Скачать Типовой проект 903-1-225.86 Альбом 14.1. Ведомости потребности в материалах. Котельная. Отопление и вентиляция, водопровод и канализация, тепловые сети (из ТП 903-1-224.86)Дата актуализации: 01.01.2021
|
| Обозначение: | Типовой проект 903-1-225.86 |
| Обозначение англ: | 903-1-225.86 |
| Статус: | действует |
| Название рус.: | Альбом 14.1. Ведомости потребности в материалах. Котельная. Отопление и вентиляция, водопровод и канализация, тепловые сети (из ТП 903-1-224.86) |
| Дата добавления в базу: | 01.09.2013 |
| Дата актуализации: | 01.01.2021 |
| Дата введения: | 20.05.1986 |
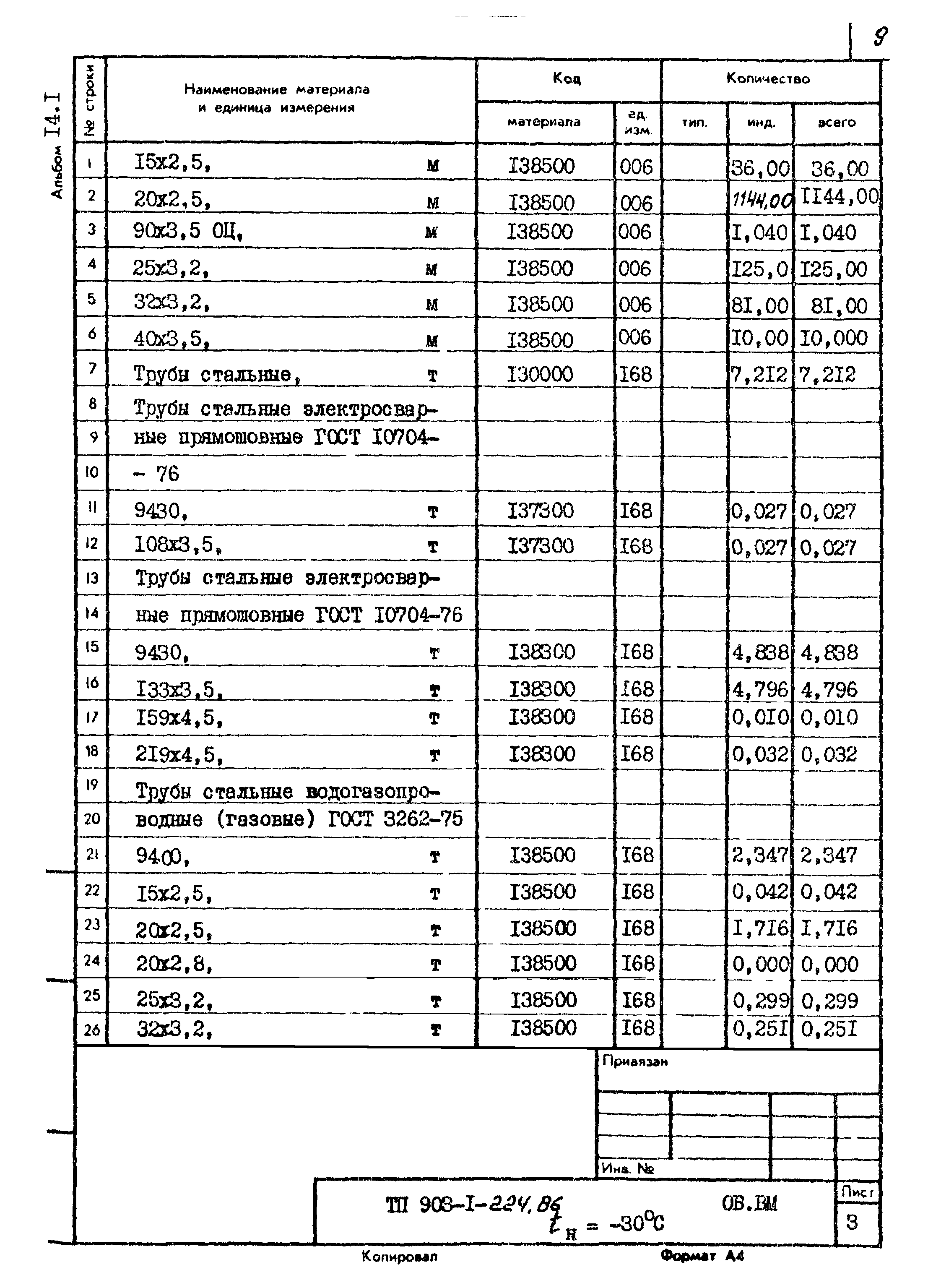
