Скачать ТЕР 81-02-30-2001 Часть 30. Мосты и трубы. Территориальные единичные расценки на строительные и специальные строительные работыДата актуализации: 01.01.2021
|
| Обозначение: | ТЕР 81-02-30-2001 |
| Обозначение англ: | TER 81-02-30-2001 |
| Статус: | не действует |
| Название рус.: | Часть 30. Мосты и трубы. Территориальные единичные расценки на строительные и специальные строительные работы |
| Дата добавления в базу: | 01.09.2013 |
| Дата актуализации: | 01.01.2021 |
| Область применения: | Территориальные единичные расценки на строительные и специальные строительные работы предназначены для определения затрат при выполнении строительных работ и составления на их основе сметных расчетов (смет) на производство указанных работ. |
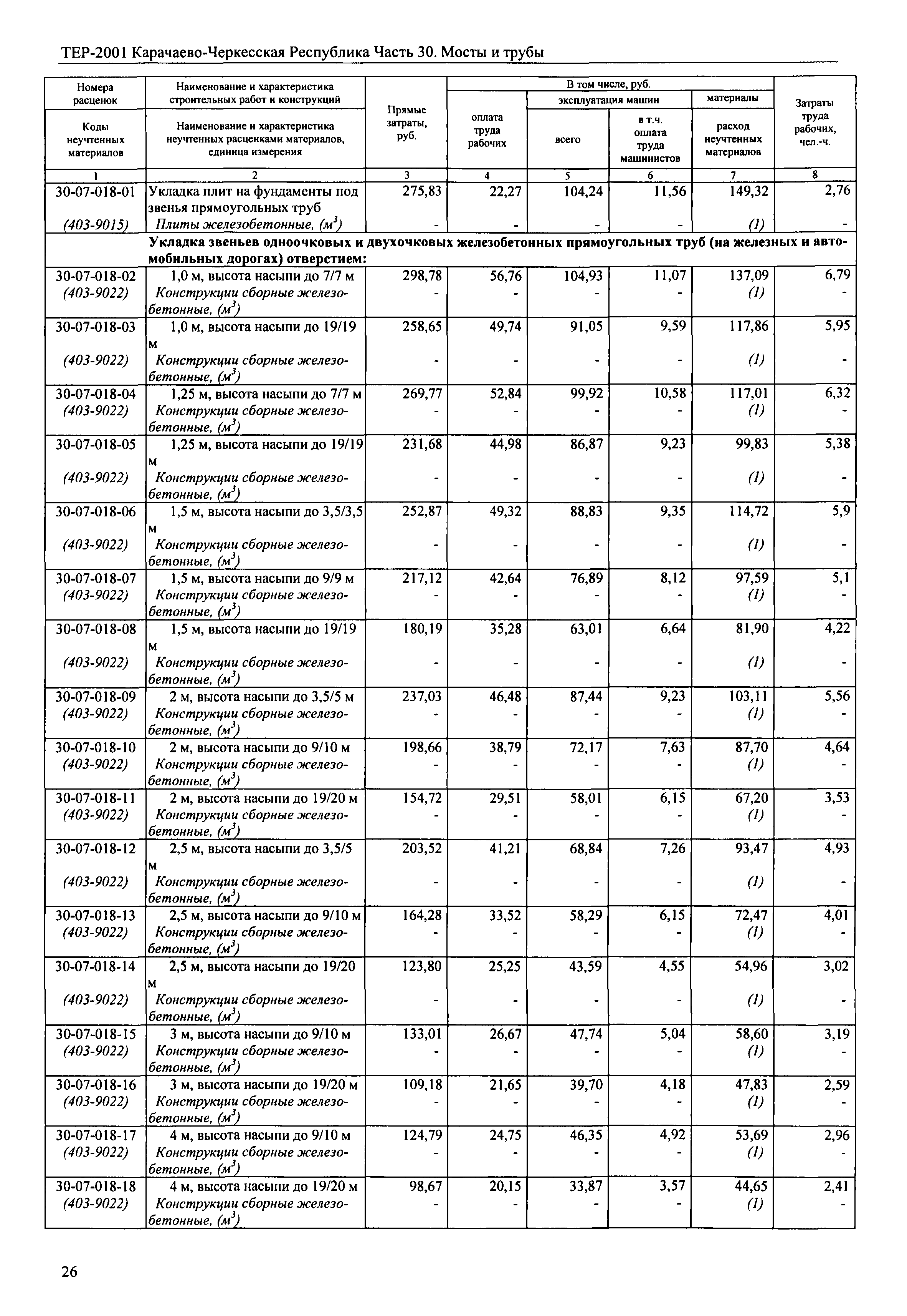
| Оглавление: | Часть 30. Мосты и трубы Раздел 1. Железобетонные и бетонные конструкции мостов и труб Подраздел 1.1 Подушки под фундаменты Подраздел 1.2 Фундаменты труб и опор мостов Подраздел 1.3 Опоры мостов на готовых фундаментах Раздел 2. Железобетонные пролетные строения мостов Подраздел 2.1 Опорные части Подраздел 2.2 Железобетонные пролетные строения мостов под один железнодорожный путь Подраздел 2.3 Пролетные строения автодорожных мостов Подраздел 2.4 Сооружение неразрезных железобетонных пролетных строений автодорожных мостов плитно-ребристой конструкции (ПРК) Раздел 3. Сборные железобетонные путепроводы и пешеходные мосты Подраздел 3.1 Путепроводы под автомобильную нагрузку из сборного железобетона через железные дороги Подраздел 3.2 Путепроводы под автомобильную нагрузку из сборного железобетона через автомобильные дороги Подраздел 3.3 Пешеходные мосты через железные дороги Раздел 4. Стальные пролетные строения мостов Раздел 5. Проезжая часть под железную дорогу Раздел 6. Деревянные мосты Раздел 7. Трубы водопропускные на