Скачать Рекомендации по инженерно-гидрогеологическому обоснованию защитного дренажа территорий, подтапливаемых подземными водамиДата актуализации: 01.01.2021
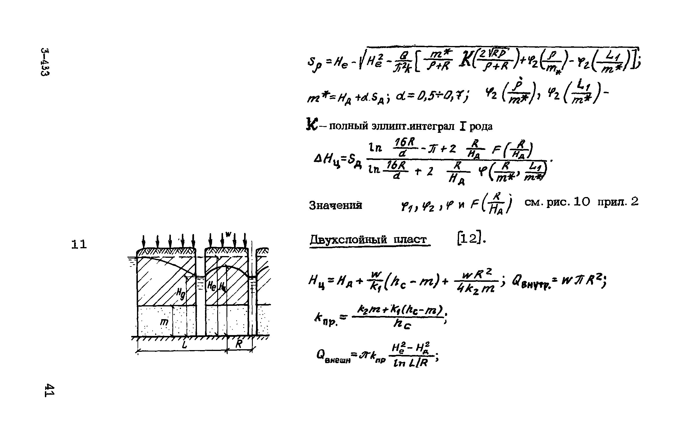
Рекомендации по инженерно-гидрогеологическому обоснованию защитного дренажа территорий, подтапливаемых подземными водами| Статус: | действует | | Название рус.: | Рекомендации по инженерно-гидрогеологическому обоснованию защитного дренажа территорий, подтапливаемых подземными водами | | Дата добавления в базу: | 01.09.2013 | | Дата актуализации: | 01.01.2021 | | Область применения: | В документе даны примеры расчетов и методика проектирования лучевого дренажа застроенных территорий. | | Оглавление: | Предисловие 1. Выбор типовых гидрогеологических расчетных схем и конструктивных типов защитного дренажа 2. Методика расчета вертикального дренажа подтопленных территорий 3. Методика расчета горизонтального (и комбинированного) дренажа подтопленных территорий 4. Проектирование и расчет лучевого дренажа застроенных территорий Приложение 1. Особенности учета самоподтопления при расчете дренажа застроенных территорий Приложение 2. Вспомогательные материалы для гидрогеологического расчета дренажа Приложение 3. Примеры гидрогеологических расчетных схем защитного дренажа городских территорий | | Разработан: | ПНИИИС Госстроя России
| | Издан: | Стройиздат (1985 г. )
|
                                                                                         
|