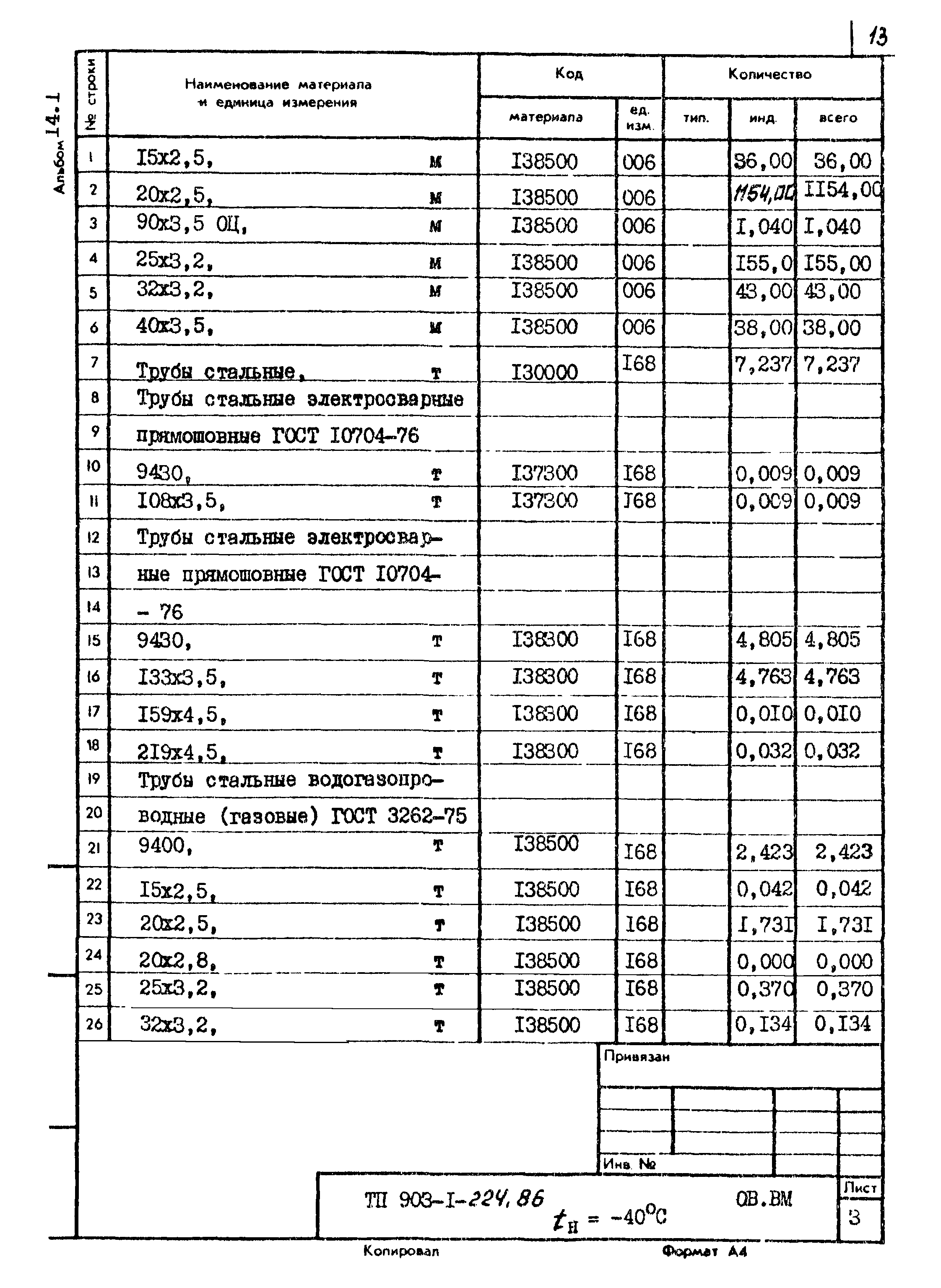
| Оглавление: | ТП 903-1-224.86-ОВ1.ВМ ВМ по рабочим чертежам основного комплекта марки OB1 tn= -20°C ТП 903-1-224.86-ОВ1.ВМ ВМ по рабочим чертежам основного комплекта марки OB1 tn= -30°C ТП 903-1-224.86-ОВ1.ВМ ВМ по рабочим чертежам основного комплекта марки OB1 tn= -40°C ТП 903-1-224.86-ВК.ВМ ВМ по рабочим чертежам основного комплекта марки ВК ТП 903-1-224.86-ТС2.ВМ ВМ по рабочим чертежам основного комплекта марки ТС2 |
| Разработан: | Латгипропром |
| Утверждён: | 20.05.1986 Госстрой СССР (Государственный комитет Совета Министров СССР по делам строительства) (USSR Gosstroy АЧ-30) |




















