Скачать Типовые проектные решения 820-1-093.89 Альбом 2. МеталлоконструкцииДата актуализации: 01.01.2021
|
| Обозначение: | Типовые проектные решения 820-1-093.89 |
| Обозначение англ: | 820-1-093.89 |
| Статус: | справочные материалы, мп, тпр |
| Название рус.: | Альбом 2. Металлоконструкции |
| Дата добавления в базу: | 01.09.2013 |
| Дата актуализации: | 01.01.2021 |
| Дата введения: | 06.01.1989 |
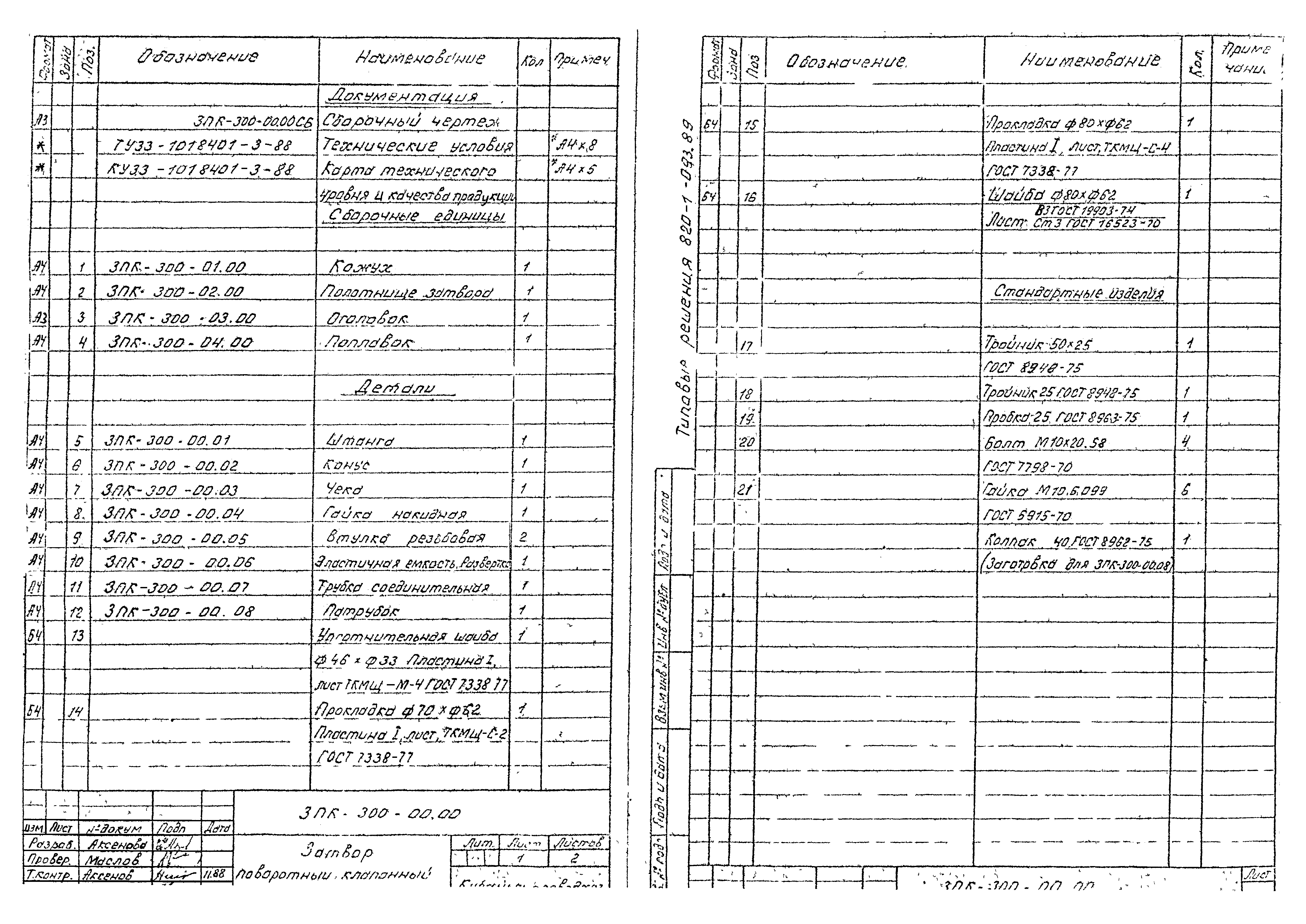
| Оглавление: | ТПР 820-1-093.89 Содержание альбома ТПР 820-1-093.89-АЗ Пояснительная записка ТПР 820-1-093.89 3ПК-300-00.00 Затвор поворотный, клапанный ТПР 820-1-093.89 3ПК-300-00.00 СБ Затвор поворотный, клапанный. Сборочный чертеж ТПР 820-1-093.89 3ПК-300-01.00 Кожух ТПР 820-1-093.89 3ПК-300-01.00 СБ Кожух. Сборочный чертеж ТПР 820-1-093.89 3ПК-300-01.01 Крышка ТПР 820-1-093.89 3ПК-300-01.02 Уголок левый ТПР 820-1-093.89 3ПК-300-01.03 Торцевая стенка ТПР 820-1-093.89 3ПК-300-02.00 Полотнище затвора ТПР 820-1-093.89 3ПК-300-02.00 СБ Полотнище затвора. Сборочный чертеж ТПР 820-1-093.89 3ПК-300-02.01 Ось ТПР 820-1-093.89 3ПК-300-02.02 Щит ТПР 820-1-093.89 3ПК-300-02.03 Скоба ТПР 820-1-093.89 3ПК-300-02.04 Косынка ТПР 820-1-093.89 3ПК-300-03.00 Оголовок ТПР 820-1-093.89 3ПК-300-03.00 СБ Оголовок. Сборочный чертеж ТПР 820-1-093.89 3ПК-300-03.01 Насадок конический ТПР 820-1-093.89 3ПК-300-03.02 Скоба ТПР 820-1-093.89 3ПК-300-03.03 Уголок ТПР 820-1-093.89 3ПК-300-04.00 Поплавок ТПР 820-1-093.89 3ПК-300-04.00 СБ Поплавок. Сборочный чертеж ТПР 820-1-093.89 3ПК-300-04.01 Направляющая ТПР 820-1-093.89 3ПК-300-04.02 Обечайка ТПР 820-1-093.89 3ПК-300-04.03 Верхний диск ТПР 820-1-093.89 3ПК-300-04.04 