Скачать РД 31.56.01-91 Рекомендации по замене зарубежных подшипников качения судовых электрических машин на отечественныеДата актуализации: 01.01.2021
|
| Обозначение: | РД 31.56.01-91 |
| Обозначение англ: | RD 31.56.01-91 |
| Статус: | действует |
| Название рус.: | Рекомендации по замене зарубежных подшипников качения судовых электрических машин на отечественные |
| Дата добавления в базу: | 01.09.2013 |
| Дата актуализации: | 01.01.2021 |
| Дата введения: | 01.01.1992 |
| Область применения: | Документ устанавливает рекомендации по подбору и замене изношенных подшипников качения в судовых электрических машинах зарубежного производства отечественными на судах ММФ и предназначается для технических отделов пароходств, служб судового хозяйства, СМТС пароходств, судоремонтных заводов, а также непосредственно для судового персонала. |
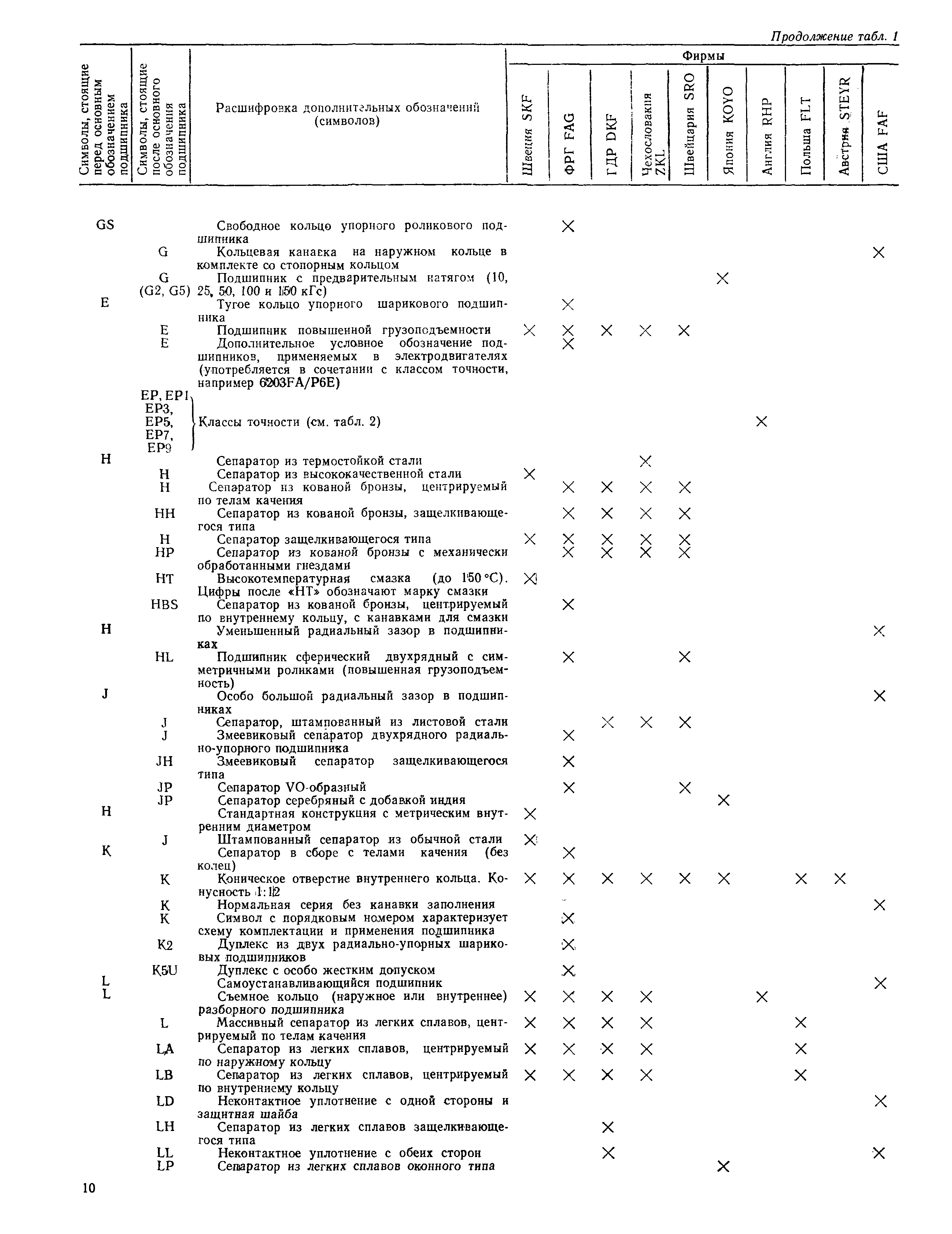
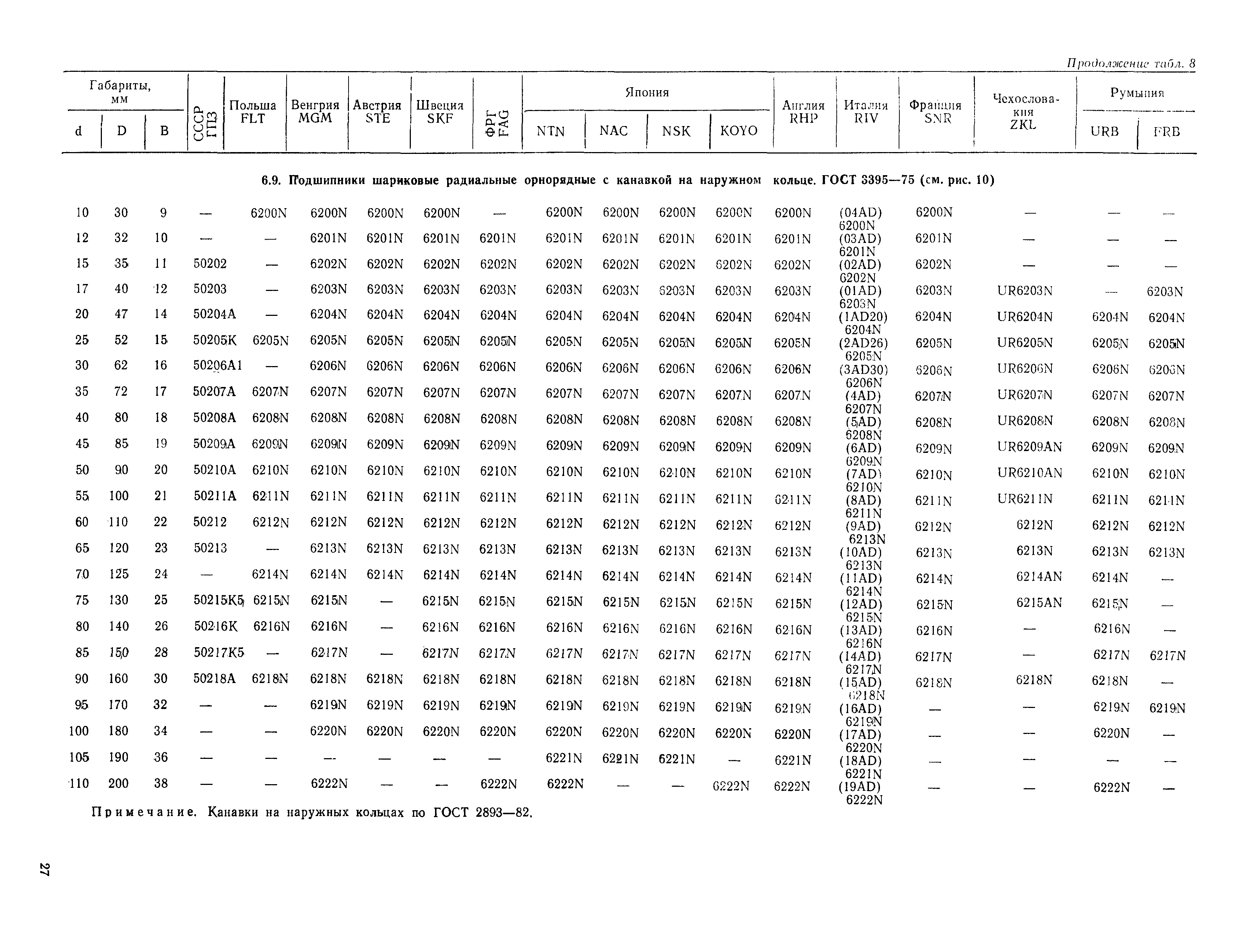
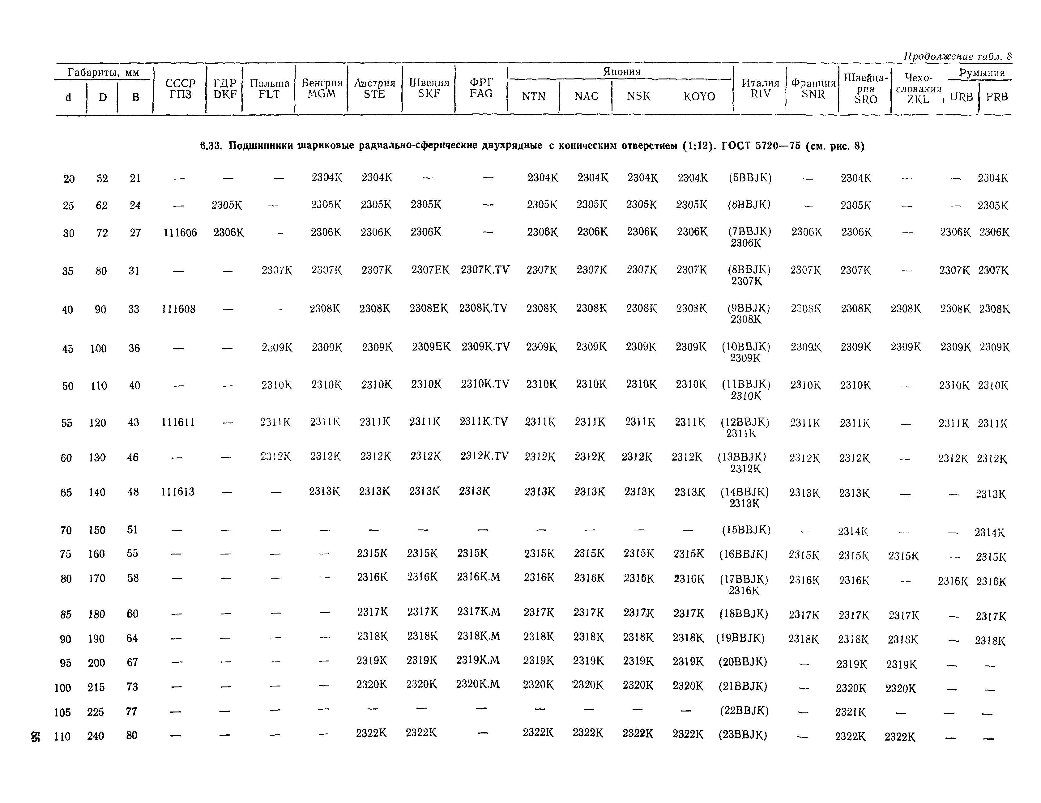
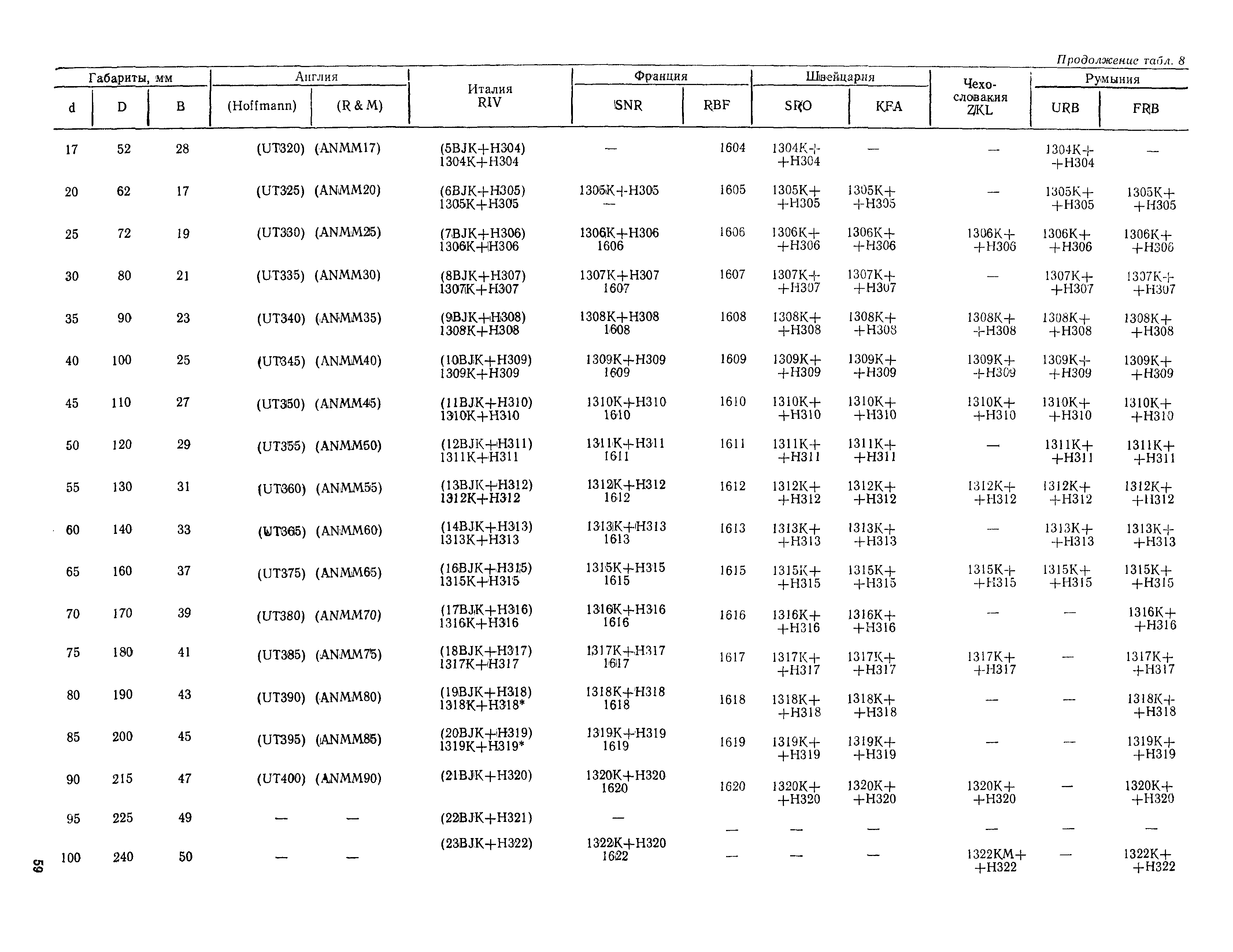
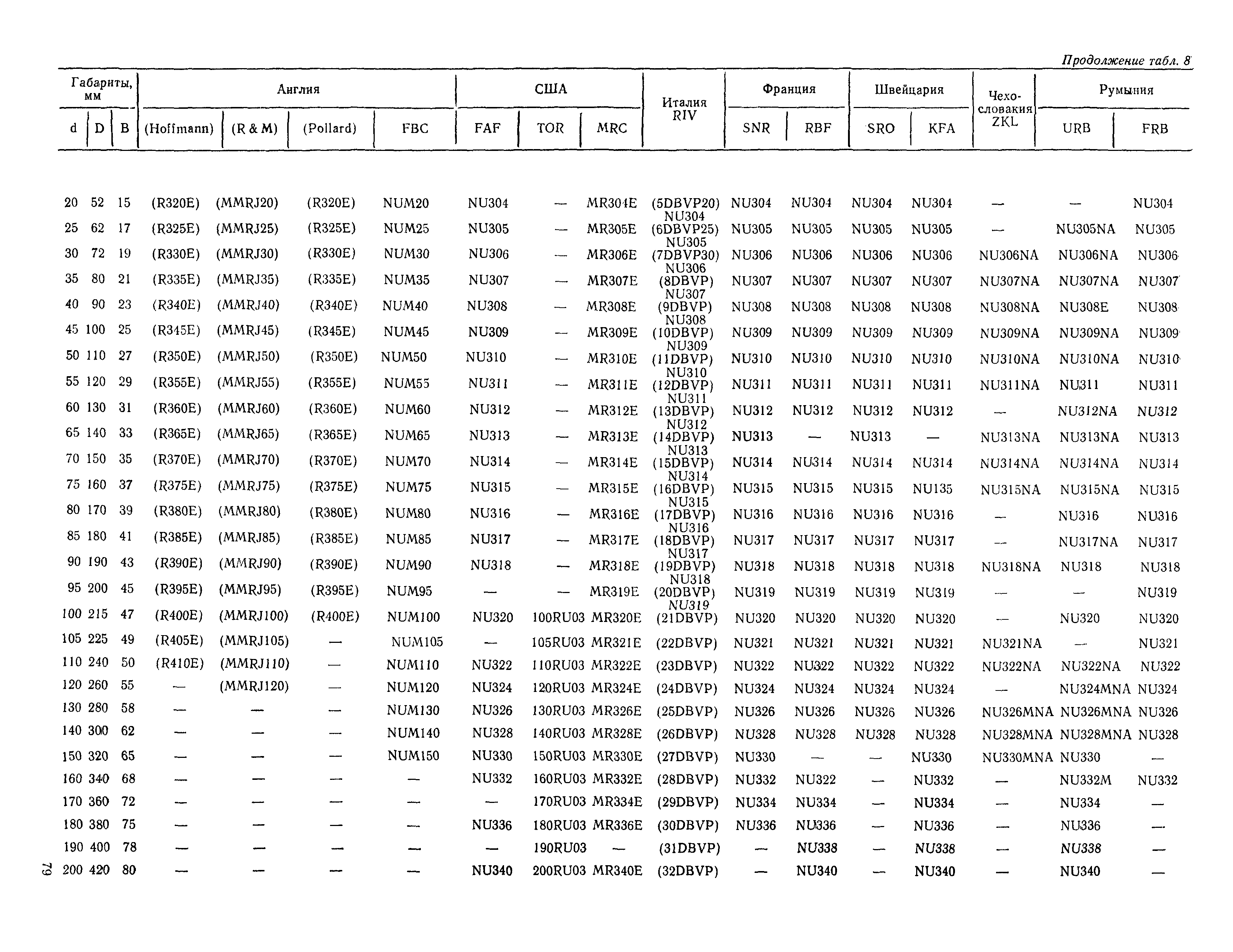
