Скачать Типовой проект 902-1-63 Альбом VII. Ведомости потребности в материалахДата актуализации: 01.01.2021
|
| Обозначение: | Типовой проект 902-1-63 |
| Обозначение англ: | 902-1-63 |
| Статус: | действует |
| Название рус.: | Альбом VII. Ведомости потребности в материалах |
| Дата добавления в базу: | 01.09.2013 |
| Дата актуализации: | 01.01.2021 |
| Дата введения: | 01.11.1982 |
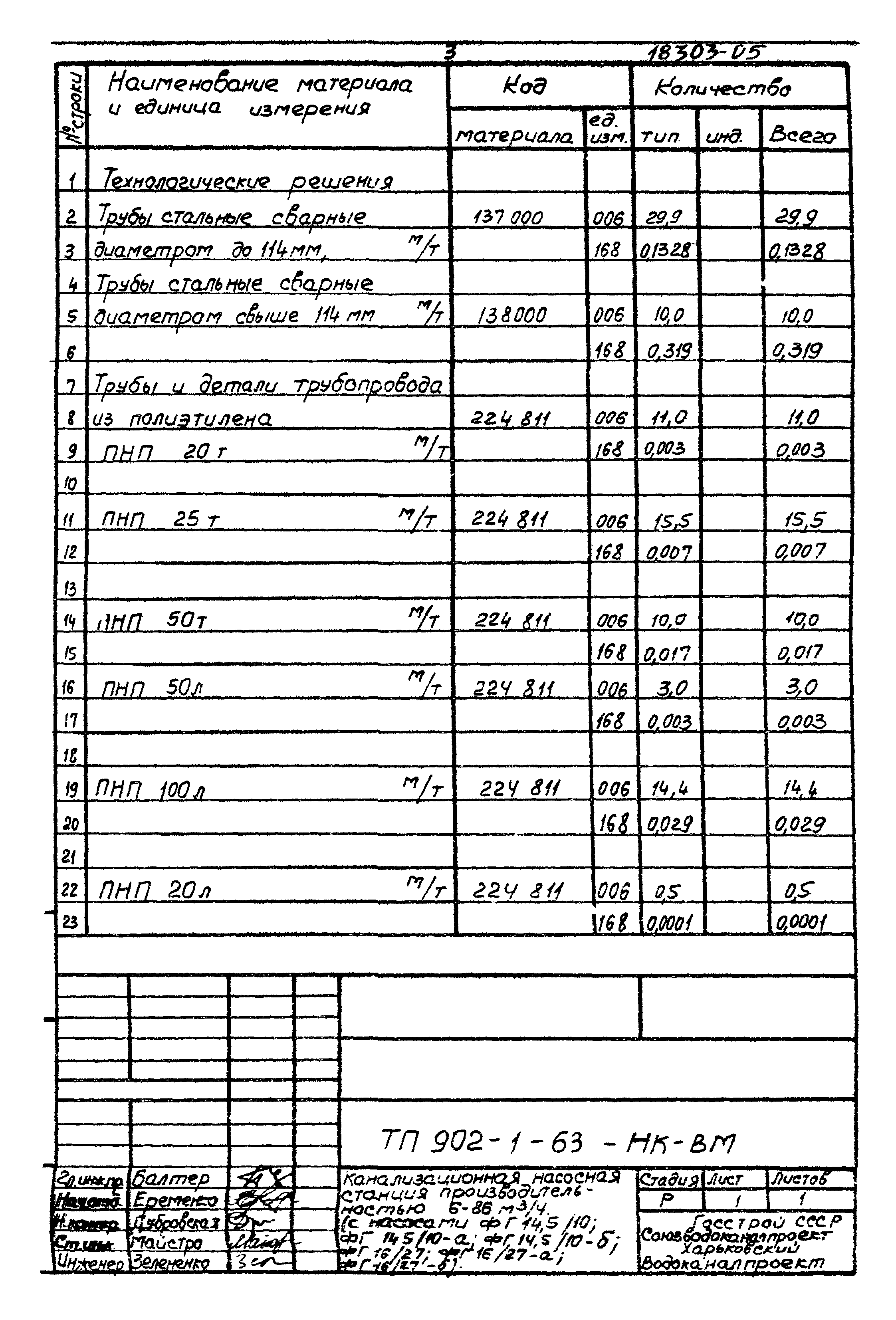
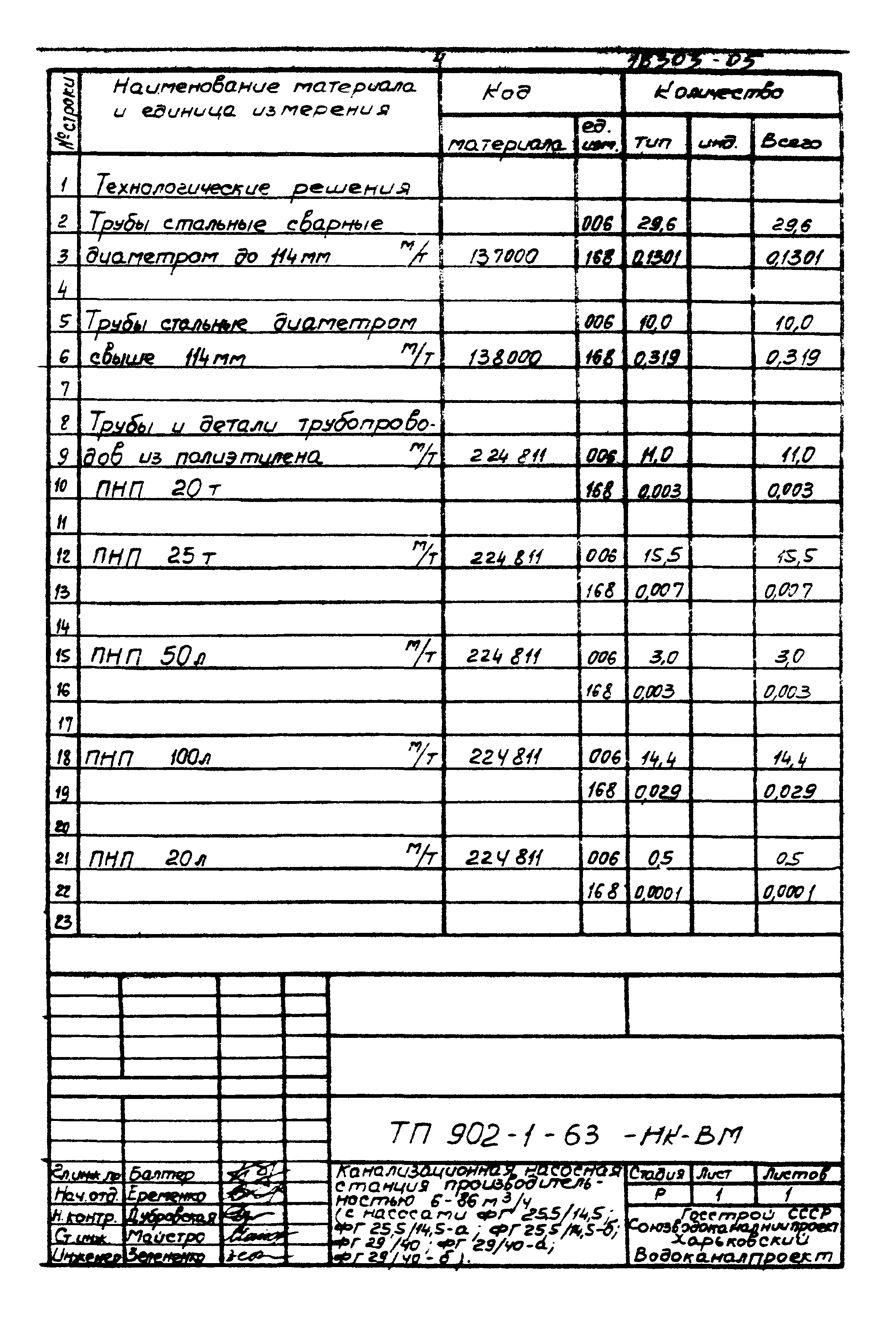
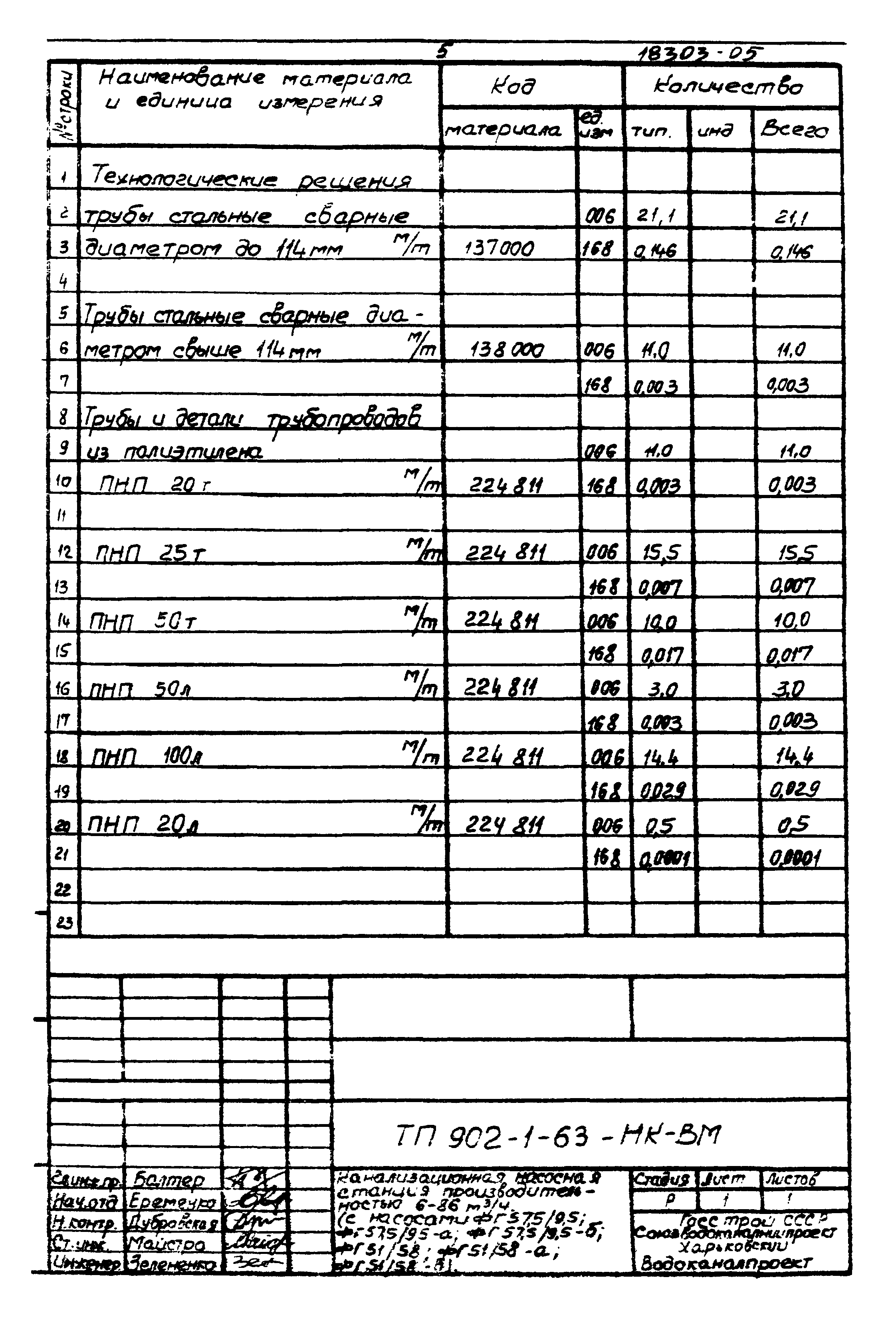
| Оглавление: | ТП 902-1-63-НК-ВМ Ведомости потребности в материалах с насосами