Скачать Серия 3.904-24 Выпуск 1-1. Рабочие чертежи. Виброизолирующие устройстваДата актуализации: 01.01.2021
|
| Обозначение: | Серия 3.904-24 |
| Обозначение англ: | Series 3.904-24 |
| Статус: | не действует |
| Название рус.: | Выпуск 1-1. Рабочие чертежи. Виброизолирующие устройства |
| Дата добавления в базу: | 01.09.2013 |
| Дата актуализации: | 01.01.2021 |
| Дата введения: | 15.12.1985 |
| Дата окончания срока действия: | 01.09.1991 |
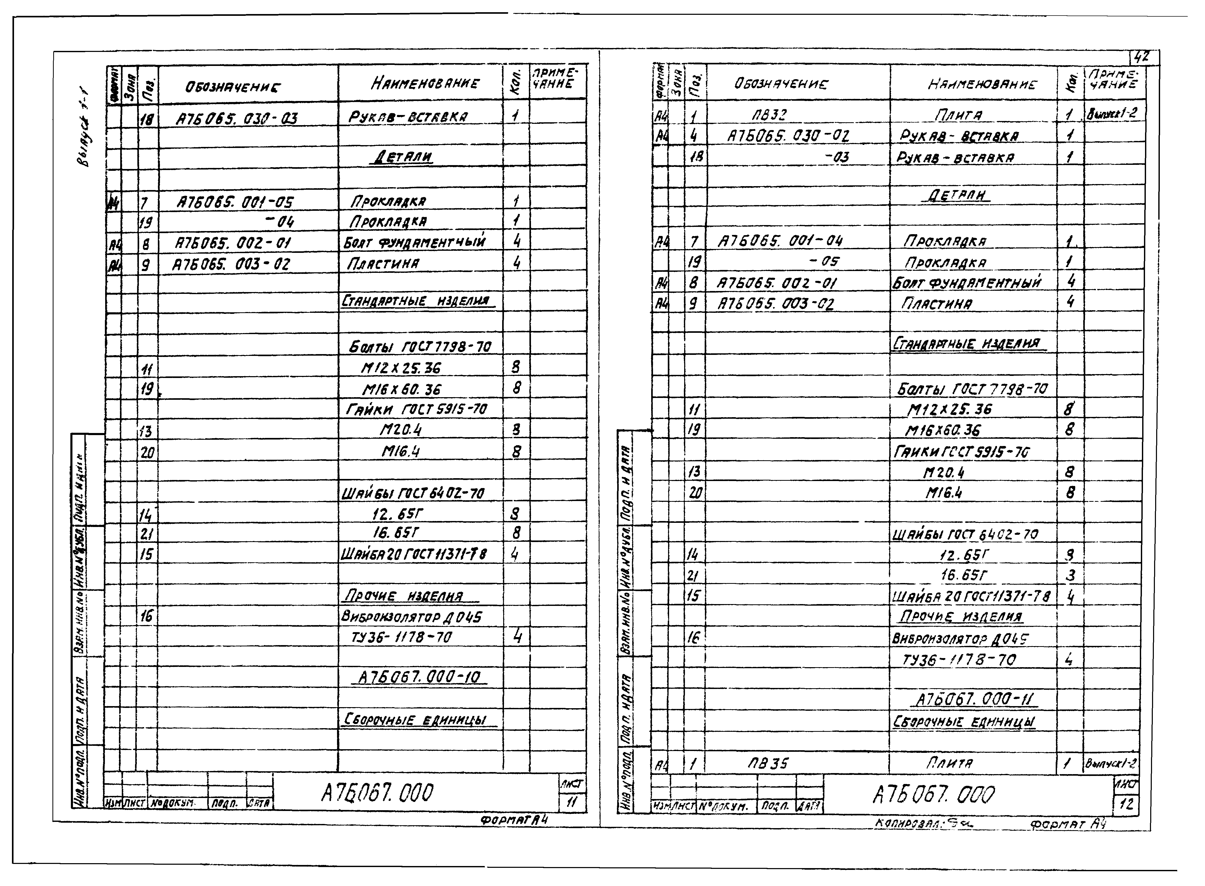
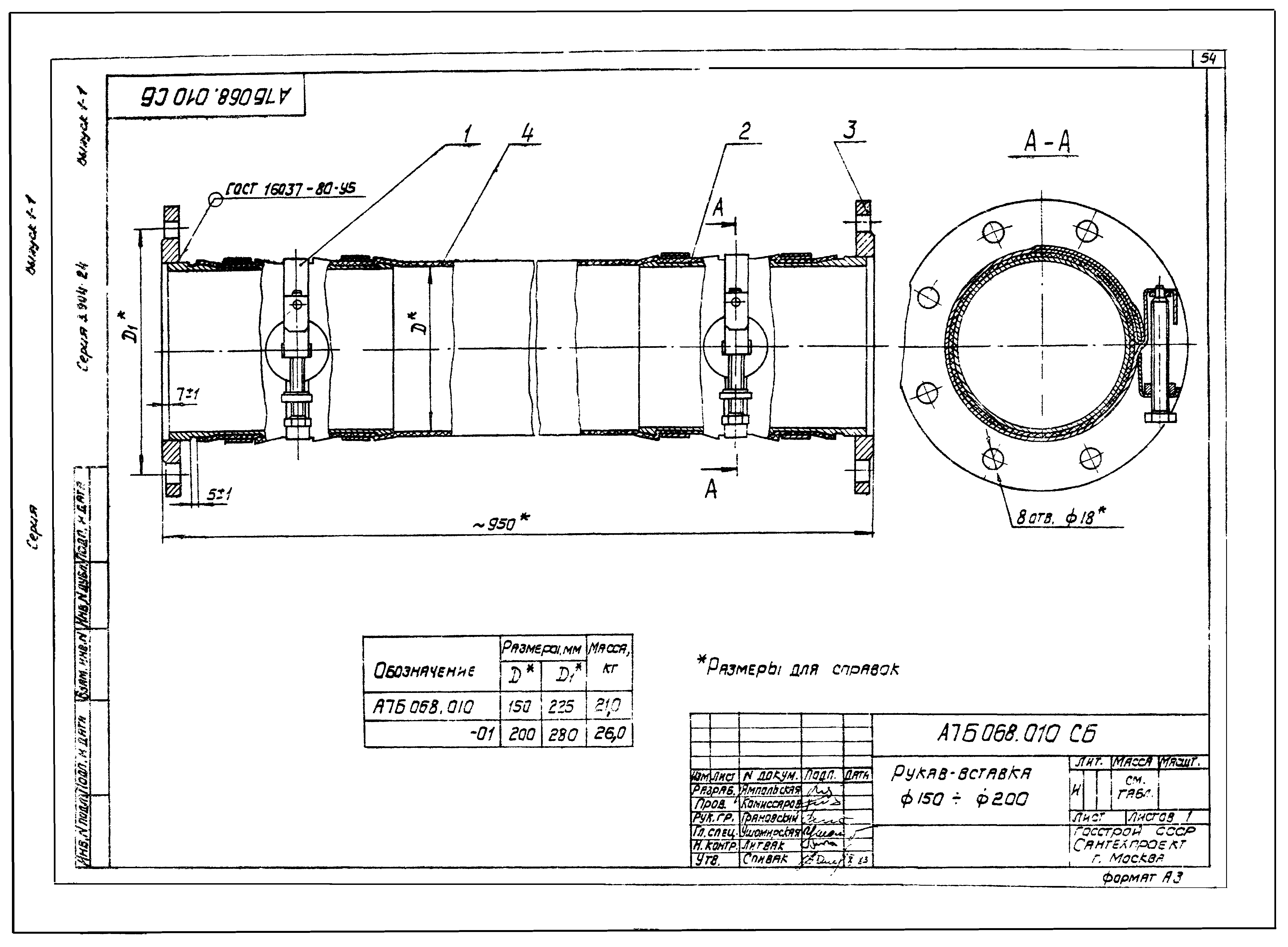
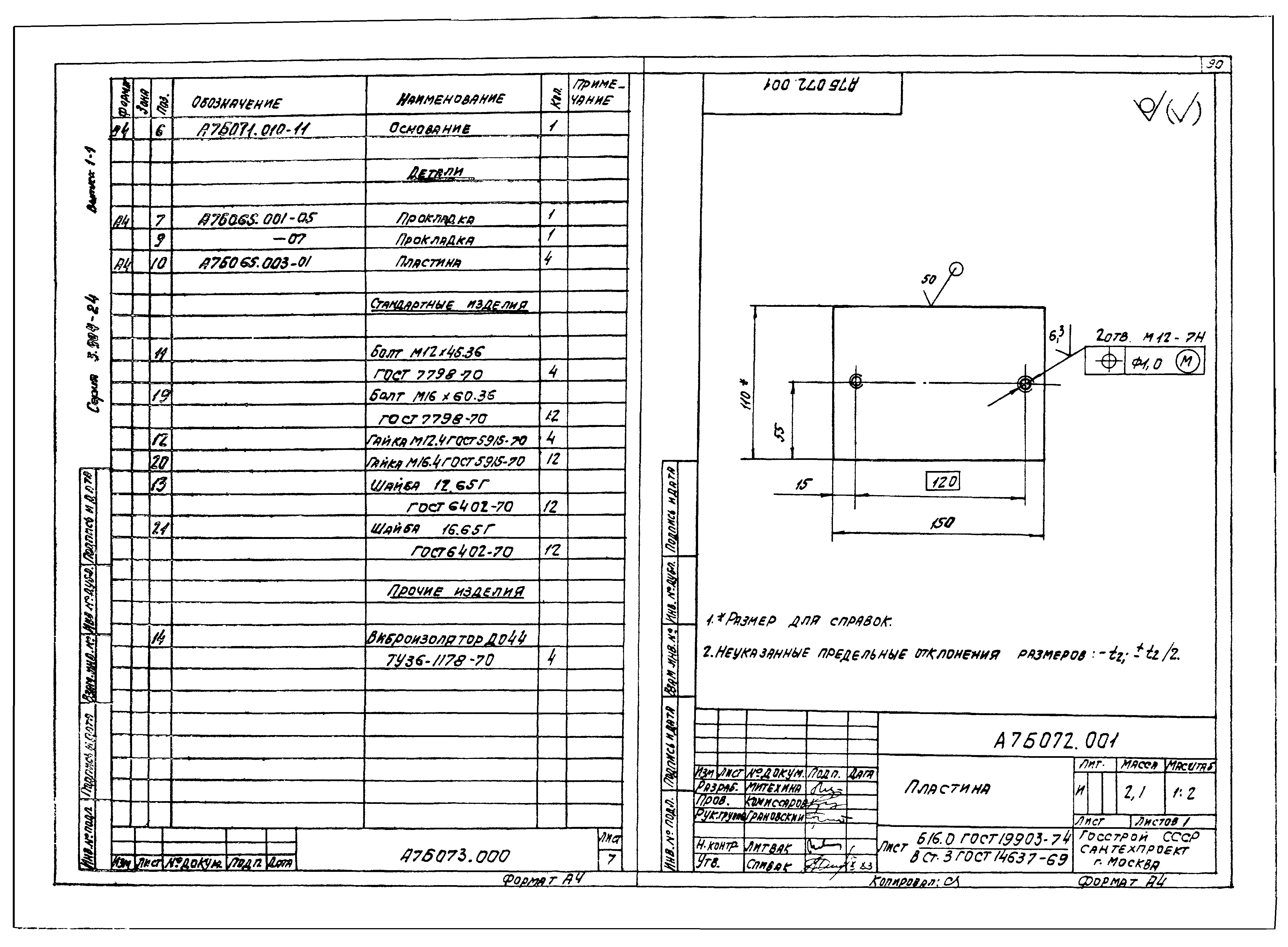
| Оглавление: | Содержание А7Б065.000Д Технические требования А7Б065.000 Виброизолирующее основание и гибкие вставки для насосов марки "К". Тип 1 А7Б065.000 СБ Виброизолирующее основание и гибкие вставки для насосов марки "К". Тип 1 А7Б065.010 Отвод А7Б065.001 Прокладка А7Б065.010 СБ Отвод А7Б065.002 Болт фундаментный А7Б065.003 Пластина А7Б065.020 Переход А7Б065.030 Рукав-вставка ø50-ø125 А7Б065.020 СБ Переход А7Б065.030 