Скачать Типовой проект 902-1-90.84 Альбом X. Ведомости потребности в материалах (из ТП 902-1-89.84)Дата актуализации: 01.01.2021
|
| Обозначение: | Типовой проект 902-1-90.84 |
| Обозначение англ: | 902-1-90.84 |
| Статус: | действует |
| Название рус.: | Альбом X. Ведомости потребности в материалах (из ТП 902-1-89.84) |
| Дата добавления в базу: | 01.09.2013 |
| Дата актуализации: | 01.01.2021 |
| Дата введения: | 18.04.1984 |
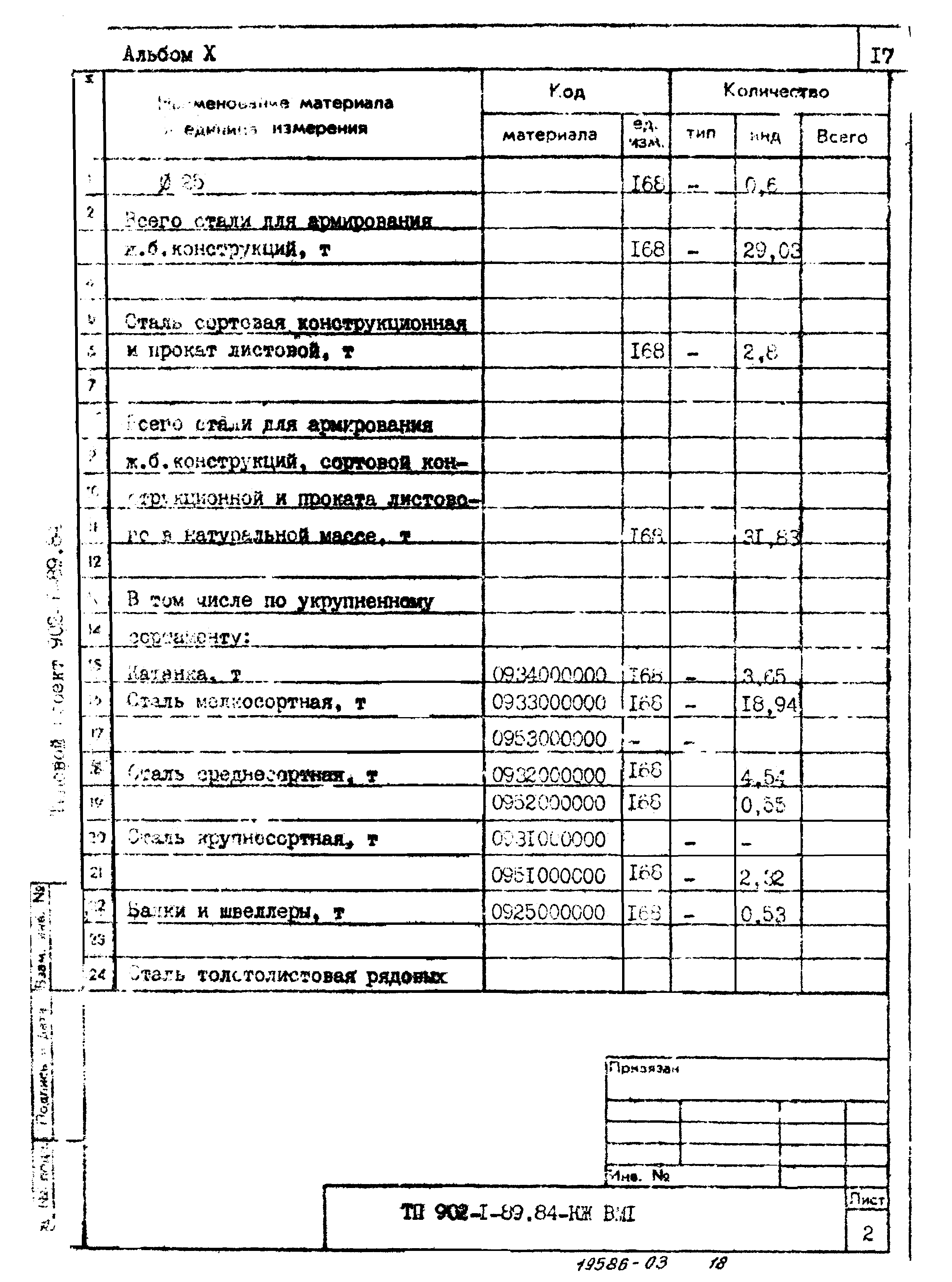
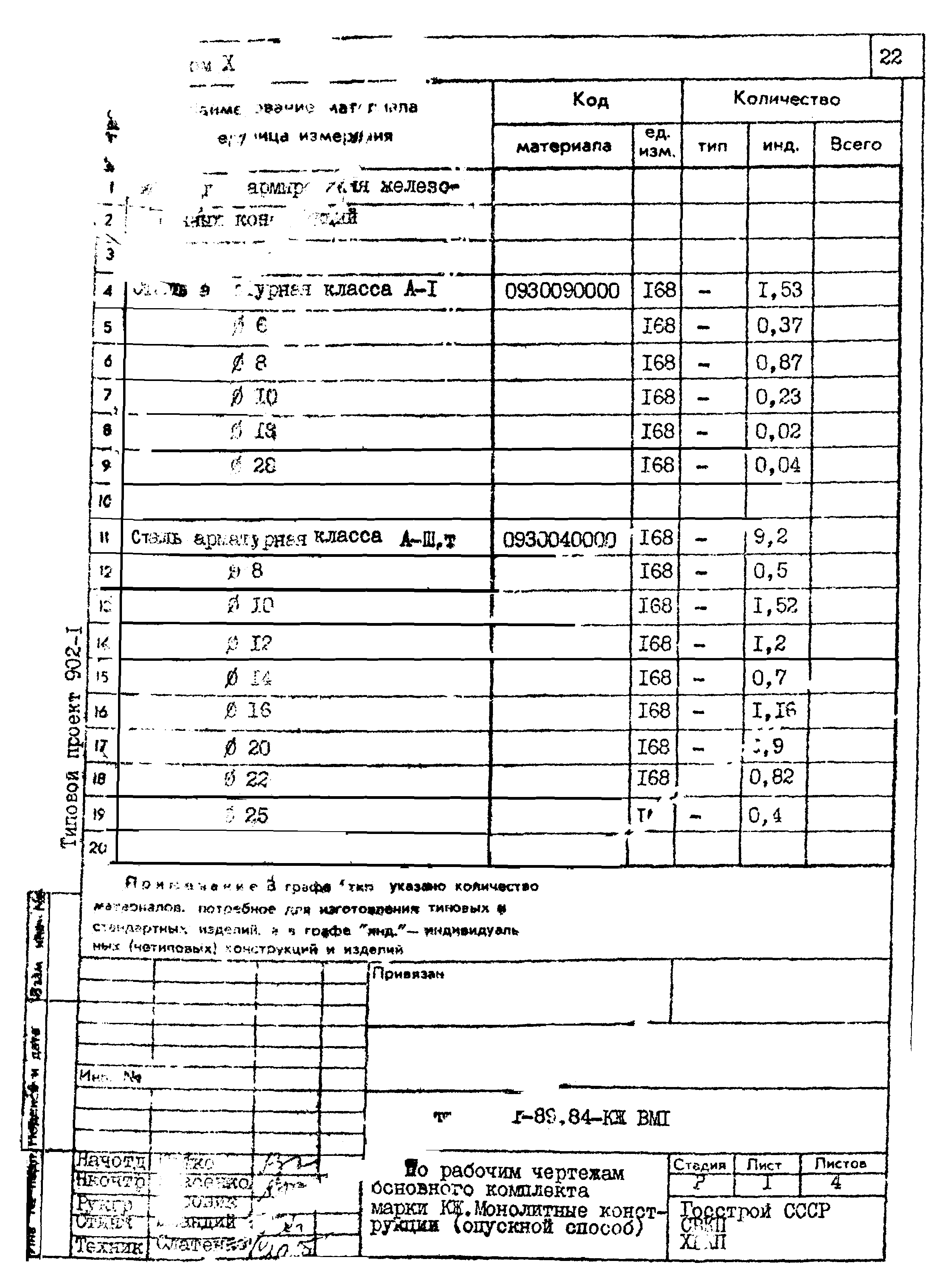
| Оглавление: | НК.ВМ ВМ по технологическим решениям ВК.ВМ ВМ по внутреннему водопроводу и канализации ОВ.ВМ ВМ по отоплению и вентиляции АЭМ.ВМ ВМ по электрооборудованию и автоматике ЭА.ВМ ВМ по технологическому контролю АР.ВМ ВМ по архитектурным решениям КЖ.ВМ1 ВМ по конструкциям железобетонным монолитным КЖ.ВМ2 ВМ по конструкциям железобетонным сборным КЖ.ВМ1 ВМ по конструкциям железобетонным монолитным КЖ.ВМ2 ВМ по конструкциям железобетонным сборным КЖ.ВМ1 ВМ по конструкциям железобетонным монолитным КЖ.ВМ2 ВМ по конструкциям железобетонным сборным |
| Разработан: | Харьковский Водоканалпроект |
| Утверждён: | 27.10.1983 СоюзводоканалНИИпроект (SoyuzvodokanalNIIproject 59) |






