ФГ14.5/10; ФГ14.5/10-а; ФГ14.5/10-б; ФГ16/27; ФГ16/27-а; ФГ16/27-б ТП 902-1-63-НК-ВМ Ведомости потребности в материалах с насосами ФГ25,5/14,5; ФГ25,5/14,5-а; ФГ25,5/14,5-б; ФГ29/40; ФГ29/40-а; ФГ29/40-б ТП 902-1-63-НК-ВМ Ведомости потребности в материалах с насосами ФГ57,5/9,5; ФГ57,5/9,5-а: ФГ57.5/9.5-б; ФГ51/58; ФГ51/58-а; ФГ51/58-б ТП 902-1-63-АР-ВМ Ведомость потребности в материалах /для t = -20°С; -30°С/ ТП 902-1-63-АР-ВМ Ведомость потребности в материалах /для t = -40°/ ТП 902-1-63-КЖ-ВМ Ведомость потребности в материалах / t = -20°С; -30°С с клиновидным стыком/ ТП 902-1-63-КЖ-ВМ Ведомость потребности в материалах /t =40°C с клиновидным стыком/ ТП 902-1-63-КЖ-ВМ Ведомость потребности в материалах /t = -20°С;-30°С со шпоночным стыком/ ТП 902-1-63-КЖ-ВМ Ведомость потребности в материалах /t = -40°С со шпоночным стыком/ ТП 902-1-63-ЭА-ВМ Ведомости потребности в материалах ТП 902-1-63-АЭМ-ВМ Ведомости потребности в материалах ТП 902-1-63-ОВ-ВМ Ведомости потребности в материалах /при теплоносителе 150-70°С/ ТП 902-1-63-ОВ-ВМ Ведомости потребности в материалах /при теплоносителе 95-70°С/ |
| Разработан: | Харьковский Водоканалпроект |
| Утверждён: | 29.04.1982 Главпромстройпроект Госстроя СССР (15) |































