Скачать ГОСТ Р 53891-2010 Руководство по разработке спецификаций на характеристики и классы продукции. Часть 3. Опыт примененияДата актуализации: 01.01.2021
|
| Обозначение: | ГОСТ Р 53891-2010 |
| Обозначение англ: | GOST R 53891-2010 |
| Статус: | введен впервые |
| Название рус.: | Руководство по разработке спецификаций на характеристики и классы продукции. Часть 3. Опыт применения |
| Название англ.: | Guide for specification of product properties and classes. Part 3. Experience gained |
| Дата добавления в базу: | 01.09.2013 |
| Дата актуализации: | 01.01.2021 |
| Дата введения: | 01.01.2011 |
| Область применения: | Стандарт устанавливает руководство по разработке спецификаций на характеристики и классы продукции. В стандарте представлены общие рекомендации и методологические принципы описания продукции и ее характеристик путем использования стандартов ИСО 13584 и МЭК 61360, предназначенных для применения при составлении компьютерных библиотек, каталогов и словарей баз данных о продукции. Подобные описания должны содержать однозначные и подробные сведения о продукции и ее характеристиках, позволяющие обмениваться ими в электронной форме, не зависящей от специализированного прикладного программного обеспечения. Термин «продукция» здесь применен для обозначения приборов, процессов, систем, оборудования и т.д. |
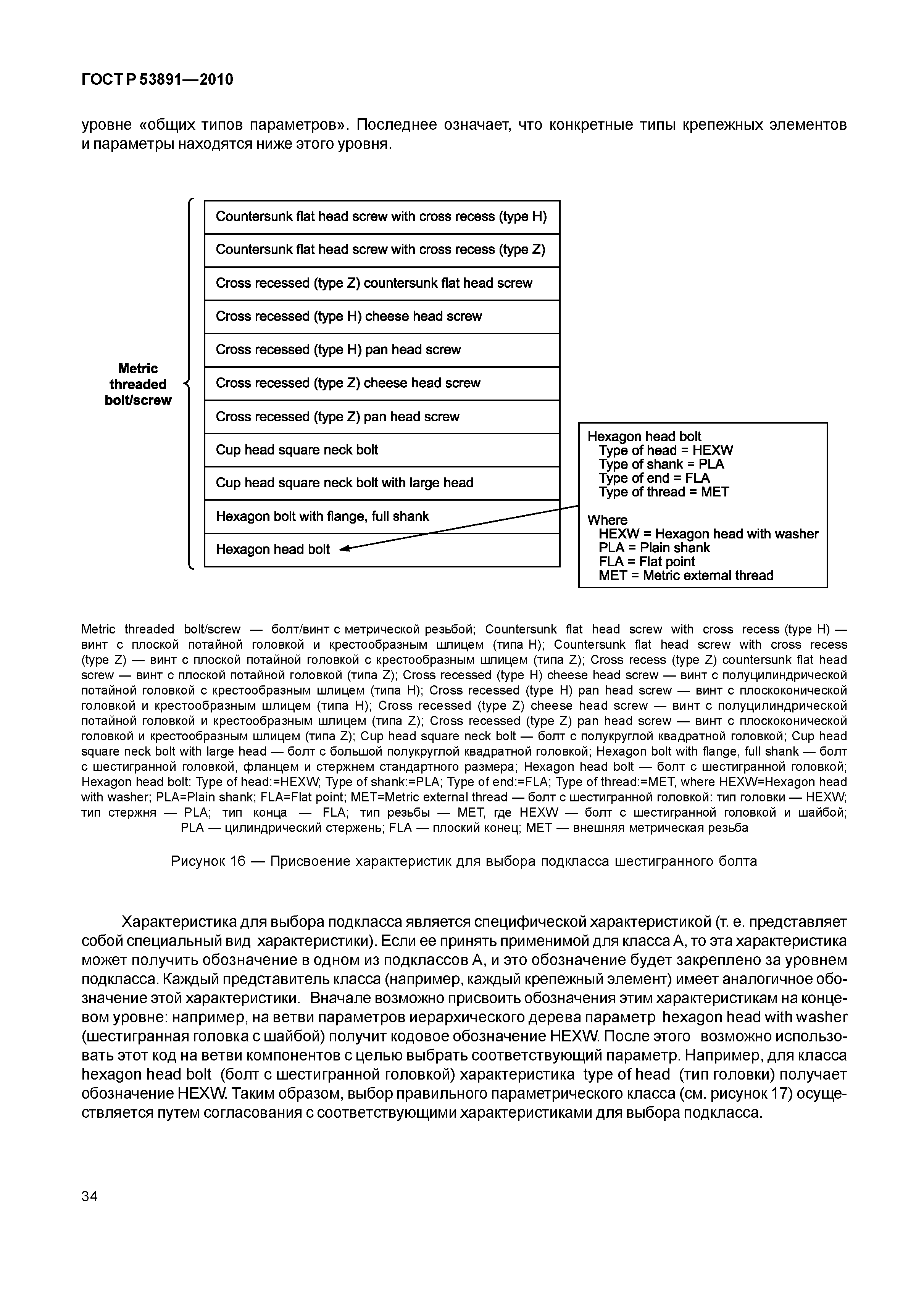
| Оглавление: | 1 Область применения 2 Термины и определения 3 Краткие сведения 4 Разработка глоссария ИСО 13399 4.1 Общие положения 4.2 Определение области применения разрабатываемого проекта 4.3 Подбор коллектива разработчиков проекта 4.4 Программные средства поддержки 4.5 Информационная модель PLIB 4.6 Установление взаимодействия между группами разработчиков 4.7 Разработка классификации 4.8 Действующие характеристики 4.9 Проверка записей 4.10 Пробная программная реализация 4.11 Выпуск стандартной документации 4.12 Трудозатраты 4.13 Выводы 5 Разработка глоссария МЭК 61360 5.1 Введение 5.2 Область применения и цели 5.3 Организация работ 