Скачать Типовые проекты общих стандартов предприятия по управлению качеством древесных плит, стандартных деревянных домов и спичекДата актуализации: 01.01.2021
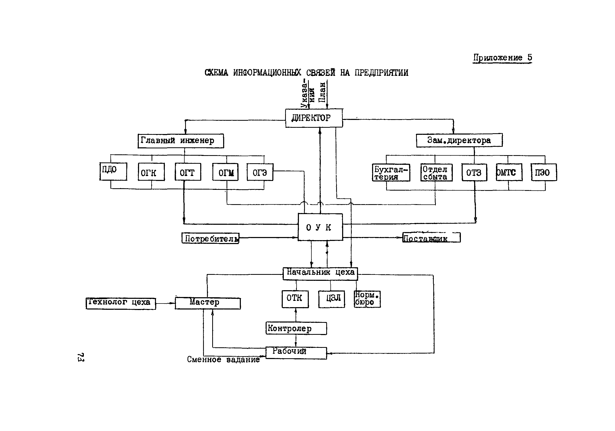
Типовые проекты общих стандартов предприятия по управлению качеством древесных плит, стандартных деревянных домов и спичек| Статус: | не действует | | Название рус.: | Типовые проекты общих стандартов предприятия по управлению качеством древесных плит, стандартных деревянных домов и спичек | | Дата добавления в базу: | 01.09.2013 | | Дата актуализации: | 01.01.2021 | | Область применения: | Рекомендации включают номенклатуру СТП, которая предусматривает охват всех функций производственного процесса. | | Оглавление: | Методические указания по применению типовых проектов стандартов предприятия при разработке комплексной системы управления качеством продукции 1. Общие положения 2. Особенности разработки КС УКП на основе типовых проектов стандартов предприятия 3. Состав типовых проектов стандартов предприятия КС УКП (древесных плит, стандартных деревянных домов и спичек) СТП Комплексная система управления качеством продукции. Метрологическое обеспечение качества продукции. Основные положения СТП Комплексная система управления качеством продукции. Подготовка к Государственной аттестации СТП Комплексная система управления качеством продукции. Методика анализа причин дефектов и брака СТП Комплексная система управления качеством продукции. Порядок сбора и обработки информации о качестве продукции СТП Комплексная система управления качеством продукции. Порядок планирования качества продукции СТМ Комплексная система управления качеством продукции. Организация обучения и повышения квалификации кадров’ СТП Комплексная система управления качеством продукции. Планирование организации труда работников СТП Комплексная система управления качеством продукции. Методика оценки экономической эффективности | | Разработан: | ВНИИдрев
| | Утверждён: | 13.12.1977 Министерство лесной и деревообрабатывающей промышленности СССР
|
                                                                                                                                                   
|