Скачать Р 50.2.076-2010 Государственная система обеспечения единства измерений. Плотность нефти и нефтепродуктов. Методы расчета. Программа и таблицы приведенияДата актуализации: 01.01.2021
|
| Обозначение: | Р 50.2.076-2010 |
| Обозначение англ: | R 50.2.076-2010 |
| Статус: | введен впервые |
| Название рус.: | Государственная система обеспечения единства измерений. Плотность нефти и нефтепродуктов. Методы расчета. Программа и таблицы приведения |
| Название англ.: | State system for ensuring the uniformity of measurements. Density of petroleum and petroleum products. Methods of calculation. Programme and tables of calculation |
| Дата добавления в базу: | 01.09.2013 |
| Дата актуализации: | 01.01.2021 |
| Дата введения: | 01.07.2011 |
| Область применения: | Рекомендации распространяются на методы расчета плотности, коэффициентов объемного расширения и сжимаемости нефти, нефтепродуктов и смазочных масел. Рекомендации предназначены для использования в расчетах плотности при проведении учетно-расчетных операций в сфере государственного регулирования обеспечения единства измерений, а также для внутрихозяйственного учета. |
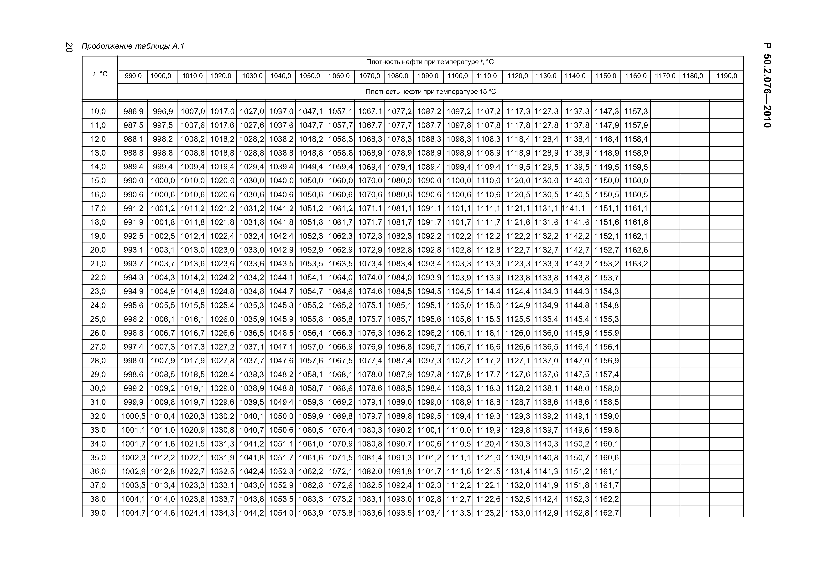
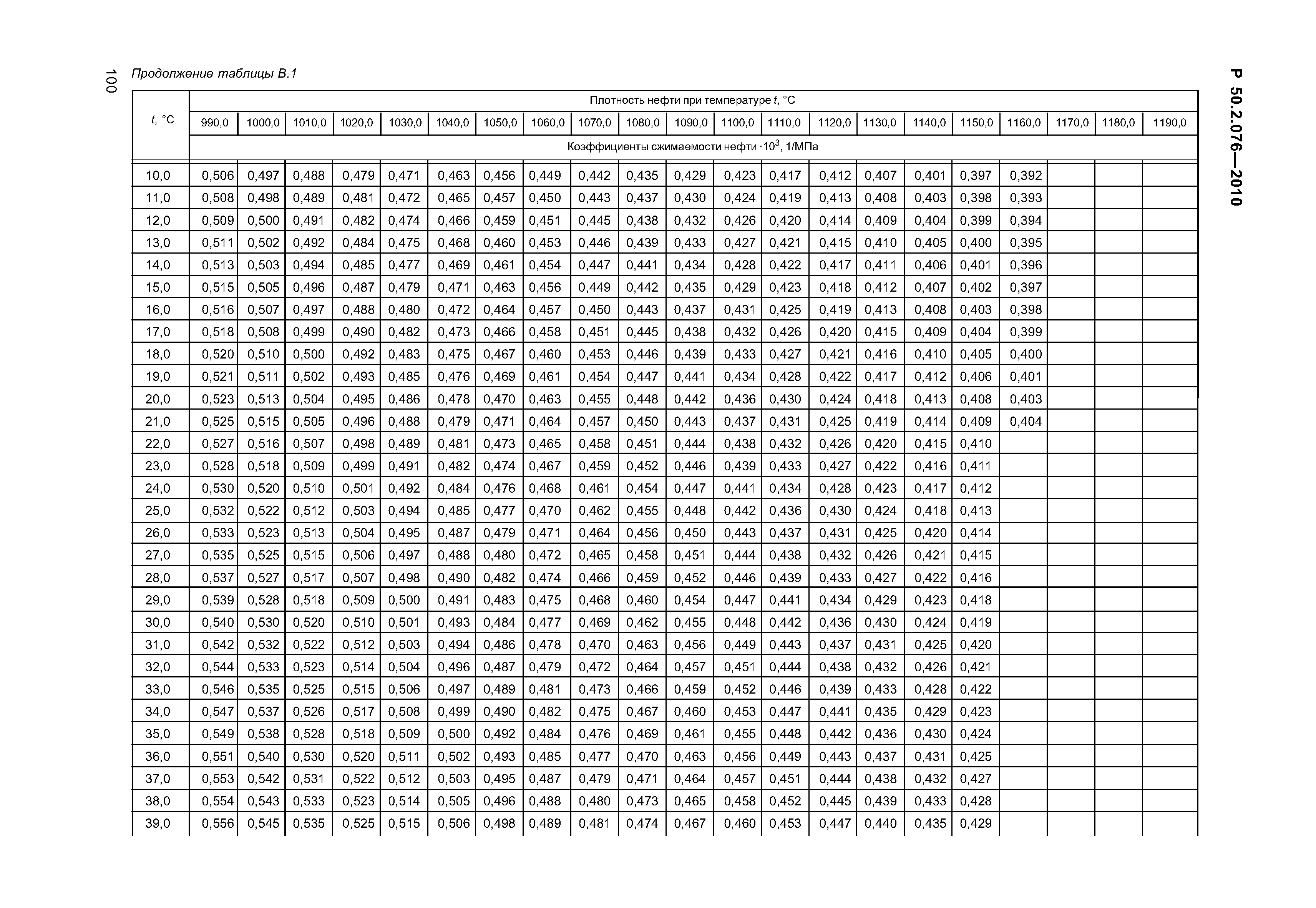
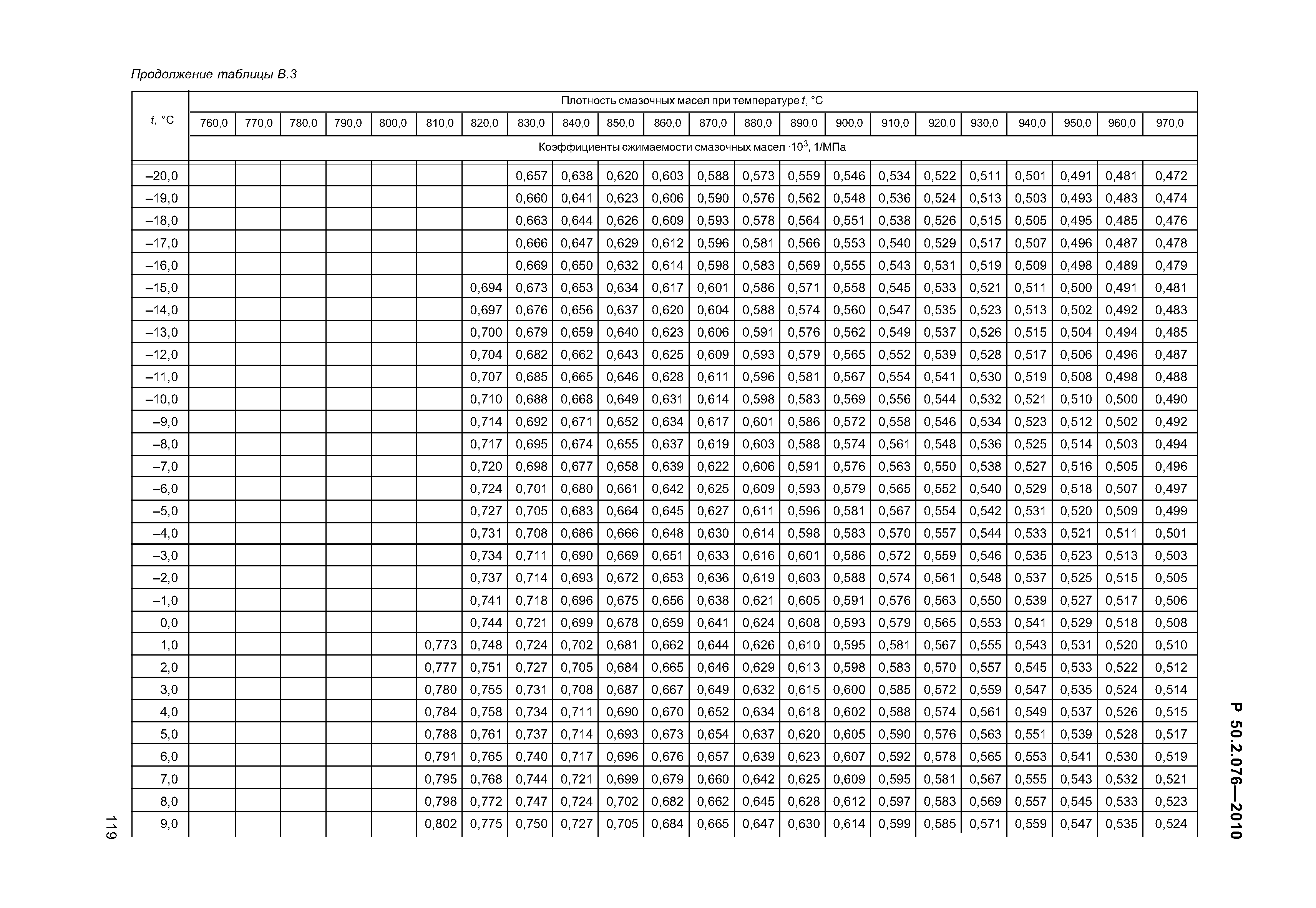
| Оглавление: | 1 Область применения 2 Обозначения 3 Метод расчета плотности 4 Таблицы приведения плотности 5 Программа приведения плотности Приложение А (обязательное). Таблицы пересчета плотности нефти, нефтепродуктов и смазочных масел при температуре t градусов Цельсия в плотность при температуре 15 градусов Цельсия Приложение Б (обязательное). Таблицы пересчета плотности нефти, нефтепродуктов и смазочных масел при температуре 15 градусов Цельсия в плотность при температуре t градусов Цельсия Приложение В (обязательное). Таблицы коэффициентов сжимаемости нефти, нефтепродуктов и смазочных масел Приложение Г (обязательное). Таблицы коэффициентов объемного расширения нефти, нефтепродуктов и смазочных масел Библиография |
| Разработан: | ФГУП ВНИИР-ГНМЦ |
| Утверждён: | 28.12.2010 Федеральное агентство по техническому регулированию и метрологии (1136-ст) |
| Издан: | Стандартинформ (2011 г. ) |
| Нормативные ссылки: |












































































































































