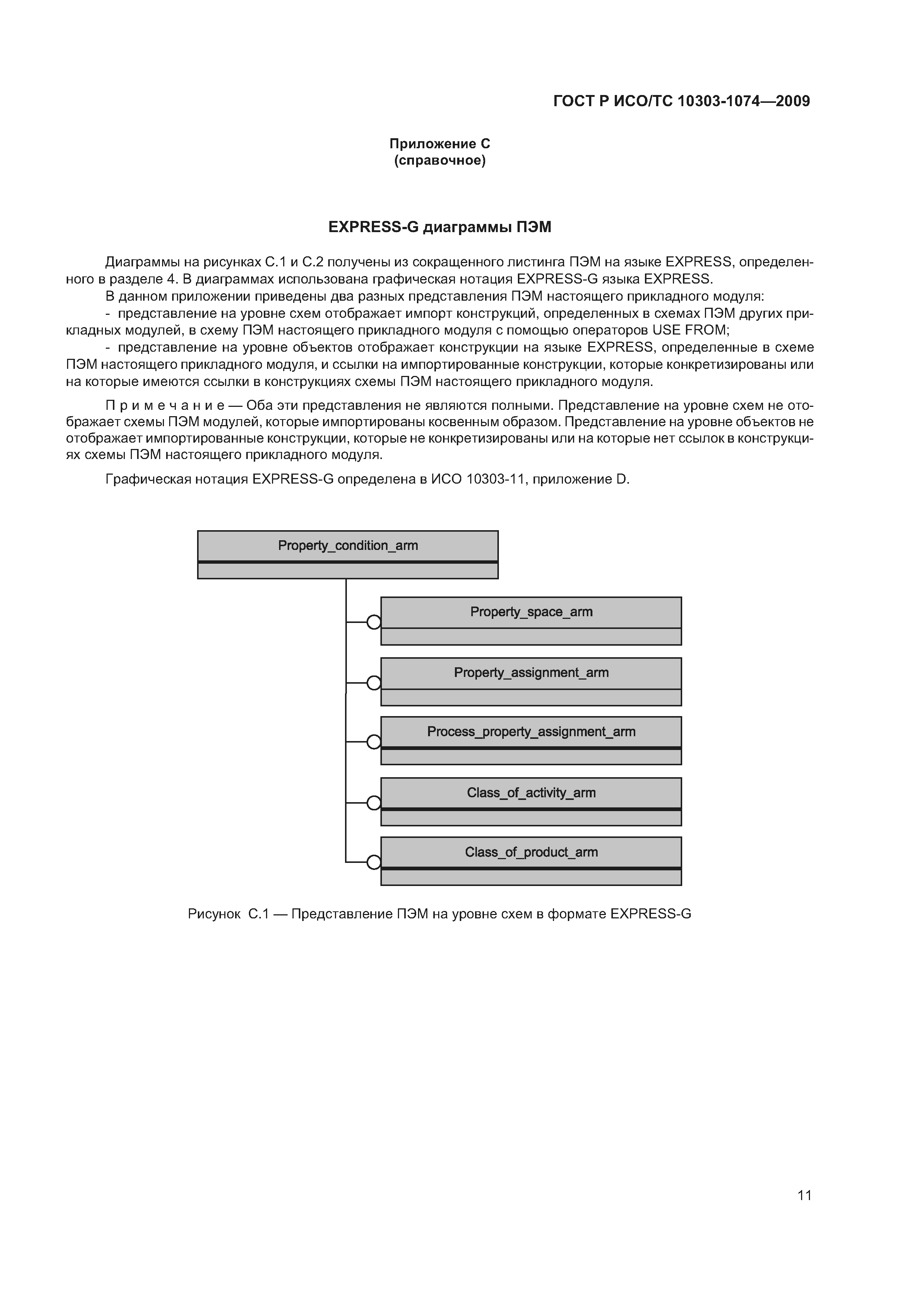
| Оглавление: | 1 Область применения 2 Нормативные ссылки 3 Термины и определения 3.1 Термины, определенные в ИСО 10303-1 3.2 Термин, определенный в ИСО 10303-202 3.3 Термины, определенные в ИСО 10303-1001 3.4 Термин, определенный в ИСО/ТС 10303-1017 3.5 Термин, определенный в ИСО/ТС 10303-1099 3.6 Термин, определенный в ИСО/ТС 10303-1080 4 Информационные требования 4.1 Необходимые ПЭМ прикладных модулей 4.2 Определение объекта ПЭМ 5 Интерпретированная модель модуля 5.1 Спецификация отображения 5.2 Сокращенный листинг ИММ на языке EXPRESS Приложение А (обязательное) Сокращенные наименования объектов ИММ Приложение В (обязательное) Регистрация информационных объектов Приложение С (справочное) EXPRESS-G диаграммы ПЭМ Приложение D (справочное) EXPRESS-G диаграммы ИММ Приложение Е (справочное) Машинно-интерпретируемые листинги Приложение F (справочное) Сведения о соответствии национальных стандартов Российской Федерации ссылочным международным стандартам Библиография |
| Разработан: | ГНУ Центральный научно-исследовательский и опытно-конструкторский институт роботехники и технической кибернетики |
| Утверждён: | 14.09.2009 Федеральное агентство по техническому регулированию и метрологии (374-ст) |
| Издан: | Стандартинформ (2010 г. ) |
| Нормативные ссылки: |
|






















