Скачать Классификатор ЕСКД. Класс 56. Источники электрической энергии. Системы электроснабжения. Комплекты электрооборудования

Дата актуализации: 01.01.2021

Классификатор ЕСКД. Класс 56. Источники электрической энергии. Системы электроснабжения. Комплекты электрооборудования

Статус:действует
Название рус.:Классификатор ЕСКД. Класс 56. Источники электрической энергии. Системы электроснабжения. Комплекты электрооборудования
Дата добавления в базу:01.09.2013
Дата актуализации:01.01.2021
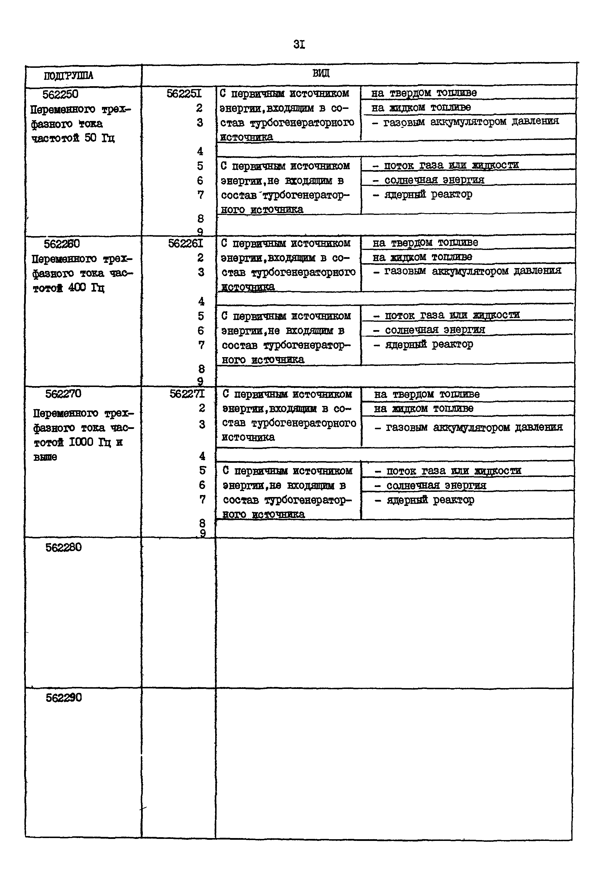
Оглавление:Сетка подклассов и групп
Классификационные таблицы
Алфавитно-предметный указатель наименований изделий
Разработан: ВНИИНМАШ
ВНИИстандартэлектро
Утверждён:06.09.1979 Государственный комитет СССР по стандартам (USSR National Committee on Standards 100)