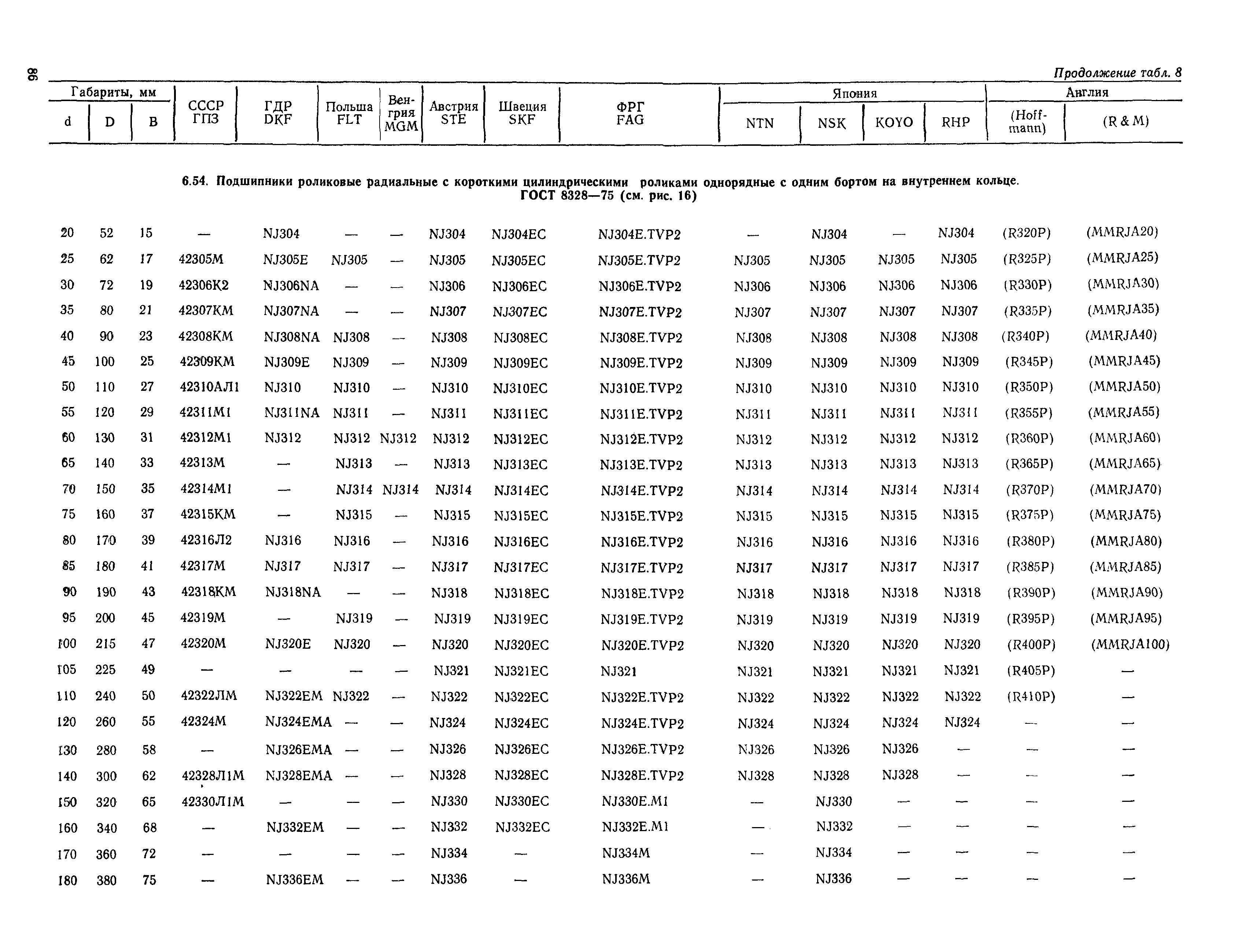
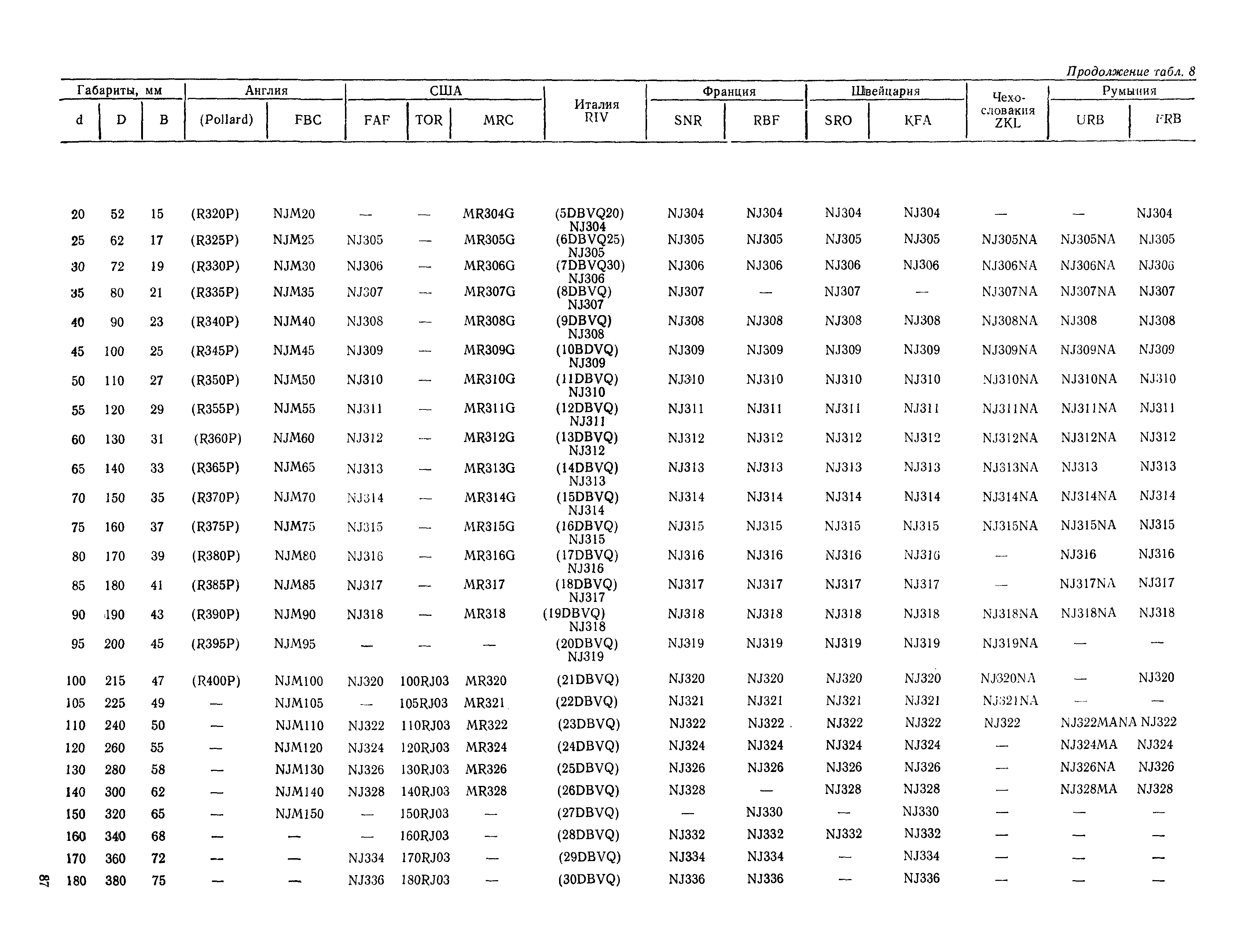
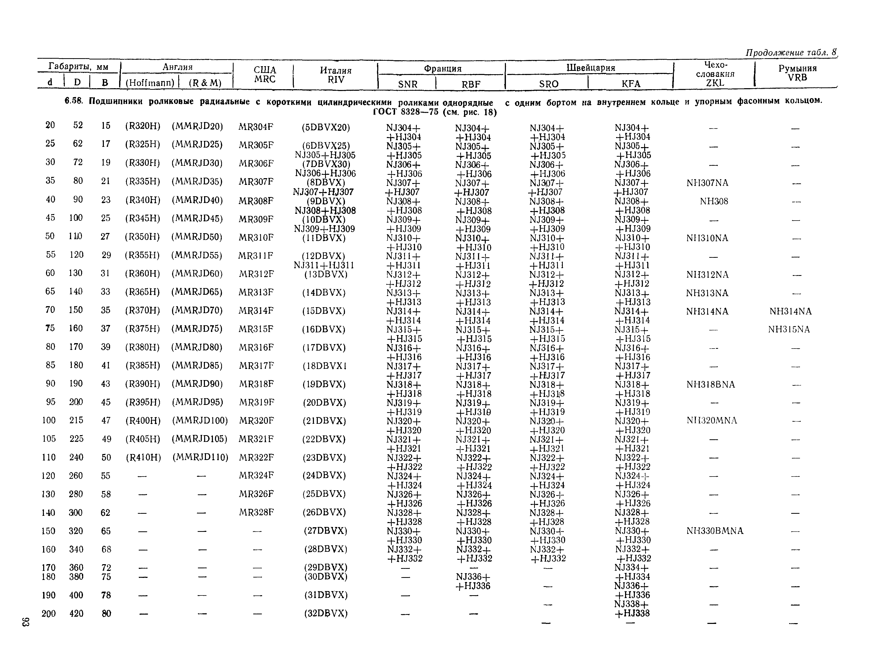
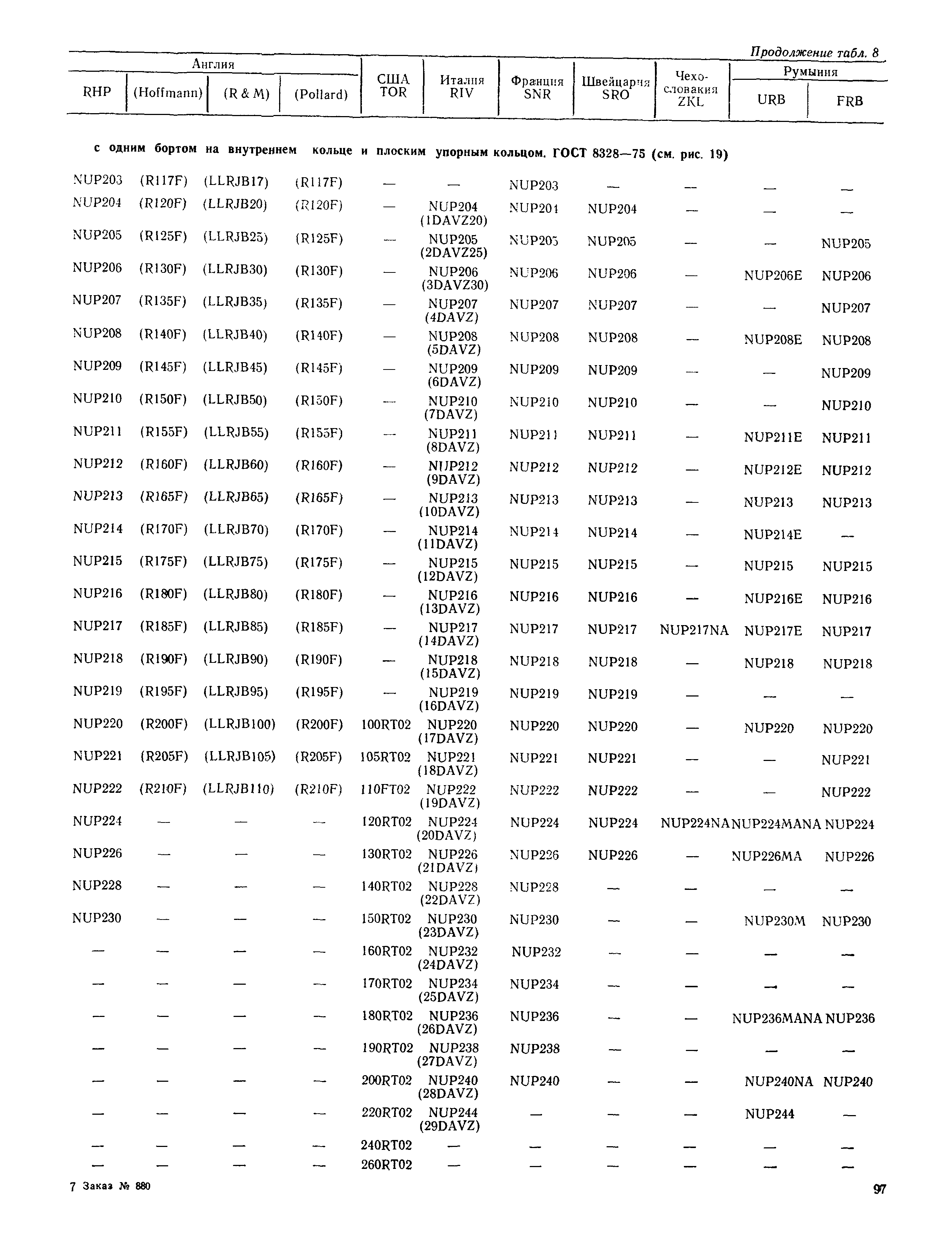
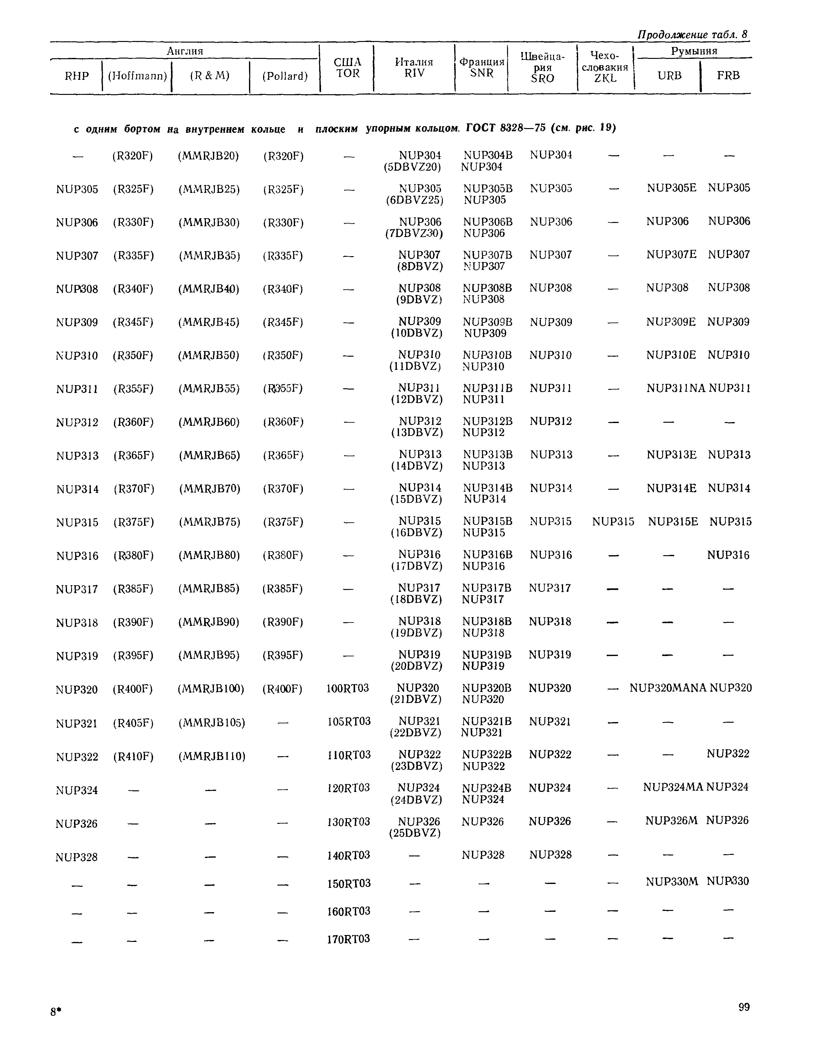
| Оглавление: | 1. Основные положения 2. Пояснения к таблицам подшипников качения 3. Порядок выбора отечественного подшипника 4. Дополнительные буквенно-цифровые обозначения подшипников зарубежных фирм, характеризующие условия изготовления и конструктивные особенности данного подшипника 5. Рисунки, характеризующие конструкцию подшипников зарубежных фирм 6. Сводная таблица подшипников качения 7. Сводная таблица подшипников качения с дополнительными буквенно-цифровыми обозначениями Вспомогательная таблица выбора подшипников в разделах 6 и 7 Приложение (справочное) |
| Разработан: | ЦНИИМФ |
| Утверждён: | 01.01.1992 ЦНИИМФ |
| Издан: | В/О Мортехинформреклама (1991 г. ) |
| Заменяет собой: |
|



































































































