СБ Рукав-вставка ø50-ø125 А7Б065.031 Патрубок А7Б065.041 Серьга хомута А7Б065.040 Хомут А7Б065.040 СБ Хомут А7Б065.042 Гайка А7Б065.043 Болт А7Б065.044 Шайба А7Б065.045 Лента хомута А7Б066.000 Виброизолирующее основание и гибкие вставки для насосов марки "К". Тип 2 А7Б066.000 СБ Виброизолирующее основание и гибкие вставки для насосов марки "К". Тип 2 А7Б067.000 Виброизолирующее основание и гибкие вставки для насосов марки "К". Тип 3 А7Б067.000 СБ Виброизолирующее основание и гибкие вставки для насосов марки "К". Тип 3 А7Б068.000 Виброизолирующее основание и гибкие вставки для насосов марки "К". Тип 4 А7Б068.000 СБ Виброизолирующее основание и гибкие вставки для насосов марки "К". Тип 4 А7Б068.010 СБ Рукав-вставка ø150;ø200 А7Б069.000 Виброизолирующее основание и гибкие вставки для насосов марки "К". Тип 5 А7Б069.000 СБ Виброизолирующее основание и гибкие вставки для насосов марки "К". Тип 5 А7Б070.000 Виброизолирующее основание и гибкие вставки для насосов марки "К". Тип 6 А7Б068.010 Рукав-вставка ø150;ø200 А7Б070.000 СБ Виброизолирующее основание и гибкие вставки для насосов марки "К". Тип 6 А7Б071.000 Виброизолирующее основание и гибкие вставки для насосов марки "КМ". Тип 1 А7Б072.000 Виброизолирующее основание и гибкие вставки для насосов марки "КМ". Тип 2 А7Б071.000 СБ Виброизолирующее основание и гибкие вставки для насосов марки "КМ". Тип 1 А7Б072.000 СБ Виброизолирующее основание и гибкие вставки для насосов марки "КМ". Тип 2 А7Б071.010 Основание А7Б071.010 СБ Основание А7Б073.000 Виброизолирующее основание и гибкие вставки для насосов марки "КМ". Тип 3 А7Б072.001 Пластина А7Б073.000 СБ Виброизолирующее основание и гибкие вставки для насосов марки "КМ". Тип 3 |
| Разработан: | Сантехниипроект Госстроя России |
| Утверждён: | 03.10.1985 Госстрой СССР (Государственный комитет Совета Министров СССР по делам строительства) (USSR Gosstroy АЧ-42) |
| Чем заменён: |





























































