Нижний диск ТПР 820-1-093.89 3ПК-300-00.01 Штанга ТПР 820-1-093.89 3ПК-300-00.02 Конус ТПР 820-1-093.89 3ПК-300-00.03 Чека ТПР 820-1-093.89 3ПК-300-00.04 Гайка накидная ТПР 820-1-093.89 3ПК-300-00.05 Втулка резьбовая ТПР 820-1-093.89 3ПК-300-00.06 Эластичная емкость. Развертка ТПР 820-1-093.89 3ПК-300-00.07 Трубка соединительная ТПР 820-1-093.89 3ПК-300-00.08 Патрубок ТПР 820-1-093.89 ТС-30-00.00 Затвор тарельчатый ТС30 ТПР 820-1-093.89 ТС-30-00.00 СБ Затвор тарельчатый ТС30. Сборочный чертеж ТПР 820-1-093.89 ТС-30-01.00 Траверса с гайкой ТПР 820-1-093.89 ТС-30-01.00 СБ Траверса с гайкой. Сборочный чертеж ТПР 820-1-093.89 ТС-30-01.01 Патрубок ТПР 820-1-093.89 ТС-30-01.02 Гайка ТПР 820-1-093.89 ТС-30-01.03 Планка ТПР 820-1-093.89 ТС-30-01.04 Стойка ТПР 820-1-093.89 ТС-30-02.00 Винт ТПР 820-1-093.89 ТС-30-02.00 СБ Винт. Сборочный чертеж ТПР 820-1-093.89 ТС-30-02.01 Головка винта ТПР 820-1-093.89 ТС-30-02.02 Штанга ТПР 820-1-093.89 ТС-30-03.00 Кронштейн ТПР 820-1-093.89 ТС-30-03.00 СБ Кронштейн. Сборочный чертеж ТПР 820-1-093.89 ТС-30-03.01 Планка ТПР 820-1-093.89 ТС-30-03.02 Косынка ТПР 820-1-093.89 ТС-30-04.00 Ключ ТПР 820-1-093.89 ТС-30-04.00 СБ Ключ. Сборочный чертеж ТПР 820-1-093.89 ТС-30-04.01 Стержень ТПР 820-1-093.89 ТС-30-04.02 Рычаг ТПР 820-1-093.89 ТС-30-05.00 Тарелка ТПР 820-1-093.89 ТС-30-05.00 СБ Тарелка. Сборочный чертеж ТПР 820-1-093.89 ТС-30-05.01 Диск ТПР 820-1-093.89 ТС-30-05.02 Уплотнение ТПР 820-1-093.89 ТС-30-00.01 Скоба ТПР 820-1-093.89 ТС-30-00.02 Стойка |
| Разработан: | Кубаньгипроводхоз Минводхоза СССР |
| Утверждён: | 06.01.1989 Минводхоз СССР (USSR Minvodkhoz 787) |


































