Скачать Часть I Строительные материалы. Сборник средних районных сметных цен на материалы, изделия и конструкцииДата актуализации: 01.01.2021
|
| Обозначение: | Часть I |
| Обозначение англ: | Часть I |
| Статус: | заменен |
| Название рус.: | Строительные материалы. Сборник средних районных сметных цен на материалы, изделия и конструкции |
| Дата добавления в базу: | 01.09.2013 |
| Дата актуализации: | 01.01.2021 |
| Дата введения: | 01.01.1984 |
| Дата окончания срока действия: | 01.01.1991 |
| Область применения: | Средние районные сметные цены на материалы, изделия в конструкции предназначены для определения счетной стоимости строительно-монтажных работ и показателя товарной строительной продукции. Их надлежит применять при разработке единичных расценок на строительные работы, сметных норм (расценок) на монтаж оборудования, прейскурантов на строительство зданий и сооружений, укрупненных сметных норм на здания и сооружения, укрупненных сметных норм на конструкции и виды работ и других сметных нормативов, а также при составлении сметной документации на строительство предприятий, зданий в сооружений. |
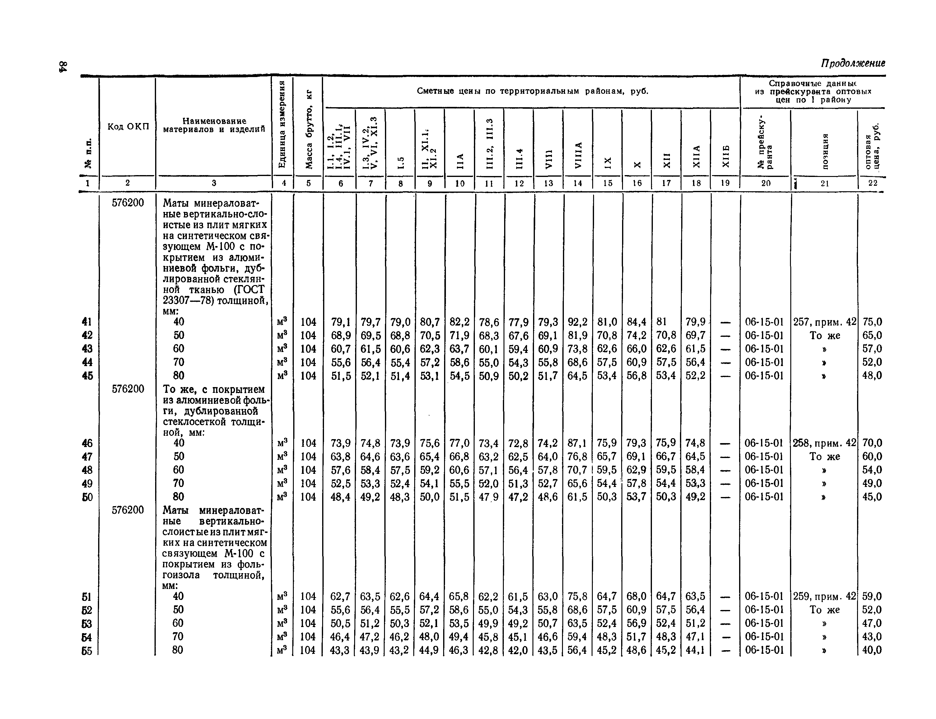
| Оглавление: | Общие положения Техническая часть Раздел I. Материалы для общестроительных работ Раздел II. Лесоматериалы Раздел III. Трубы стальные, чугунные, асбестоцементные и керамические Раздел IV. Материалы для теплоизоляционных работ Раздел V. Материалы верхнего строения пути железных дорог широкой колеи Раздел VI. Материалы верхнего строения пути железных дорог узкой колеи Раздел VII. Материалы верхнего строения трамвайных путей Раздел VIII. Материалы для метрополитенов и тоннелей Раздел IX. Материалы для горнопроходческих работ Раздел X. Материалы для сооружений связи Раздел XI. Материалы для сигнализации, централизации, автоблокировки и электрификации железных дорог Раздел XII. Материалы для производства взрывных работ Раздел XIII. Материалы для антикоррозионных защитных покрытий Раздел XIV. Материалы для удобрения и химических средств защиты растений |
| Разработан: | Союзводоканалпроект Промстройпроект НИИЭС Гсстроя СССР |
| Утверждён: | 01.03.1982 Госстрой СССР (Государственный комитет Совета Министров СССР по делам строительства) (USSR Gosstroy 46) |
| Издан: | Стройиздат (1982 г. ) |
| Список изменений: | |
| Заменяет собой: |
|






























































































































































































Текстовое изменение поправки
Текстовое изменение поправки
Текстовое изменение поправки

Текстовое изменение поправки

Текстовое изменение поправки
Текстовое изменение поправки