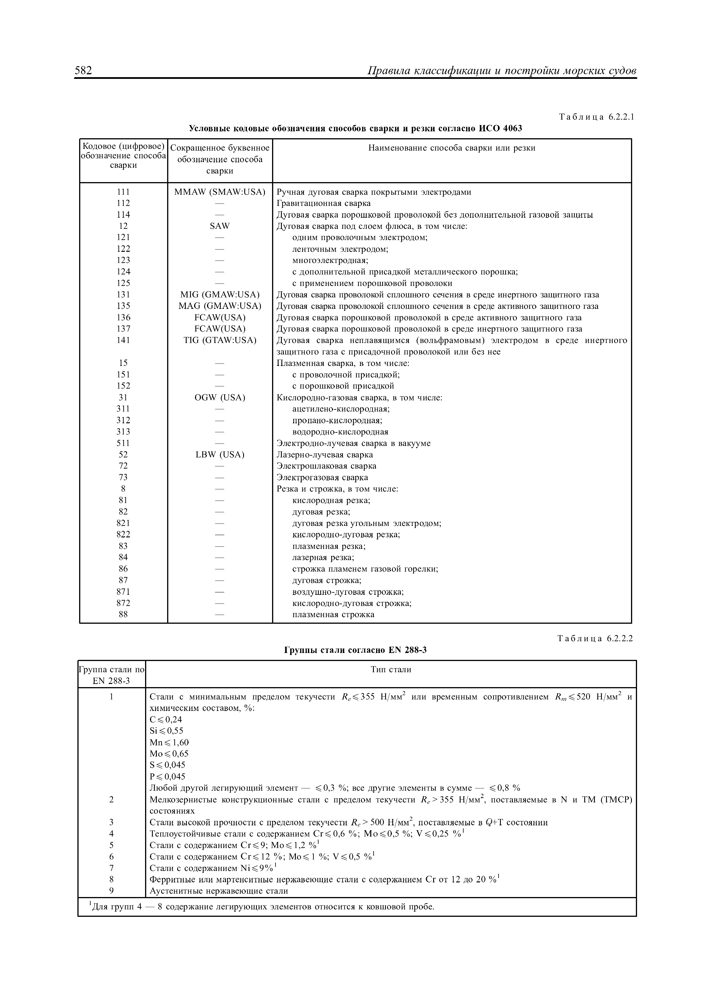
Скачать
Дата актуализации: 01.01.2021
Статус:
введен впервые
Дата добавления в базу:
01.09.2013
Дата актуализации:
-