готовых фундаментах основаниях и лотки водоотводные Подраздел 11 Трубы водопропускные железобетонные круглые под насыпями железных и автомобильных дорог Подраздел 12 Водопропускные трубы из гофрированного металла Подраздел 13 Оголовки круглых водопропускных труб Подраздел 14 Трубы водопропускные железобетонные прямоугольные под насыпями железных и автомобильных дорог Подраздел 15 Трубы водопропускные бетонные прямоугольные под насыпями железных и автомобильных дорог Подраздел 16 Лотки железобетонные водоотводные Раздел 8. Разные работы Подраздел 8.1 Перила на мостах и путепроводах Подраздел 8.2 Устройство лестничных сходов Подраздел 8.3 Подпорные стенки Подраздел 8.4 Устройство сопряжения автодорожных мостов и путепроводов с насыпью Подраздел 8.5 Тротуары на мостах и путепроводах под автомобильные дороги Подраздел 8.6 Смотровые приспособления Подраздел 8.7 Гидроизоляция проезжей части мостов, опор мостов и труб Подраздел 8.8 Деформационные швы Подраздел 8.9 Дренаж за устоями мостов Подраздел 8.10 Окраска пролетных строений Подраздел 8.11 Приготовление бетона для искусственных сооружений в построечных условиях Подраздел 8.12 Устройство габионных конструкций Раздел 9. Вспомогательные конструкции Подраздел 9.1 Подмости и пирсы Подраздел 9.2 Направляющие каркасы для погружения свай и свай-оболочек под опоры мостов Подраздел 9.3 Пакетные пролетные строения из двутавровых балок Подраздел 9.4 Подвесные пакеты из рельсов |
| Разработан: | РГУ Карачаево-Черкесский центр ценообразования в строительстве |
| Утверждён: | 24.03.2010 Министерство строительства, энергетики и жилищно-коммунального хозяйства Карачаево-Черкесской Республики (25) |
| Принят: | 26.02.2010 Министерство регионального развития РФ (6713-СК/08) 12.03.2010 Министерство регионального развития РФ (9185-СК/08) |











