5.4 Информационная модель ИСО/МЭК 5.5 Ограничения и использование информационной модели ИСО/МЭК 5.6 Атрибуты характеристик 5.7 Классификация компонентов 5.8 Процедура поддержания глоссария 5.9 Программные средства и публикации 5.10 Глобальная уникальная идентификация 5.11 Выводы 6 Разработка глоссария ИСО 13584-501 6.1 Общие положения 6.2 Начало и ход разработки глоссария 6.3 Разработка глоссария 6.4 Официальный выпуск стандарта 6.5 Применение стандартов на глоссарии 6.6 Предоставление средств, специалистов и финансовых ресурсов 6.7 Информационная модель PLIB 6.8 Плановое техническое обслуживание глоссария 6.9 Трудозатраты 6.10 Выводы 7 Разработка глоссария ИСО 13584-511 7.1 Определение области применения 7.2 Коллектив разработчиков ИСО 13584-511 и его связь с ТК2 7.3 Классификация 7.4 Пример иерархической структуры крепежных элементов с внешней резьбой и механизм ссылок 7.5 Характеристики 7.6 Твердость и резьба 7.7 Средства программного обеспечения 7.8 Выводы 8 Анкетирование по пройденному материалу 8.1 Общие положения 8.2 Ответы ИСО/ТК 37 (глоссарий по режущим инструментам) 8.3 Ответы МЭК/ТК 3/ПК 3D (глоссарий по электротехническим компонентам) 8.4 Ответы ИСО/ТК 184 /ПК 4/РГ 2, проектная группа ИСО 13584-501 (глоссарий по измерительным инструментам) 9 Заключение 9.1 Общие положения 9.2 Трудозатраты 9.3 Подготовка проекта 9.4 Необходимые знания и обучение экспертов 9.5 Инструментальные средства и программное обеспечение 9.6 Основные задачи моделирования 9.7 Сопровождение и практическое использование 9.8 Окончательный вывод Приложение А (справочное) Иллюстрация рабочего процесса Приложение В (справочное) Ссылки на Интернет-ресурсы по инструментальным средствам и на организации, занимающиеся поддержанием глоссариев Приложение С (справочное) Глоссарий полезных терминов |
| Разработан: | НТЦ ИНТЕК |
| Утверждён: | 12.10.2010 Федеральное агентство по техническому регулированию и метрологии (299-ст) |
| Издан: | Стандартинформ (2011 г. ) |





















































