Скачать Федеральная целевая программа Преодоление последствий радиационных аварий на период до 2015 годаДата актуализации: 01.01.2021 |
| Статус: | действует |
| Название рус.: | Федеральная целевая программа "Преодоление последствий радиационных аварий на период до 2015 года" |
| Дата добавления в базу: | 01.09.2013 |
| Дата актуализации: | 01.01.2021 |
| Дата введения: | 26.07.2011 |
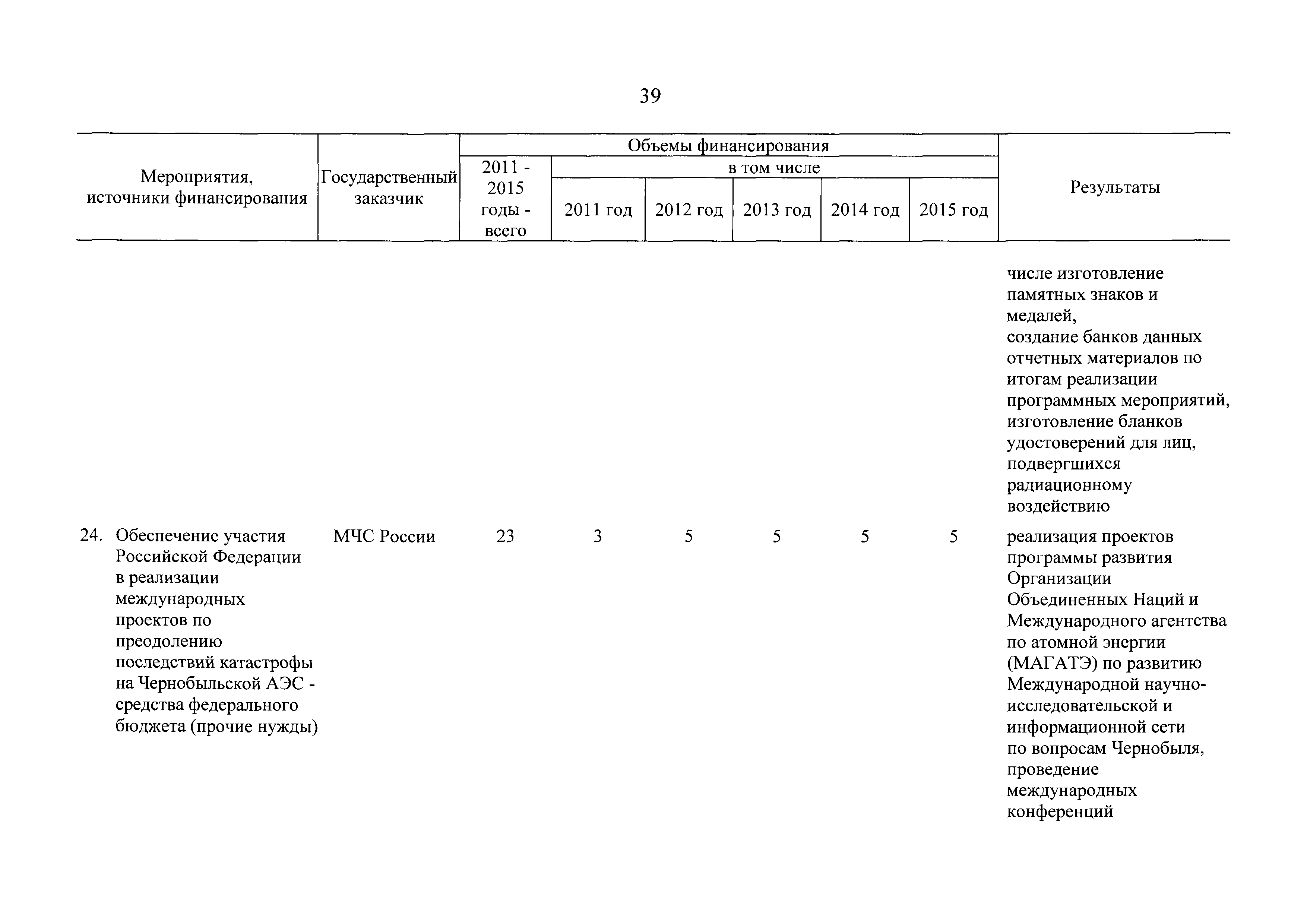
| Оглавление: | Паспорт федеральной целевой программы "Преодоление последствий радиационных аварий на период до 2015 года" I. Характеристика проблемы, на решение которой направлена Программа II. Основные цели и задачи Программы, целевые показатели и индикаторы III. Мероприятия Программы IV. Обоснование ресурсного обеспечения Программы V. Механизм реализации Программы, включающий в себя механизм управления реализацией Программы и механизм взаимодействия государственных заказчиков Программы VI. Оценка социально-экономической и экологической эффективности мероприятий Программы Приложение № 1 Целевые индикаторы и показатели федеральной целевой программы "Преодоление последствий радиационных аварий на период до 2015 года" Приложение № 2 Перечень мероприятий федеральной целевой программы "Преодоление последствий радиационных аварий на период до 2015 года" Приложение № 3 Объем и источники финансирования мероприятий федеральной целевой программы "Преодоление последствий радиационных аварий на период до 2015 года" за счет средств федерального бюджета и бюджетов субъектов Российской Федерации Приложение № 4 Распределение средств федерального бюджета, выделяемых на реализацию мероприятий федеральной целевой программы "Преодоление последствий радиационных аварий на период до 2015 года", между государственными заказчиками Приложение № 5 Распределение средств федерального бюджета по направлениям федеральной целевой программы "Преодоление последствий радиационных аварий на период до 2015 года" Приложение № 6 Правила предоставления и распределения субсидий из федерального бюджета бюджетам субъектов Российской Федерации на создание инфраструктуры, необходимой для обеспечения условий безопасной жизнедеятельности населения на радиоактивно загрязненных территориях Приложение № 1 Отчет об объемах выполненных работ за счет средств федерального бюджета по федеральной целевой программе "Преодоление последствий радиационных аварий на период до 2015 года" Приложение № 2 Отчет о достижении целевых индикаторов и показателей мероприятий федеральной целевой программы "Преодоление последствий радиационных аварий на период до 2015 года" по созданию инфраструктуры, необходимой для обеспечения условий безопасной жизнедеятельности населения на радиоактивно загрязненных территориях Приложение № 7 Методика оценки социально-экономической и бюджетной эффективности реализации мероприятий федеральной целевой программы "Преодоление последствий радиационных аварий на период до 2015 года" |
| Утверждён: | 29.06.2011 Правительство Российской Федерации (523) |
| Издан: | Собрание законодательства Российской Федерации (2011 г. (от 18.07.2011 г. № 29, ст. 4462)) |
| Список изменений: |
|
| Нормативные ссылки: |
|
Текстовое изменение № 3 от 07.02.2014















































Текстовое изменение № 4 от 12.01.2015









































Текстовое изменение № 5 от 11.03.2015






















Текстовое изменение № 6 от 16.06.2015












































