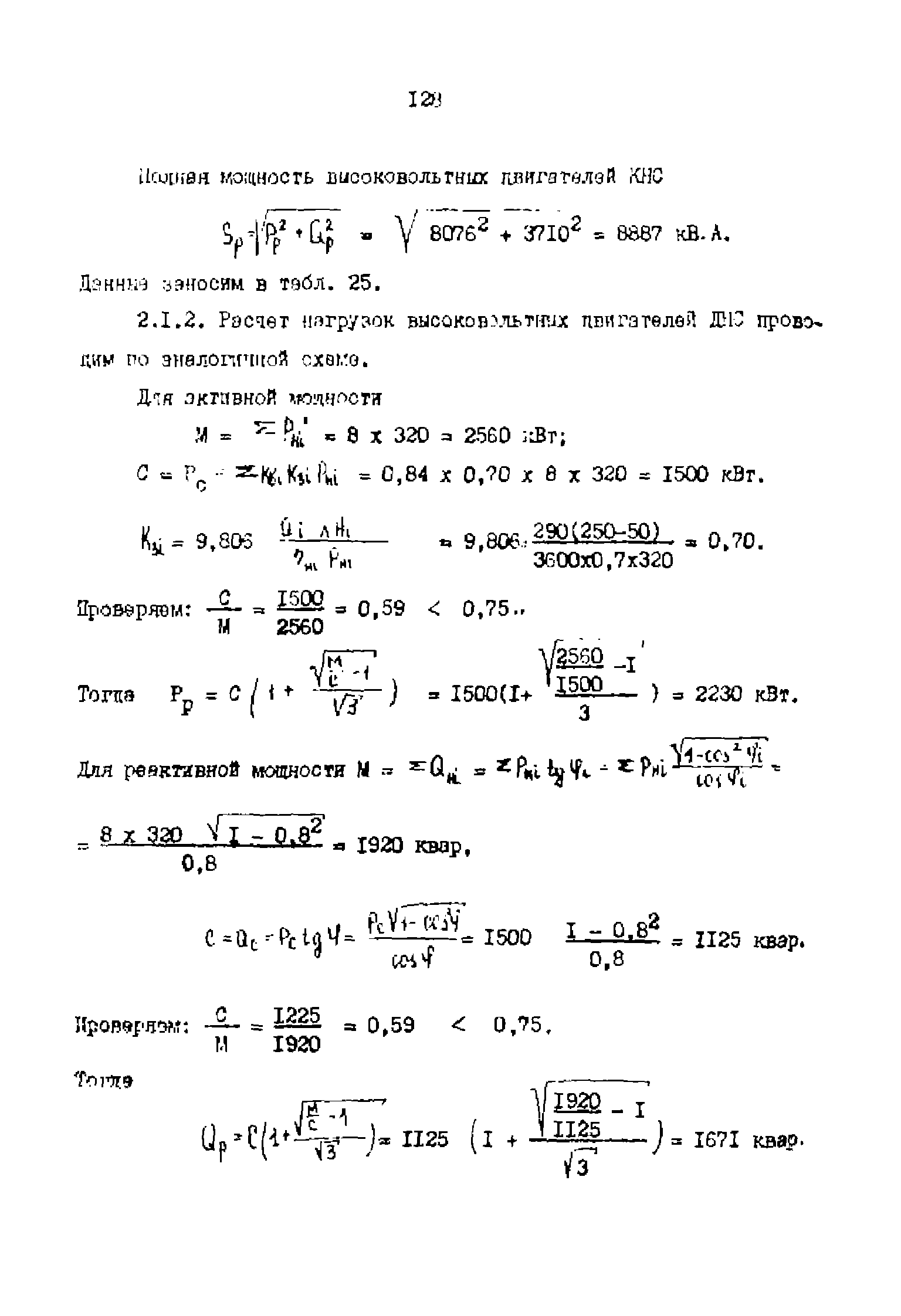
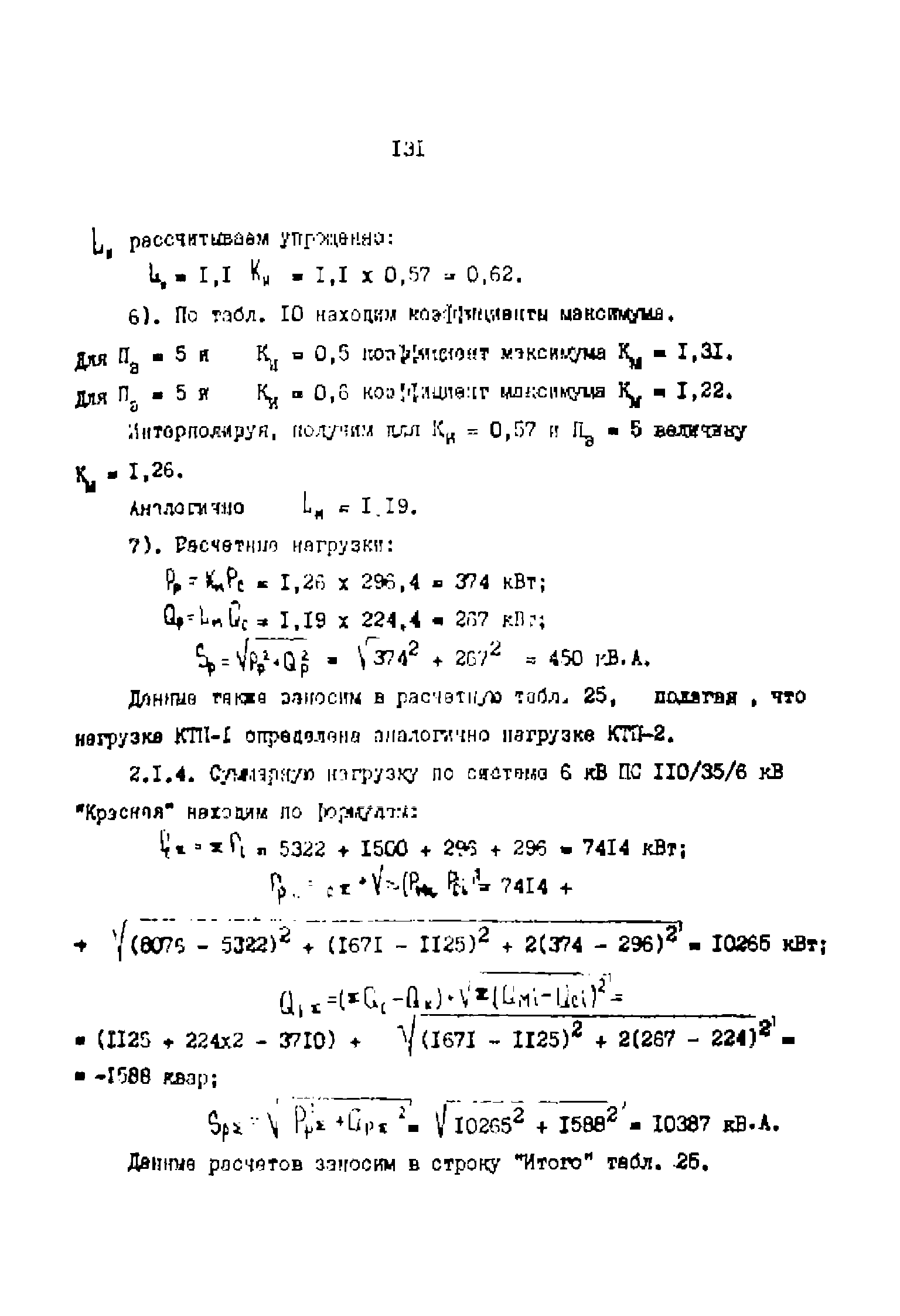
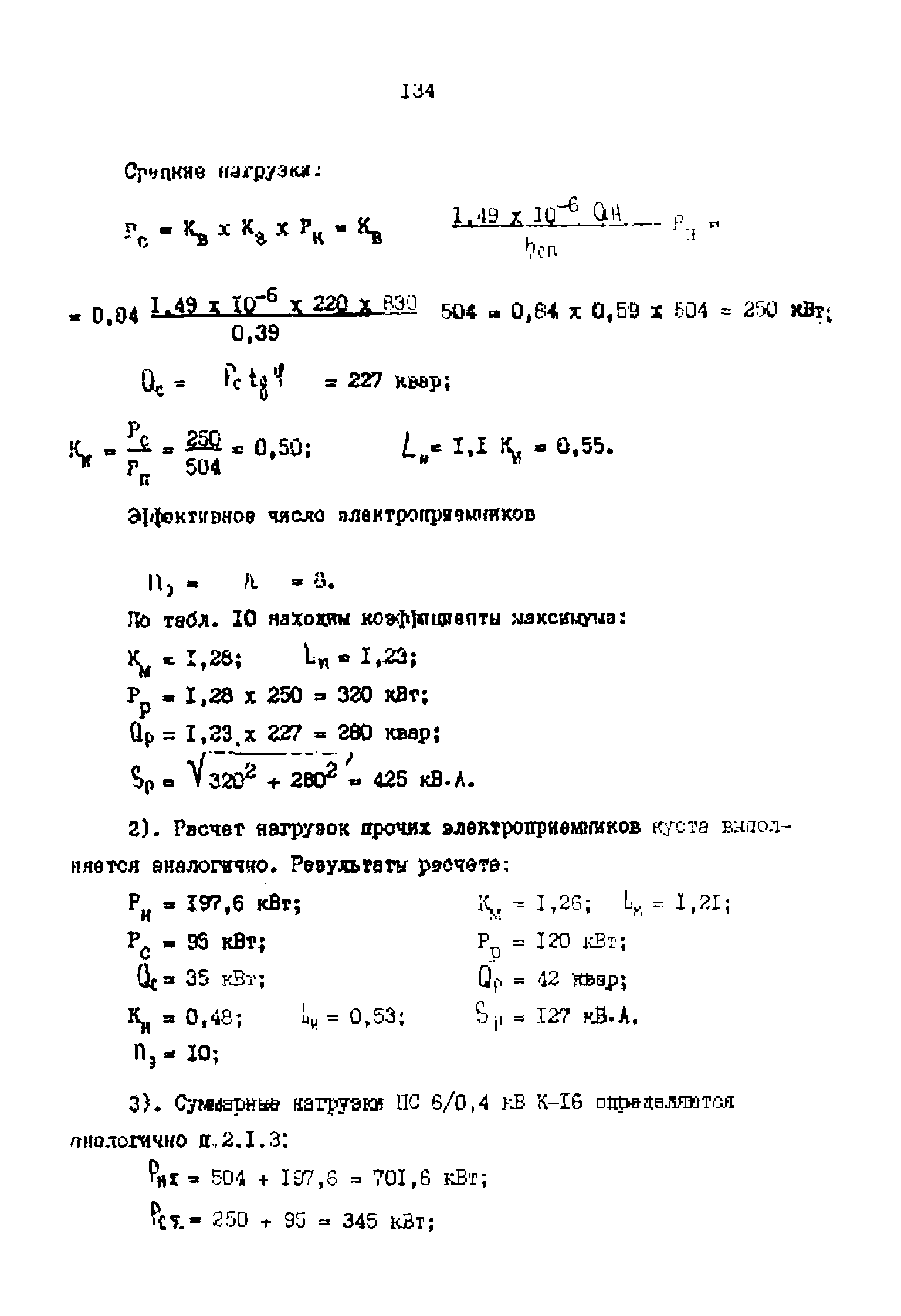
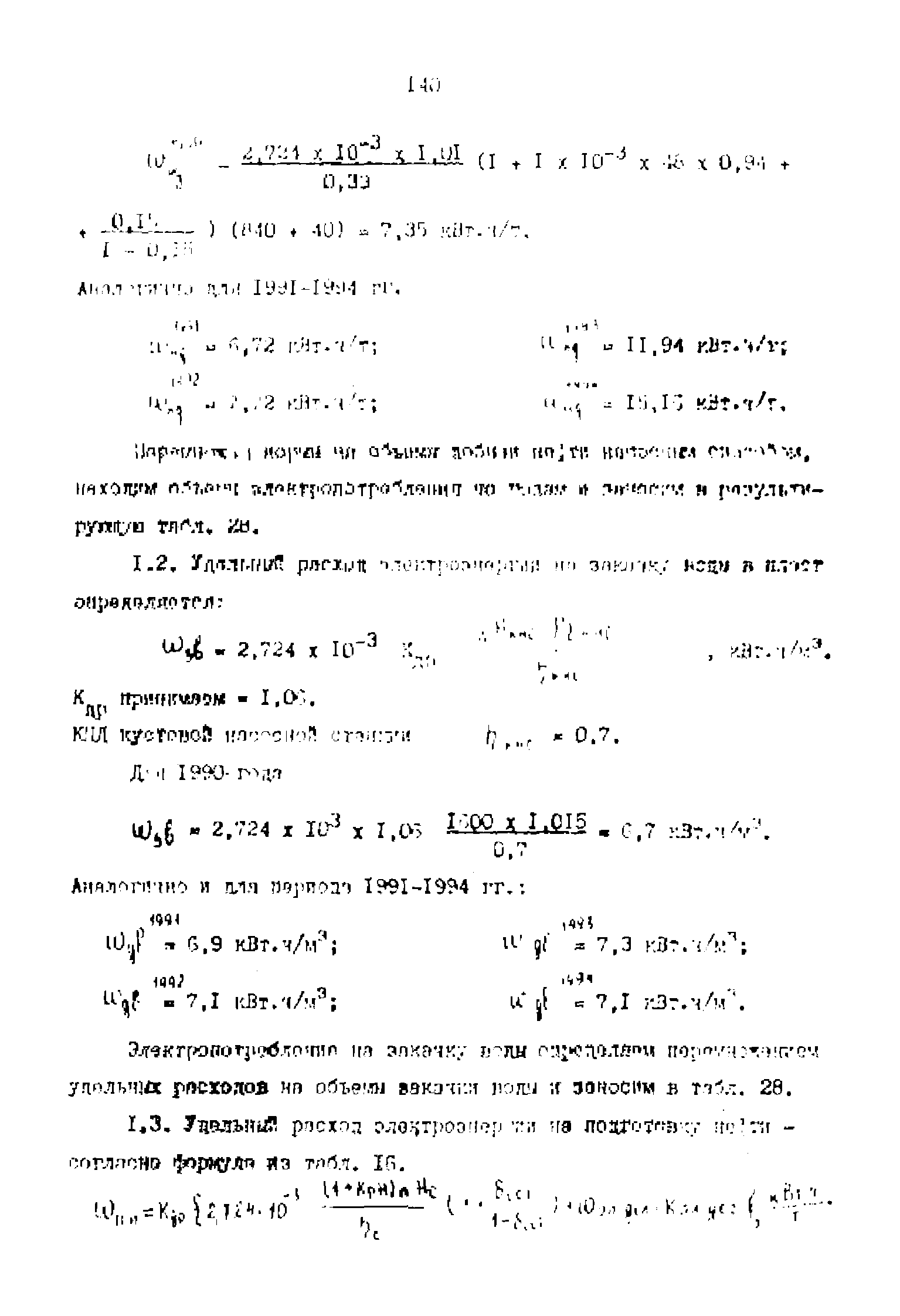
Скачать РД 39-0147323-803-89-Р Указания по расчету и регулированию электрических нагрузок и электропотребления предприятий нефтяной промышленностиДата актуализации: 01.01.2021
|
| Обозначение: | РД 39-0147323-803-89-Р |
| Обозначение англ: | RD 39-0147323-803-89-Р |
| Статус: | не действует |
| Название рус.: | Указания по расчету и регулированию электрических нагрузок и электропотребления предприятий нефтяной промышленности |
| Дата добавления в базу: | 01.09.2013 |
| Дата актуализации: | 01.01.2021 |
| Дата введения: | 01.09.1989 |
| Дата окончания срока действия: | 01.09.1992 |
| Оглавление: | Директивная часть Методическая часть Приложение 1 Приложение 2 Приложение 3 Приложение 4 Приложение 5 Приложение 6 Приложение 7 Приложение 8 Приложение 9 Приложение 10 Приложение 11 Приложение 12 |
| Разработан: | Гипротюменнефтегаз Миннефтепрома (Giprotyumenneftegaz, Minnefteprom ) |
| Утверждён: | 14.12.1988 Министерство нефтяной промышленности СССР (USSR Ministry of the Petroleum Industry ) Главтюменнефтегаз (Glavtyumenneftegaz ) |
| Нормативные ссылки: |





















































































































































































